131772 (578722), страница 2
Текст из файла (страница 2)
Графическое выражение регрессионного уравнения называют линией регрессии. Линия регрессии выражает наилучшие предсказания зависимой переменой (Y) по независимым переменным (X).
Регрессию выражают с помощью двух уравнений регрессии, которые в самом прямом случае выглядят, как уравнения прямой.
Y = a 0 + a 1 * X (1)
X = b 0 + b 1 * Y (2)
В уравнении (1) Y - зависимая переменная, X - независимая переменная, a 0 - свободный член, a 1 - коэффициент регрессии, или угловой коэффициент, определяющий наклон линии регрессии по отношению к осям координат.
В уравнении (2) X - зависимая переменная, Y - независимая переменная, b 0 - свободный член, b 1 - коэффициент регрессии, или угловой коэффициент, определяющий наклон линии регрессии по отношению к осям координат.
Количественное представление связи (зависимости) между Х и Y (между Y и X) называется регрессионным анализом. Главная задача регрессионного анализа заключается в нахождении коэффициентов a 0, b 0, a1и b 1 и определении уровня значимости полученных аналитических выражений, связывающих между собой переменные Х и У.
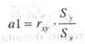
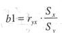
При этом коэффициенты регрессии a 1 и b 1 показывают, насколько в среднем величина одной переменной изменяется при изменении на единицу меры другой. Коэффициент регрессии a 1 в уравнении можно подсчитать по формуле:
а коэффициент b 1 в уравнении по формуле
где ryx - коэффициент корреляции между переменными X и Y;
Sx - среднеквадратическое отклонение, подсчитанное для переменной X;
Sy - среднеквадратическое отклонение, подсчитанное для переменной У/
Для применения метода линейного регрессионного анализа необходимо соблюдать следующие условия:
1. Сравниваемые переменные Х и Y должны быть измерены в шкале интервалов или отношений.
2. Предполагается, что переменные Х и Y имеют нормальный закон распределения.
3. Число варьирующих признаков в сравниваемых переменных должно быть одинаковым. (5).
2.2 Корреляция
Следующий метод вторичной статистической обработки, посредством которого выясняется связь или прямая зависимость между двумя рядами экспериментальных данных, носит название метод корреляций. Он показывает, каким образом одно явление влияет на другое или связано с ним в своей динамике. Подобного рода зависимости существуют, к примеру, между величинами, находящимися в причинно-следственных связях друг с другом. Если выясняется, что два явления статистически достоверно коррелируют друг с другом и если при этом есть уверенность в том, что одно из них может выступать в качестве причины другого явления, то отсюда определенно следует вывод о наличии между ними причинно-следственной зависимости. (7)
Когда повышение уровня одной переменной сопровождается повышением уровня другой, то речь идёт о положительной корреляции. Если же рост одной переменной происходит при снижении уровня другой, то говорят об отрицательной корреляции. При отсутствии связи переменных мы имеем дело с нулевой корреляцией. (1)
Имеется несколько разновидностей данного метода: линейный, ранговый, парный и множественный. Линейный корреляционный анализ позволяет устанавливать прямые связи между переменными величинами по их абсолютным значениям. Эти связи графически выражаются прямой линией, отсюда название "линейный". Ранговая корреляция определяет зависимость не между абсолютными значениями переменных, а между порядковыми местами, или рангами, занимаемыми ими в упорядоченном по величине ряду. Парный корреляционный анализ включает изучение корреляционных зависимостей только между парами переменных, а множественный, или многомерный, - между многими переменными одновременно. Распространенной в прикладной статистике формой многомерного корреляционного анализа является факторный анализ. (5)
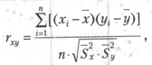
Коэффициент линейной корреляции определяется при помощи следующей формулы:
где rxy - коэффициент линейной корреляции;
х, у - средние выборочные значения сравниваемых величин;
хi, уi - частные выборочные значения сравниваемых величин;
n - общее число величин в сравниваемых рядах показателей;
S2x, S2y - дисперсии, отклонения сравниваемых величин от средних значений.
К коэффициенту ранговой корреляции в психолого-педагогических исследованиях обращаются в том случае, когда признаки, между которыми устанавливается зависимость, являются качественно различными и не могут быть достаточно точно оценены при помощи так называемой интервальной измерительной шкалы. Интервальной называют такую шкалу, которая позволяет оценивать расстояния между ее значениями и судить о том, какое из них больше и насколько больше другого. Например, линейка, с помощью которой оцениваются и сравниваются длины объектов, является интервальной шкалой, так как, пользуясь ею, мы можем утверждать, что расстояние между двумя и шестью сантиметрами в два раза больше, чем расстояние между шестью и восемью сантиметрами. Если же, пользуясь некоторым измерительным инструментом, мы можем только утверждать, что одни показатели больше других, но не в состоянии сказать на сколько, то такой измерительный инструмент называется не интервальным, а порядковым.
Большинство показателей, которые получают в психолого-педагогических исследованиях, относятся к порядковым, а не к интервальным шкалам (например, оценки типа "да", "нет", "скорее нет, чем да" и другие, которые можно переводить в баллы), поэтому коэффициент линейной корреляции к ним неприменим. В этом случае обращаются к использованию коэффициента ранговой корреляции, формула которого следующая:
где Rs - коэффициент ранговой корреляции по Спирмену;
di - разница между рангами показателей одних и тех же испытуемых в упорядоченных рядах;
n - число испытуемых или цифровых данных (рангов) в коррелируемых рядах.
