86000 (574972)
Текст из файла
Министерство образования РФ
Рязанская государственная радиотехническая академия
Кафедра ОиЭФ
Контрольная работа
«Нелинейное уравнение и интервал изоляции корня»
Выполнил ст. гр. 255
Ампилогов Н. В.
Проверил
Малютин А. Е.
Рязань 2007
Расчетная часть.
I.Заданное нелинейное уравнение и интервал изоляции корня:
.
II.Схема алгоритма отделения корней
Разбиение исходного интервала
, на котором определена и непрерывна функция
,на n отрезков равной длины:
Вычисление значения функции
в точках
концах отрезка
Выделение отрезка
Д
лина отрезка
достаточно мала (можно предположить единственность корня)
Корень отделен на интервале
Границы исходного отрезка сдвигаются
(
)
Воспользуемся приведенным выше алгоритмом для отделения корня уравнения на заданном отрезке:
-
Разобьем интервал изоляции корня
на n отрезков равной длины:
-
Вычисляем значения функции в точках
:
-
На концах отрезка (1;2) функция имеет разные знаки и он достаточно мал для определения корня.
III. Уточнение корня методом половинного деления
Отделение корней, нахождение отрезка изоляции
Вычисление f(a)
=(a+b)/2
Вычисление f(
)
a=
f(a)*f(
)<0 b=
Вывод
Произведем вычисления согласно представленному выше алгоритму. Необходимо определить корень методом половинного деления с погрешностью
.
Все условия для выполнения данного метода(указаны в теоретической части) выполняются.
Т.к.f(
)
то выбираем другой отрезок [1;1,5] на концах которого функция имеет разные знаки и продолжаем вычисления.
Выбираем отрезок [1;1,25] ,
является корнем т.к. нам необходимо найти корень с заданной погрешностью и выполняется условие прекращения вычислений:
;
Мы нашли корень за 2 шага.
Проведем вычисления в системе MathCAD
В системе MathCAD мы нашли корень так же за 2 шага.
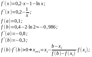
IV. Уточнение корня методом хорд.
Отделение корней, нахождение отрезка изоляции.
Вывод
Произведем вычисления согласно представленному выше алгоритму. Необходимо определить корень методом хорд с погрешностью
.
Все условия для выполнения данного метода(указаны в теоретической части) выполняются.
Для того чтобы определить какой формулой метода хорд необходимо воспользоваться найдем значения первой и второй производной на концах отрезка изоляции корня:
Нашли корень за 1 шаг. Проведем вычисления в системе MathCAD.
В системе MathCAD мы нашли корень за 2 шага, это объясняется более высокой точностью MathCAD по сравнению с расчетами вручную.
V. Уточнение корня методом касательных.
Отделение корней, нахождение отрезка изоляции.
Вывод
Произведем вычисления согласно представленному выше алгоритму. Необходимо определить корень методом касательных с погрешностью
.
Все условия для выполнения данного метода(указаны в теоретической части) выполняются.
Нашли корень за 2 шага. Проведем вычисления в системе MathCAD.
В системе MathCAD мы нашли корень так же за 2 шага.
VI. Уточнение корня методом простой итерации.
Отделение корней, нахождение отрезка изоляции
[c;d]=[a-h;b+h]
Приведение уравнения
f(x)=0 к виду x=g(x)
n=0
n=n+1
Вывод
Произведем вычисления согласно представленному выше алгоритму. Необходимо определить корень методом простой итерации с погрешностью
.
Все условия для выполнения данного метода(указаны в теоретической части) выполняются.
Значит, итерационный процесс не применим, расходится и не позволяет получить решение.
Вывод: Изучили различные методы уточнения корней нелинейных уравнений (метод половинного деления, хорд, касательных, простой итерации). На основе полученных нами результатов можно сделать вывод о том, что высокую скорость сходимости при решении уравнений дает метод хорд и метод касательных. Скорость сходимости методов половинного деления и простой итерации небольшие, но они наиболее легко реализуются на ЭВМ.
0>Характеристики
Тип файла документ
Документы такого типа открываются такими программами, как Microsoft Office Word на компьютерах Windows, Apple Pages на компьютерах Mac, Open Office - бесплатная альтернатива на различных платформах, в том числе Linux. Наиболее простым и современным решением будут Google документы, так как открываются онлайн без скачивания прямо в браузере на любой платформе. Существуют российские качественные аналоги, например от Яндекса.
Будьте внимательны на мобильных устройствах, так как там используются упрощённый функционал даже в официальном приложении от Microsoft, поэтому для просмотра скачивайте PDF-версию. А если нужно редактировать файл, то используйте оригинальный файл.
Файлы такого типа обычно разбиты на страницы, а текст может быть форматированным (жирный, курсив, выбор шрифта, таблицы и т.п.), а также в него можно добавлять изображения. Формат идеально подходит для рефератов, докладов и РПЗ курсовых проектов, которые необходимо распечатать. Кстати перед печатью также сохраняйте файл в PDF, так как принтер может начудить со шрифтами.
на n отрезков равной длины:














