123554 (577616)
Текст из файла
Министерство образования и науки Украины
Кременчугский университет экономики информационных
технологий и управления
Кафедра «Автомобили и автомобильное хозяйство»
Контрольная работа
По дисциплине
Основы проектирования и эксплуатации технологического оборудования транспортных предприятий
Кременчуг 2010г
Завдання
Гідравлічний розрахунок установок для миття автомобілів
Пояснити призначення всіх елементів пересувної платформи
Навести механічну характеристику асинхронного електричного двигуна трифазного струму
Пояснити принцип роботи стенда для випробувань коробок передач з електромагнітним навантажувачем
Будова пристроїв для перевірки інжекторів бензинових двигунів
Будова та принцип обладнання для визначення гальмівних якостей автомобілів
Будова знімачів для розбирання вузла з`єднань із гарантованим натягом
Навести методику аналізу оснащеності підприємства технологічним обладнанням
Гидравлический расчет установок для мойки автомобилей
Мойка автомобилей - механический, физико-химический и биологический метод удаления загрязнений путем приложения к ним сил воздействия, преобразование загрязнений за счет молекулярных превращений, растворения, создания эмульсий и других физико-химических процессов, разрушение загрязнений микроорганизмами.
Последовательность расчета моечной установки
1. Задавшись крупностью смываемых частиц (толщиной пограничного слоя) рассчитать давление воды в насадке.
2. Рассчитать силу гидродинамического давления струи и проверить выполнение условия удаления загрязнений.
3. Определить размер зоны действия касательных сил и число распылителей.
4. Рассчитать расход воды через установку. Если есть рамки предварительного смачивания и ополаскивания, рассчитывается дополнительных расход воды через эти рамки.
5. Выбрать гидравлическую схему установки и рассчитать потери напора.
6. Определить мощность электродвигателя привода насоса для подачи воды в установку.
7. При необходимости выполнить расчет привода щеток установки.
8. Произвести расчет основных параметров очистных сооружений.
Гидравлический расчет насосной установки
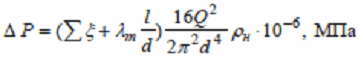
Основная расчетная схема изображена на рис.1.17.
Исходя из уравнения Бернулли, потери давления на преодоление гидравличе-
ских сопротивлений при наличии одного транзитного расхода
где
- сумма коэффициентов местных сопротивлений по длине трубопровода на участке длиной l с диаметром трубы d ; λm - коэффициент потерь на трение.
С достаточной для практических расчетов точностью можно считать, что для сетки (см.рис.1.7) ξ = 9,7, для всасывающего клапана - 7,0, для задвижки - 5,5.
Коэффициент сопротивления отверстия и насадка
Для водопроводных стальных труб
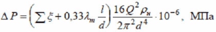
При наличии путевого расхода (рис.1.18)
В соответствии с рис.1.17 участки I, II, III, IV - пропускают транзитный расход, а на участках V и VI имеется только путевой расход.
Суммарные потери давления получаются сложением потерь на отдельных участках, если они работают последовательно (рис.1.19,а).
Если участки работают параллельно (рис.1.19,б), то определяют расход в каждом из участков и на основании этого рассчитывают потери давления.
При параллельном соединении одинаковых трубопроводов
где Qi - расход через один из параллельных трубопроводов, м3/с; i – количество параллельных участков; Δ PΣ - суммарные потери давления в разветвленном трубопроводе, МПа; Δ Pi - потери давления в одном из параллельных трубопроводов, МПа.
Выбор насоса производится с учетом его совместной работы с трубопроводом.
Давление насоса проектируемой насосной установки
где
- суммарные потери давления в трубопроводах установки, МПа;
- геометрическое давление, МПа.
Здесь
- геометрический напор, м.
Далее, руководствуясь давлением Р и производительностью Q, по каталогу выбирают марку насоса.
Мощность на привод насоса
где
- К.П.Д. насоса;
- К.П.Д. электродвигателя.
Насос, во избежание появления кавитации, лучше устанавливать как можно ниже по отношению к уровню воды в заборном колодце. Если высота насоса над уровнем воды более 3 м, необходимо производить дополнительный расчет на возможность кавитации.
Объяснить назначение всех элементов передвижной эстакады
Мобильная рампа (передвижная погрузочная эстакада) предназначена для погрузки - разгрузки вагонов, машин на тех складах, площадках где нет стационарных мест для погрузки-загрузки и работы производятся с "земли".
Позволяет позволяет проводить работу различной техникой - погрузчиками,мини-погрузчиками штабелерами, гидравлическими тележками и другой техники.
Конструктивные элементы
К числу основных конструктивных элементов передвижной мобильной рампы относятся:
-
каркас из несущих балок, расположенных по бокам;
-
въезд, изготовленный из стальных листов с «чечевичным» рифлением и оснащенный ребрами жесткости;
-
аппарель – наклонная платформа, которая также производится с применением рифленого металлопроката (что обеспечивает оптимальное сцепление колес транспорта с поверхностью эстакады);
-
телескопические опоры и шарнирное соединение с эстакадой позволяют настраивать необходимую высоту эстакады.
-
Для удобства перемещения эстакада сделана на съемных шарнирах и оборудованы транспортировочными устройствами.
Погрузчик на жесткой сцепке транспортирует мобильную рампу к автомобилю. Оператор настраивает необходимую высоту устройства, чтобы наклонная поверхность образовывала мост между землей и кузовом грузовика.
Регулировка такой системы может производиться посредством электрогидравлического или ручного привода. После установки необходимой высоты автопогрузчик начинает работу, перемещаясь по поверхности мобильной эстакады в кузов автомобиля.
