83289 (574740)
Текст из файла
Содержание
1 Микроуровневая маркетинговая информационная система
2 Методы динамического программирования
1 МИКРОУРОВНЕВАЯ МАРКЕТИНГОВАЯ ИНФОРМАЦИОННАЯ СИСТЕМА
Названная система состоит из следующих четырех частей:
1. Внутренняя система учета и отчетности — информация о внутрифирменных информационных потоках, характеризующих объем, структуру и скорость товарного производства и обращения, издержках промышленных и торговых предприятий, потерях, валовых доходах, чистой прибыли и рентабельности.
2. Внешняя (разведывательная) система маркетинговой информации, позволяющей систематически наблюдать, точнее, следить, за состоянием рынка (что интересует покупателей и что они приобретают, что продают конкуренты; доля рыночных операций, приходящаяся на данное предприятие).
3. Маркетинговые наблюдения и анализ; изучение конкретных проблем маркетинга. Например, причин резкого сокращения продаж основного продукта или, наоборот, обстоятельств, позволяющих их значительно увеличить.
4. Система поддержки маркетинговых решений. Система опирается на экономико-математические методы и модели, на другие способы и приемы экономического анализа (с применением, как правило, компьютерной техники).
Внутренняя система информации наиболее доступна для маркетологов, менеджеров, коммивояжеров и других лиц, наблюдающих за состоянием рынка.
Первым показателем, который упоминался выше, является общий объем производства и продажи товаров и услуг за определенный временной отрезок (день, неделю, месяц, год), т.е. сведения о непрерывном потоке подобных операций. По своему экономическому содержанию фактическая величина производства и реализации товаров и услуг характеризует основной результат работы предприятия, выполнение им обязательств по заключенным договорам, степень участия в удовлетворении рыночных потребностей.
Сведения о производстве и продаже товаров содержатся в регистрах текущего учета и в периодической бухгалтерской отчетности.
В соответствии с Государственной программой перехода Российской Федерации на принятую в международной практике систему учета и статистики в соответствии с требованиями развития рыночной экономики приказом Министерства финансов ЗУ от 27.03.96 г. № 31 введено в действие Положение о бухгалтерском учете и отчетности в Украине.
Бухгалтерская отчетность состоит из образующих единое целое взаимосвязанных бухгалтерского баланса, отчета о финансовых результатах, отчета о движении денежных средств и пояснений к ним.
Бухгалтерская отчетность составляется на русском языке и в валюте Российской Федерации (для предприятий всех форм собственности, в том числе и с долевыми или полными инвестициями иностранного капитала).
Особое значение для всех пользователей отчетными данными имеет пояснение к бухгалтерскому балансу и отчету о финансовых результатах. В них находят отражение важные сведения (на начало и конец отчетного периода) о нематериальных активах но их отдельным видам, об основных средствах (по основным статьям), арендованным основным средствам, о видах финансовых вложений, о дебиторской и кредиторской задолженности, об уставном, резервном и добавочном капитале, о количестве акций акционерного общества (полностью оплаченных, неоплаченных, оплаченных частично; номинальной стоимости акций, находящихся в собственности акционерного общества, его дочерних и зависимых обществ); о составе резервов предстоящих расходов и оценочных резервов; об объемах реализованной продукции, товаров, работ, услуг по видам деятельности и географическим рынкам сбыта; о составе издержек производства и обращения, о прочих внереализационных доходах и расходах; о любых выданных и полученных обязательствах и платежах.
Бухгалтерский баланс, отчет о финансовых результатах и перечисленные выше дополнительные данные могут служить солидной информационной основой экономического анализа хозяйственной деятельности предприятий и других коммерческих структур. На их основе можно судить о выполнении обязательств, прежде всего, перед акционерами, инвесторами, покупателями, а также о возможных финансовых затруднениях, ведущих порой к «предынфарктному» финансовому состоянию.
Внутренняя система информации дает возможность ориентировочно (в порядке первого приближения) определить высшую и низшую границы продажных цен, установить зону коммерческого риска, линию финансового равновесия, критическую точку финансовой устойчивости. В связи с этим большое значение приобретает сейчас оперативная (ежедневная) информация. В специальной литературе встречаются сведения о том, что некоторые зарубежные фирмы, используя быстродействующую электронно-вычислительную технику, составляют даже ежедневный бухгалтерский баланс.
Информационная ценность бухгалтерской отчетности, несомненно, повышается, если учетное хозяйство предприятия было предварительно проверено соответствующей аудиторской службой. Известно, что аудитор в ходе проверки и по завершении ее обязан проанализировать состояние бухгалтерского учета, установить соответствие хозяйственно-финансовых операций действующим законам и подзаконным актам; установить правильность постановки учета и достоверность бухгалтерской отчетности.
Внешняя система маркетинговой информации, иногда называемой разведывательной, наиболее сложна, наиболее неопределенна и в какой-то мере рискованна. Никто нужных данных для маркетолога, менеджера здесь заранее не припас.
Наблюдение за рынком, находящимся в непрерывной подвижности, за действиями конкурентов, за далеко не всегда уловимым изменением продажных цен, а уж за качеством и биологической чистотой продаваемого тем более затруднено. К тому же и запросы потребителей очень переменчивы; количественно обозначить их архисложно.
Здесь приходится встречаться и с использованием нецивилизованными способами добывания нужной коммерческой информации (экономический шпионаж, подкуп, воровское подключение к чужой компьютерной программе и др.). Солидная газета «Иомиури» в свое время писала, что в Японии действует даже школа экономических шпионов. Воспринимая полезный опыт развитых капиталистических стран, не следует, видимо, воспроизводить на русской почве все то, что нам несвойственно по своей природе. Ведь было время на Руси, когда непреложным носителем экономической информации было так называемое «купецкое слово» («уговор дороже денег»). Не требовалось подписывать фьючерсные контракты, выдавать векселя, расписки и т.д. Имели место, наконец, знаменитые «долговые ямы», даже выбравшись из которых купец полностью утрачивал доверие своей прежней клиентуры.
Времена меняются, и цивилизация сопряжена со многими явлениями, которые не только трудно объяснить, но и понять. В нашей действительности возникла масса экономических преступлений, много криминальных разборок, заканчивающихся заказными убийствами конкурентов. Появилось слово «килер», которого не было в наших прежних энциклопедических словарях.
Разведывательная (внешняя) система маркетинговой информации формируется сейчас вновь возникшей, достаточно многочисленной, группой дистрибьютеров-менеджеров, маркетологов, брокеров, коммивояжеров.
Менеджер, маркетолог, коммивояжер и другие работники коммерческой службы должны быть не только отменными профессионалами, образованными специалистами, но и обладать чувством интуиции (опосредованным и знанием, и опытом), своеобразным коммерческим чутьем.
Третьей частью маркетинговой информационной системы является, как указывалось выше, изучение конкретных проблем маркетинга. Иными словами, речь идет о рациональном использовании имеющейся (внутренней) и разведывательной (внешней) информации. Именно на этом этапе определяется
истинная потребность в необходимой информации. Здесь возникают противоречивые трудности как в связи с недостаточностью информации, так и с ее избыточностью.
Важное место на этом этапе может сыграть функционально-стоимостный анализ.
Наконец, последней частью маркетинговой информационной системы является принятие оптимальных управленческих решений. Именно здесь проявляется целесообразность того, насколько целенаправленно городился весь информационный огород. Степень рациональности определяется тем, насколько правильно принято управленческое, истинно оптимальное решение (из десятков, а может быть, и сотен альтернативных).
Без специальных приемов экономического анализа, без построения нужных экономико-математических моделей достичь этого невозможно. Процедура здесь такова: обоснованно ставится экономическая задача, производится ее математическая формализация, задается компьютерная программа, выдается результат счета, производится анализ полученных коэффициентов, выбирается управленческое решение и испытывается его оптимальность.
Важное место в маркетинговой информации занимает реклама. С ее помощью можно привлечь значительное число покупателей того или иного товара.
Ранее рекламное дело у нас почти отсутствовало. Лишь с переходом к рыночной экономике положение несколько улучшилось. Однако и теперь множество неполадок в организации рекламного хозяйства. Реклама не всегда несет необходимую для покупателя полезную, нужную информацию. Она не всегда доходчива, эстетична, достоверна (порой лжива). Рекламная информация чаще касается «заморских» товаров; продукция отечественного производства рекламируется крайне слабо (хотя по своему качеству, биологической чистоте, прочности и долговечности часто лучше зарубежной).
