125852 (577906), страница 4
Текст из файла (страница 4)
В задании требуется:
-
Установить способ центрирования заданного шлицевого соединения.
-
Определить предельные отклонения и предельные размеры всех элементов деталей шлицевого соединения.
-
Вычертить схемы полей допусков центрирующих элементов шлицевого соединения.
-
Вычертить эскизы соединения и его деталей, указав их условные обозначения.
-
Способ центрирования прямобочных шлицевых соединений устанавливают по их условному обозначению. Здесь надо разобраться, какие имеются способы центрирования прямобочных шлицевых соединений и от каких условий зависит выбор способа центрирования (см. [1], § 85).
-
При формировании посадок по центрирующим и нецентрирующим поверхностям прямобочных шлицевых соединений использованы поля допусков гладких соединений по ГОСТ 25346-82 (СТ СЭВ 145 – 75). Поэтому предельные отклонения и предельные размеры всех элементов шлицевых втулок и валов определяют так же, как отклонения и размеры гладких соединений (см. 1-е задание). Установленные значения предельных отклонений и размеров элементов деталей шлицевого соединения следует записать в таблицу 11, где указан пример заполнения формы для шлицевого соединения
d – 8×46
×54
×9
Таблица 11 – Параметры элементов шлицевого соединения
| Наименование элементов шлицевого соединения | Номинальный размер, мм | Поле допуска | Предельные отклонения, мм | Предельные размеры, мм | Допуск размера, Т, мм | ||
|
|
| max | min | ||||
| 1. Центрирующие элементы | |||||||
| Отверстие | 46 | H7 | +0,025 | 0 | 46,025 | 46,000 | 0,025 |
| Вал | 46 | f8 | -0,025 | -0,064 | 45,975 | 45,936 | 0,039 |
| Ширина впадин отверстия | 9 | D9 | +0,076 | +0,040 | 9,076 | 9,040 | 0,036 |
| Толщина шлицев вала | 9 | h9 | 0 | -0,036 | 9,000 | 8,964 | 0,036 |
| 2. Нецентрирующие элементы | |||||||
| Отверстие | 54 | H12 | +0,300 | 0 | 54,300 | 54,000 | 0,300 |
| Вал | 54 | a11 | -0,340 | -0,530 | 53,660 | 53,470 | 0,190 |
Размер шлицевого вала 22,1 мм
3.Схемы полей допусков центрирующих элементов шлицевого соединения даны на чертеже.
4.Эскизы соединения и его деталей и их условные обозначения даны на чертеже.
ЗАДАНИЕ 6
Расчет допусков размеров, входящих в размерные цепи
Цель задания:
Научиться составлять сборочные размерные цепи и рассчитывать допуски на их составляющие звенья методом полной взаимозаменяемости.
Исходными данными служат:
1. Чертеж узла с указанием замыкающего звена.№1
2. Номинальный размер и предельные отклонения замыкающего звена.
АΔ = 48±0,6
В задании требуется:
-
Сделать размерный анализ, т. е. установить звенья, входящие в размерную цепь с заданным замыкающим звеном, указав, какие из них увеличивающие, а какие уменьшающие, и изобразить ее геометрическую схему.
-
Проверить правильность составления заданной размерной цепи.
-
Установить единицы допуска составляющих звеньев, допуски которых требуется определить.
-
Определить допуск замыкающего звена.
-
Определить средний коэффициент точности заданной размерной цепи.
-
Установить квалитет, по которому следует назначать допуски на составляющие звенья.
-
Выбрать корректирующее звено размерной цепи.
-
По установленному квалитету назначить отклонения на составляющие размеры.
-
Рассчитать отклонения корректирующего звена.
-
Проверить правильность назначения допусков на составляющие звенья размерной цепи.
-
Результаты расчетов занести в таблицу 6.
Решение: 1
.Термины и определения в размерных цепях изложены в § 63, а принцип размерного анализа и порядок составления размерной цепи в § 64 [I].
