85988 (574966), страница 2
Текст из файла (страница 2)
В данном случае a — радиус окружности, описывающей лемнискату.
Проведя несложные преобразования, можно получить явное уравнение:
Возводим в квадрат и раскрываем скобки:
Приводим к виду
Это квадратное уравнение относительно y2. Решив его, получим
Взяв корень и отбросив вариант с отрицательным вторым слагаемым, получим:
где положительный вариант определяет верхнюю половину лемнискаты, отрицательный — нижнюю.
-
в полярной системе координат:
Используя формулы перехода к полярной системе координат
получим:
Выносим общие множители и используем тригонометрическое тождество sin2α + cos2α = 1:
Используем ещё одно тождество: cos2α − sin2α = cos2α:
Делим на ρ2, предполагая, что
:
\
Как и в случае прямоугольной системы можно заменить a2 = 2c2:
Плотность точек кривой при равномерном изменении параметра
-
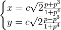
Параметрическое уравнение в прямоугольной системе:
, где
Это единственный вариант рациональной параметризации кривой. Уравнение полностью описывает кривую, когда параметр пробегает всю вещественную прямую: от
до
. При этом, когда параметр стремится к
, точка кривой стремится к (0;0) из второй координатной четверти, а когда параметр стремится к
, то — из четвёртой. Распределение точек, которые даёт параметрическое уравнение, при изменении его параметра с фиксированным шагом показано на рисунке.
Свойства
Лемниската Бернулли является частным случаем овала Кассини при a = c, синусоидальной спирали с индексом n = 2 и лемнискаты Бута при c = 0, поэтому она наследует некоторые свойства этих кривых.
Свойства от овала Кассини
-
Лемниската — кривая четвёртого порядка.
-
Она симметрична относительно двойной точки — середины отрезка между фокусами.
-
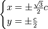
Кривая имеет 2 максимума и 2 минимума. Их координаты:
-
Расстояние от максимума до минимума, находящихся по одну сторону от серединного перпендикуляра отрезка между фокусами равно расстоянию от максимума (или от минимума) до двойной точки.
-
Лемнискату описывает окружность радиуса
, поэтому иногда в уравнениях производят эту замену.
Свойства от синусоидальной спирали
-
Точка, где лемниската пересекает саму себя, называется узловой или двойной точкой.
-
Касательные в двойной точке составляют с отрезком F1F2 углы
. -
Угол μ, составляемый касательной в произвольной точке кривой с радиус-вектором точки касания равен
. -
Касательные в точках пересечения кривой и хорды, проходящей через двойную точку, параллельны друг другу.
-
Инверсия относительно окружности с центром в двойной точке, переводит лемнискату Бернулли в равнобочную гиперболу.
-
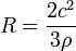
Радиус кривизны лемнискаты есть
Есть частный случай формулы радиуса кривизны синусоидальной спирали:
при m = 2,
однако, легко вывести и по определению.
Уравнение лемнискаты в полярной системе:
Формулы перехода к полярной системе координат:
Выражаем
:
Подставляем в уравнение лемнискаты и выражаем x и y:
—- это параметрическое уравнение относительно
. Проведя некоторые тригонометрические преобразования, можно получить уравнение относительно
, указанное выше в разделе Уравнения.
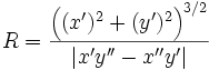
Формула радиуса кривизны кривой, заданной параметрически:
Находим производные по
:
Подставляем в формулу радиуса:
Возвращаемся к уравнению лемнискаты:
Подставляем это выражение в полученную формулу радиуса и получаем:
-
Натуральное уравнение кривой имеет вид
-
Подерой лемнискаты является синусоидальная спираль
-
Лемниската сама является подерой равносторонней гиперболы.
Собственные свойства:
Гравитационное свойство лемнискаты
-
Кривая является геометрическим местом точек, симметричных с центром равносторонней гиперболы относительно её касательных.
-
Отрезок биссектрисы угла между фокальными радиус-векторами точки лемнискаты равен отрезку от центра лемнискаты до пересечения её оси с этой биссектрисой.
-
Материальная точка, движущаяся по кривой под действием однородного гравитационного поля, пробегает дугу за то же время, что и соответствующую хорду. При этом ось лемнискаты составляет угол
с вектором напряжённости поля, а центр лемнискаты совпадает с исходным положением движущейся точки. -
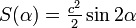
Площадь полярного сектора
, при
:
-
В частности, площадь каждой петли
, то есть площадь, ограниченная кривой, равна площади квадрата со стороной
. -
Перпендикуляр, опущенный из фокуса лемнискаты на радиус-вектор какой-либо её точки, делит площадь соответствующего сектора пополам.
-
Длина дуги лемнискаты между точками
и
выражается эллиптическим интегралом рода:
где
-
В частности, длина всей лемнискаты
Приложение
В геометрии, синусоидальная спираль — семейство кривых, определяемое уравнением в полярной системе координат:
rn = ancos(nθ),
где a — ненулевая константа и n — рациональное число, не равное нулю. С учетом возможности поворота кривой относительно начала координат уравнение также может быть записано в виде:
rn = ansin(nθ)
Использование термина «спираль» в данном случае не является точным, т. к. получаемые кривые по форме скорее напоминают цветок. Многие известные кривые являются частными случаями синусоидальной спирали:
-
Прямая (n = −1)
-
Окружность (n = 1)
-
Гипербола (n = −2)
-
Парабола (n = −1/2)
-
Кардиоида (n = 1/2)
-
Лемниската Бернулли (n = 2)
Впервые была изучена Маклореном.
