2 МЕТОДЫ ДИНАМИЧЕСКОГО ПРОГРАММИРОВАНИЯ
Методы динамического программирования применяются при решении оптимизационных задач, в которых целевая функция или ограничения, или же первое и второе одновременно характеризуются нелинейными зависимостями. Признаками нелинейности является, в частности, наличие переменных, у которых показатель степени отличается от единицы, а также наличие переменной в показателе степени, под корнем, под знаком логарифма.
Примеры нелинейных зависимостей достаточно обширны. Например, экономическая эффективность производства возрастает или убывает непропорционально изменению масштабов производства; величина затрат на производство партии деталей возрастает в связи с увеличением размеров партии, но не пропорционально им. И в том, и в другом случае мы, по существу, сталкиваемся с проблемой переменных и условно-постоянных издержек.
Известно, что себестоимость с увеличением объема выпускаемой продукции понижается, но при нарушении ритмичности производства она может и возрастать, (за счет оплаты сверхурочных работ в конце отчетного периода). Здесь затраты представляются, как и в вышеприведенной ситуации, нелинейной функцией от объема производства.
Нелинейной связью характеризуются величины износа производственного оборудования в зависимости от времени его работы, удельный расход бензина (на 1 км пути) — от скорости движения автотранспорта и многие другие хозяйственные ситуации.
Использование в экономическом анализе метода динамического программирования покажем на простейшем примере.
Имеется некое транспортное средство грузоподъемностью W. Требуется заполнить его грузом, состоящим из предметов W различных типов, таким образом, чтобы стоимость всего груза оказалась максимальной.
Для этого введем соответствующие обозначения:
Рi—вес одного предмета i-го типа; Vi — стоимость одного предмета i-го типа; xi —число предметов i-го типа, загружаемых на имеющееся транспортное средство.
Необходимо подобрать груз максимальной ценности с учетом грузоподъемности транспортного средства W.
Математически формализовать данную экстремальную задачу можно следующим образом:
при ограничениях:
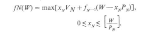
Решение задачи разбивается на п этапов, на каждом из которых определяется максимальная стоимость груза, состоящего из предметов 1-го типа (первый этап), 1-го и 2-го типов (второй этап) и т. д. Для этого воспользуемся рекуррентным соотношением (критерием оптимальности Беллмана):
—
максимальная ст-ть груза, состоящего из предметов N-го типов;
—стоимость взятых предметов N-гo типа;
—максимальная стоимость груза, состоящего из предметов (N— 1) типа с общим весом не более
—наибольшее целое число, не превосходящее
.
Будем считать, f0(W) = 0 для любого W. Последовательно найдя значение функций f1,(W), f2(W),..., fn(W), можно получить полное решение сформулированной задачи.
Пусть:
Р1, = 4; Р2 = 3; Р3 = 2; Р4 = 1 (единиц груза); V1, = 28; V2 = 20; V3 = 13; V4 = 6 (денежных единиц); грузоподъемность транспортного средства W = 10 (единиц груза).
Найдем последовательно значения функций b1(W): f1(W), f2(W), f2(W), f3(W), при различных значениях W(0< W<10).
10>Характеристики
Тип файла документ
Документы такого типа открываются такими программами, как Microsoft Office Word на компьютерах Windows, Apple Pages на компьютерах Mac, Open Office - бесплатная альтернатива на различных платформах, в том числе Linux. Наиболее простым и современным решением будут Google документы, так как открываются онлайн без скачивания прямо в браузере на любой платформе. Существуют российские качественные аналоги, например от Яндекса.
Будьте внимательны на мобильных устройствах, так как там используются упрощённый функционал даже в официальном приложении от Microsoft, поэтому для просмотра скачивайте PDF-версию. А если нужно редактировать файл, то используйте оригинальный файл.
Файлы такого типа обычно разбиты на страницы, а текст может быть форматированным (жирный, курсив, выбор шрифта, таблицы и т.п.), а также в него можно добавлять изображения. Формат идеально подходит для рефератов, докладов и РПЗ курсовых проектов, которые необходимо распечатать. Кстати перед печатью также сохраняйте файл в PDF, так как принтер может начудить со шрифтами.