Рис. 2
Звенья:
А1 = 22
А2= 5
А3 = 33
А4 = 15-0,1
А5 = 3± 0,25
А6 = 30
АΔ = 48±0,6 – замыкающее звено
2. Правильность составления размерной цепи проверяют по формуле (80) [1], подставляя в нее значения номинальных размеров увеличивающих, уменьшающих и замыкающего звена рис. 2. Если равенство (80) [1] имеет место, то размерный анализ проведен верно, и размерная цепь составлена правильно. Нарушение равенства в этой зависимости показывает, что в размерном анализе допущена ошибка, и его надо провести более внимательно.
48 = (А5+А4+А3 +А2+А1) – А6 = (3+ 15+ 33+5 +22) – 30 = 78- 30 =48
Размерный анализ проведен верно.
3. В числе составляющих звеньев могут оказаться размеры, для которых допуски уже заданы (подшипники и другие стандартные детали). Для таких размеров единицу допуска определять не надо. Единицу допуска следует определить по табл. 12 [1] только для составляющих звеньев, на размеры которых допуски не известны.
Единица допуска для звеньев А1,А2, А3 и А6 определяется по формуле:
Ее можно взять из таблицы 12.Получим:
i1= 1,31мкм
i2 = 0,73 мкм
i3= 1,56 мкм
i6= 1,31мкм
4. Допуск замыкающего звена определяем при помощи его предельных отклонений.
Расчетное значение допуска замыкающего звена:
ТΣр = Т5 – Т4 = 0,25*2 – 0,1 = 0,50- 0,10 = 0,40 мм = 400 мкм
Таблица 12 – Значения единиц допуска i для размеров до 400 мм.
-
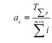
При определении среднего коэффициента точности размерной цепи следует учесть особенности такого расчета при наличии составляющих звеньев с известными допусками. Этот коэффициент следует определять по формуле (107) [1].
Определяем среднее число единиц допуска составляющих звеньев.
ас = 400 / (1,31+ 0,73 + 1,56 + 1,31) = 400/ 4,91 = 81,4664
6.При известном среднем коэффициенте точности квалитет, по которому надо назначать допуски на составляющие звенья, устанавливают из табл. 13 [1] по соответствующему ближайшему стандартному значению коэффициента точности (числу единиц допуска) с учетом рекомендаций, приведенных в § 66 [1].
Из таблицы 13 установим квалитет.
Ближайшее стандартное значение ас = 100 соответствует примерно 11 квалитету. Выбираем допуск по более грубому квалитету. Примем, что в данных условиях такая точность целесообразна.
Таблица 13 – Число единиц допуска для различных квалитетов по точности по ГОСТ 25346-82
Исходя из номинальных размеров звеньев цепи и выбранного квалитета, по ГОСТ 25347-82 определяем допуски соответствующих звеньев.
А1 = 22мм ТА1=130 мкм
А2= 5мм ТА2=75 мкм
А3 = 33мкм предварительно ТА3= 160 мкм
А6 =30мм ТА6 = 130 мкм
Таблица 14 – Значения допусков, мкм (ГОСТ 25346-82, СТ СЭВ 145-75)
| Для интервалов размеров, мм | Квалитет | 11 |
| До 3 | 60 | |
| Свыше 3 до 6 | 75 | |
| Свыше 6 до 10 | 90 | |
| Свыше 10 до 18 | 110 | |
| Свыше 18 до 30 | 130 | |
| Свыше 30 до 50 | 160 |
7. При выборе корректирующего звена следует руководствоваться следующими соображениями. Если коэффициент точности принятого квалитета «а» меньше «аср», т. е. а<аср, то корректирующим выбирают технологически более сложное звено, в противном случае – технологически более простое.
8. Назначаем отклонения звеньев, за исключением звена А3, которое принимаем в качестве зависимого.
Увеличивающие звенья: А1 = 22 +0,130 мм; А2 = 5 + 0,075 мм;
Уменьшающее звено: А6 = 30 – 0,130 мм.