Метод множественных корреляций в отличие от метода парных корреляций позволяет выявить общую структуру корреляционных зависимостей, существующих внутри многомерного экспериментального материала, включающего более двух переменных, и представить эти корреляционные зависимости в виде некоторой системы.
Для применения частного коэффициента корреляции необходимо соблюдать следующие условия:
1. Сравниваемые переменные должны быть измерены в шкале интервалов или отношений.
2. Предполагается, что все переменные имеют нормальный закон распределения.
3. Число варьирующих признаков в сравниваемых переменных должно быть одинаковым.
4. Для оценки уровня достоверности корреляционного отношения Пирсона следует пользоваться формулой (11.9) и таблицей критических значений для t-критерия Стьюдента при k = n - 2. (5)
2.3 Факторный анализ
Факторный анализ - статистический метод, который используется при обработке больших массивов экспериментальных данных. Задачами факторного анализа являются: сокращение числа переменных (редукция данных) и определение структуры взаимосвязей между переменными, т.е. классификация переменных, поэтому факторный анализ используется как метод сокращения данных или как метод структурной классификации.
Важное отличие факторного анализа от всех описанных выше методов заключается в том, что его нельзя применять для обработки первичных, или, как говорят, "сырых", экспериментальных данных, т.е. полученных непосредственно при обследовании испытуемых. Материалом для факторного анализа служат корреляционные связи, а точнее - коэффициенты корреляции Пирсона, которые вычисляются между переменными (т.е. психологическими признаками), включенными в обследование. Иными словами, факторному анализу подвергают корреляционные матрицы, или, как их иначе называют, матрицы интеркорреляций. Наименования столбцов и строк в этих матрицах одинаковы, так как они представляют собой перечень переменных, включенных в анализ. По этой причине матрицы интеркорреляций всегда квадратные, т.е. число строк в них равно числу столбцов, и симметричные, т.е. на симметричных местах относительно главной диагонали стоят одни и те же коэффициенты корреляции.
Главное понятие факторного анализа - фактор. Это искусственный статистический показатель, возникающий в результате специальных преобразований таблицы коэффициентов корреляции между изучаемыми психологическими признаками, или матрицы интеркорреляций. Процедура извлечения факторов из матрицы интеркорреляций называется факторизацией матрицы. В результате факторизации из корреляционной матрицы может быть извлечено разное количество факторов вплоть до числа, равного количеству исходных переменных. Однако факторы, выделяемые в результате факторизации, как правило, неравноценны по своему значению. (5)
С помощью выявленных факторов объясняют взаимозависимость психологических явлений. (7)
Чаще всего в итоге факторного анализа определяется не один, а несколько факторов, по-разному объясняющих матрицу интеркорреляций переменных. В таком случае факторы делят на генеральные, общие и единичные. Генеральными называются факторы, все факторные нагрузки которых значительно отличаются от нуля (нуль нагрузки свидетельствует о том, что данная переменная никак не связана с остальными и не оказывает на них никакого влияния в жизни). Общие - это факторы, у которых часть факторных нагрузок отлична от нуля. Единичные - это факторы, в которых существенно отличается от нуля только одна из нагрузок. (7)
Факторный анализ может быть уместен, если выполняются следующие критерии.
1. Нельзя факторизовать качественные данные, полученные по шкале наименований, например, такие, как цвет волос (черный / каштановый / рыжий) и т.п.
2. Все переменные должны быть независимыми, а их распределение должно приближаться к нормальному.
3. Связи между переменными должны быть приблизительно линейны или, по крайней мере, не иметь явно криволинейного характера.
4. В исходной корреляционной матрице должно быть несколько корреляций по модулю выше 0,3. В противном случае достаточно трудно извлечь из матрицы какие-либо факторы.
5. Выборка испытуемых должна быть достаточно большой. Рекомендации экспертов варьируют. Наиболее жесткая точка зрения рекомендует не применять факторный анализ, если число испытуемых меньше 100, поскольку стандартные ошибки корреляции в этом случае окажутся слишком велики.
Однако если факторы хорошо определены (например, с нагрузками 0,7, а не 0,3), экспериментатору нужна меньшая выборка, чтобы выделить их. Кроме того, если известно, что полученные данные отличаются высокой надежностью (например, используются валидные тесты), то можно анализировать данные и по меньшему числу испытуемых. (5).
2.4 Использование факторного анализа в психологии
Факторный анализ широко используется в психологии в разных направлениях, связанных с решением как теоретических, так и практических проблем.
В теоретическом плане использование факторного анализа связано с разработкой так называемого факторно-аналитического подхода к изучению структуры личности, темперамента и способностей. Использование факторного анализа в этих сферах основано на широко принятом допущении, согласно которому наблюдаемые и доступные для прямого измерения показатели являются лишь косвенными и/или частными внешними проявлениями более общих характеристик. Эти характеристики, в отличие от первых, являются скрытыми, так называемыми латентными переменными, поскольку они представляют собой понятия или конструкты, которые не доступны для прямого измерения. Однако они могут быть установлены путем факторизации корреляционных связей между наблюдаемыми чертами и выделением факторов, которые (при условии хорошей структуры) можно интерпретировать как статистическое выражение искомой латентной переменной.
Хотя факторы имеют чисто математический характер, предполагается, что они репрезентируют скрытые переменные (теоретически постулируемые конструкты или понятия), поэтому названия факторов нередко отражают сущность изучаемого гипотетического конструкта.
В настоящее время факторный анализ широко используется в дифференциальной психологии и психодиагностике. С его помощью можно разрабатывать тесты, устанавливать структуру связей между отдельными психологическими характеристиками, измеряемыми набором тестов или заданиями теста.
