Механическая характеристика асинхронного электродвигателя трехфазного напряжения
Асинхронный двигатель - представляет собой машину переменного тока, состоящую из статора с тремя обмотками, магнитные поля которых сдвинуты в пространстве на 120° и при подаче трехфазного напряжения образуют вращающееся магнитное поле в магнитной цепи машины, и из ротора с короткозамкнутой обмоткой, чаще называемой «беличье колесо».
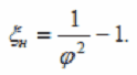
Механическая характеристика асинхронного двигателя - зависимость частоты вращения от вращающего момента. При расчетах под механической характеристикой понимается функция M(S), где
-
скольжение ротора, а M-вращающий момент.
Формула Клосса
При аналитическом описании механической характеристики используется формула Клосса:
(1)
Она учитывает, что
Сопротивление обмотки ротора современных АД, имеющие колбообразную форму или выполненные в виде двойной беличьей клетки имеют сопротивления (r2′ и xк), зависящие от скольжения. Если пренебречь r1, малым по сравнению с xк, то можно записать:
,
где Mmax-максимальный вращающий момент на всей механической характеристике (табличное значение), а
и
- некоторые функции скольжения, пропорциональные сопротивлениям ротора. Была поставлена задача определить форму
и
.
Аппроксимирующая функция
Достаточно точного математического описания зависимости сопротивлений ротора от скольжения на сегодняшний момент не существует. Поэтому вид
и
выбирался экспериментальным путем, а коэффициенты рассчитывались численно. Были выбраны следующие функции
(при этом
),
Согласно принципу обратимости электрических машин, асинхронный двигатель может работать как в двигательном, так и в генераторном режимах.
Трёхфазный двигатель — электродвигатель, который конструктивно предназначен для питания от трехфазной сети переменного тока.
Принцип работы трёхфазного двигателя был разработан Доливо-Добровольским.
В двигательном режиме при подключении двигателя к трехфазной сети переменного тока в обмотке статора образуется вращающееся магнитное поле, под действием которого в короткозамкнутой обмотке ротора наводятся токи, образующие электромагнитный момент вращения, стремящийся провернуть ротор вокруг его оси.
Ротор преодолевает момент нагрузки на валу и начинает вращаться, достигая подсинхронной скорости (она же и будет номинальной с учетом момента нагрузки на валу двигателя).
В генераторном режиме происходят обратные явления, приводной двигатель раскручивает ротор до подсинхронной скорости, при этом остаточное магнитное поле ротора, пронизывая обмотки статора, наводит в них ЭДС индукции, под действием которой на выводах обмотки появится напряжение.
Для смены направления вращения трехфазного асинхронного двигателя необходимо поменять местами две фазы из трех в месте подключения питания к двигателю.
Механическая характеристика асинхронного двигателя является "жёсткой", то есть при незначительном уменьшении оборотов крутящий момент двигателя возрастает очень сильно - "стремится поддерживать номинальные обороты". Это хорошее свойство для приводов, требующих поддержания заданной скорости независимо от нагрузки (транспортёры, погрузчики, подъёмники, вентиляторы).
Электроэнергия, подводимая к электродвигателю в двигательном режиме, потребляется (частью, обозначаемой "косинус фи") на совершение полезной работы и нагрев двигателя, остальная часть возвращается в сеть как индуктивная нагрузка. "Косинус фи" зависит от нагрузки на двигатель, на холостом ходу он близок к нулю. В характеристике двигателя указывается "косинус фи" для номинальной нагрузки.
Генераторный режим возникает при принудительном увеличении оборотов выше "идеального холостого хода". При этом магнитное поле ротора наводит ЭДС в обмотках статора и фазное напряжение на обмотках статора не падает, а увеличивается.
Принцип работы стенда для испытаний коробок передач с электромагнитной нагрузкой
Стенд для испытаний – необходим для приработки и испытания отремонтированного агрегата, подготовка его к восприятию эксплуатационных нагрузок, выявление дефектов, связанных с качеством ремонта деталей и сборки агрегатов, а также проверка соответствия характеристик агрегатов требованиям нормативно-технической документации.
Контрольные испытания проходят все отремонтированные коробки передач после приработки. В ходе контрольных испытаний (они, как правило, совмещены с приработкой) проверяется, нет ли резких стуков и шумов, выбрасывания или течи масла. Приемо-сдаточные испытания проходят все отремонтированные коробки передач после приработки. Целью приемо-сдаточных испытаний является оценка качества сборки. Если в процессе приработки и испытания обнаруживают неполадки, то двигатель отправляют на устранение дефектов, а затем повторно испытывают.
Характеристики
Тип файла документ
Документы такого типа открываются такими программами, как Microsoft Office Word на компьютерах Windows, Apple Pages на компьютерах Mac, Open Office - бесплатная альтернатива на различных платформах, в том числе Linux. Наиболее простым и современным решением будут Google документы, так как открываются онлайн без скачивания прямо в браузере на любой платформе. Существуют российские качественные аналоги, например от Яндекса.
Будьте внимательны на мобильных устройствах, так как там используются упрощённый функционал даже в официальном приложении от Microsoft, поэтому для просмотра скачивайте PDF-версию. А если нужно редактировать файл, то используйте оригинальный файл.
Файлы такого типа обычно разбиты на страницы, а текст может быть форматированным (жирный, курсив, выбор шрифта, таблицы и т.п.), а также в него можно добавлять изображения. Формат идеально подходит для рефератов, докладов и РПЗ курсовых проектов, которые необходимо распечатать. Кстати перед печатью также сохраняйте файл в PDF, так как принтер может начудить со шрифтами.
