По установленному в п. 6 квалитету отклонения на составляющие звенья назначаем, руководствуясь следующим принципом: для охватывающих размеров, как на основное отверстие, для охватываемых – как на основной вал.
9. Определяем отклонения зависимого (корректирующего) звена А3.
ES A3 = Σ EI Аув - Σ ES Аум - EI АΣ = 0+ 0 – (-0,600) = + 0,600 мм
EI A3 = Σ ES Аув - Σ EI Аум - ES АΣ =(0,130+ 0,075+0,250) – (-0,130-0.100-0,250) – 0,600 = 0,935- 0,600 = + 0,335 мм
Допуск ТА3 = ES A3 - EI A3 = 0,600 – 0,335 = 0,265 мм
Размер звена А3 = 33 +0,335+0,600 мм
Поскольку корректирующее звено является одним из составляющих звеньев (увеличивающим или уменьшающим) размерной цепи, то после назначения отклонений на все остальные составляющие звенья только его предельные отклонения в формулах (84) [1] окажутся неизвестными. Поэтому, зная, в какую группу составляющих звеньев входит выбранное корректирующим звено (в увеличивающие или уменьшающие), решают каждое уравнение относительно неизвестного члена - ES или EI. Затем определяют допуск корректирующего звена.
Таблица 15 – Результаты расчетов допусков в размерной цепи
| Наименование размеров | Номинальный размер, мм | Обозначение размера, мм | Квалитет | Допуск размера, мм | Поле допуска | Предельные отклонения, мм | Предельные размеры, мм | ||||
| верхнее ES | нижнее EI | max | min | ||||||||
| Замыкающий | 48 | А∆ | - | 1,200 | - | +0,600 | -0,600 | 48,600 | 47,400 | ||
| составляющие | увеличи-вающие | 22 | А | 11 | 0,130 | Н11 | +0,130 | 0 | 22,130 | 22,000 | |
| 5 | А | 11 | 0,075 | Н11 | +0,075 | 0 | 5,075 | 5,000 | |||
| 33 | А | 11 | 0,265 | +0,600 | -0,265 | 33,600 | 32,735 | ||||
| 15 | А | - | 0,100 | 0 | -0,100 | 15,000 | 14,900 | ||||
| 3 | А | - | 0,500 | +0,250 | -0,250 | 3,250 | 2,750 | ||||
| умень-шающие | 30 | А6 | - | 0,130 | h11 | 0 | -0,130 | 30,000 | 29,870 | ||
Примечания: 1. Звено A3 - корректирующее.
5. Допуски звеньев A4 и A5 были известны.
10. Правильность назначения допусков на составляющие звенья заданной размерной цепи проверяют по формуле (83) [1]. При правильных расчетах сумма допусков размеров всех составляющих звеньев должна быть равна допуску замыкающего размера.
Проверка по уравнению баланса допусков:
1,200 = 0,130+0,075 + 0,265 +0,100+ 0,500 +0,130 = 0,260 +0,340 +0,600 = 1,200
Равенство выполняется, следовательно, задача решена верно.
Список использованной литературы
-
Серый И.С. Взаимозаменяемость, стандартизация и технические измерения. - М.: Колос, 1981.
-
Радкевич Я.М. Метрология, стандартизация и сертификация: Учеб. для ВУЗов / Я.М. Радкевич, А.Г. Схиргладзе, Б.И. Лактионов. - М.: Высш. шк., 2004. - 767 с.
-
Димов Ю.В. Метрология, стандартизация и сертификация. Учеб. для ВУЗов. 2-е изд.- СПб.: Питер, 2006.- 432 с.
-
Шишкин И.Ф. Метрология, стандартизация и управление качеством: Учеб. для вузов / Под ред. акад. Н.С. Соломенко. - М.: Изд-во стандартов, 1990. - 342 с.
-
Ожгибицев Б.С. Практический курс стандартизации, метрологии и сертификации: Учеб. пособие / Под ред. В.Н. Чижова.-2-е изд., перераб. и доп.- Барнаул: Изд-во АГАУ, 2004. - 237 с.
















