85798 (574915)
Текст из файла
м. Комсомольськ
гімназія ім. В.О.Ніжніченка
ПРАКТИЧНА РОБОТА
на тему
„Раціональні дроби та їх властивості”
підготувала
Шепель Ілона
2004 р.
Дріб, числівник і знаменник якого є многочленами, називається раціональним (алгебраїчним).
Наприклад,
;
;
;
є
раціональними або алгебраїчними дробами.
Область припустимих значень (ОПЗ) алгебраїчного дробу є множина всіх числових наборів, що відповідають набору многочленів P та Q, для кожного з яких значення многочлена Q не дорівнює нулю.
Наприклад,
(ОПЗ) алебраїчного дробу
є множина всіх числових наборів, відповідаючих її буковному наборові (a,b,c) таких що
Два раціональні дроби
та
тотожньо рівні на множині М, якщо на множині М справедлива рівність PB=QA, за умови, що многочлени Q та B не дорівнюють нулю.
Наприклад,
Справедлива тотожня рівність
для
так як для них виконується
О
сновна властивість дробу виражена тотожністю , яка справедлива за умов , де R – цілий раціональний вираз (многочлен, одночлен або число).
Приведення раціональних дробів до спільного знаменника.
Скоротити дріб – це означає розділити числівник і знаменник дробу на спільний множник. Можливість такого скорочення обумовлена основною властивістю дробу.
Спільним знаменником декілька раціональних дробів називається цілий раціональний вираз, який ділиться на знаменник кожного дробу.
Для того, щоб декілька раціональних дробів привести до спільного знаменника, потрібно:
-
Розкласти знаменник кожного дробу на множники;
-
Скласти загальний знаменник, включивши в нього в якості співмножників всі множники одержаних розкладів; якщо множник є в декількох розкладах, то він береться з найбільшим показником ступеню;
-
Знайти додаткові множники для кожного з дробів (для цього спільний знаменник ділять на знаменник дробу);
-
Домноживши числівник і знаменник на додатковий множник, привести дроби до спільного знаменника.
Додавання і віднімання раціональних дробів.
Сума двох (любої скінченної кількості) раціональних дробів з однаковими знаменниками дорівнює дробу з тим же знаменником і з числівником, що дорівнює сумі числівників дробів-доданків:
.
Аналогічно і в випадку віднімання дробів з однаковими знаменниками:
.
Для додавання і віднімання раціональних дробів з різними знаменниками потрібно привести дроби до спільного знаменника, а потім виконати операції над дробами з однаковими знаменниками.
Н
априклад:
Спростити вираз: .
Розв”язок .
Множення і ділення раціональних дробів.
Добуток двох (любої скінченної кількості) раціональних дробів тотожньо дорівнює дробу, числівник якого дорівнює добутку числівників, а знаменник – добутку знаменників дробів-співмножників:
.
Частка від ділення двох раціональних дробів тотожньо дорівнює дробу, числівник якого дорівнює добутку числівника першого дробу на знаменник другого дробу, а знаменник - добутку знаменника першого дробу на числівник другого дробу:
.
Н
априклад:
Виконати множення.
Розв”язок.
.
П
іднесення раціонального дробу до степеня.
Д
ля того, щоб піднести раціональний дріб до натурального степеню n, треба піднести до цього степеня окремо числівник і знаменник дробу. Перший вираз – числівник, другий вираз – знаменник результата. .
П
ри піднесенні дробу до цілого від”ємного степеня використовуємо тотожність
яка справедлива при будь-яких значеннях змінних , за яких P ¹ 0, Q ¹ 0.
Перетворення раціональних виразів
Перетворення будь-якого раціонального виразу можна звести до додавання, віднімання, множення та ділення раціональних дробів, а також до піднесення дробу до натурального степеня. Будь-який раціональний вираз можна перетворити на дріб, числівник і знаменник якого – цілі раціональні вирази; в цьому, як правило, є ціль тотожніх перетворень раціональних виразів.
Наприклад:
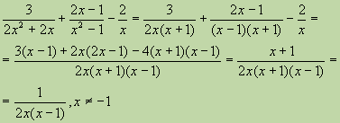
Спростити вираз
.
Розв”язок.
О. П. З.:
.
-
; -
;
-
.
Література:
-
М.Я. Выгодский, „Справочник по элементарной математике”, Москва, 1949
-
В.В. Вавилов, И.И. Мельников, „Задачи по математике. Алгебра”, Москва, 1987
Характеристики
Тип файла документ
Документы такого типа открываются такими программами, как Microsoft Office Word на компьютерах Windows, Apple Pages на компьютерах Mac, Open Office - бесплатная альтернатива на различных платформах, в том числе Linux. Наиболее простым и современным решением будут Google документы, так как открываются онлайн без скачивания прямо в браузере на любой платформе. Существуют российские качественные аналоги, например от Яндекса.
Будьте внимательны на мобильных устройствах, так как там используются упрощённый функционал даже в официальном приложении от Microsoft, поэтому для просмотра скачивайте PDF-версию. А если нужно редактировать файл, то используйте оригинальный файл.
Файлы такого типа обычно разбиты на страницы, а текст может быть форматированным (жирный, курсив, выбор шрифта, таблицы и т.п.), а также в него можно добавлять изображения. Формат идеально подходит для рефератов, докладов и РПЗ курсовых проектов, которые необходимо распечатать. Кстати перед печатью также сохраняйте файл в PDF, так как принтер может начудить со шрифтами.
; 















