83289 (574740), страница 2
Текст из файла (страница 2)
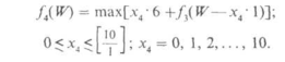
Таким образом, максимальная стоимость груза f4(10) равна 69 денежным единицам, при этом предметы 4-го типа загружать не следует, так как f4(10) = 69 достигается при х4= О (табл. 6.7).
Таблица 6.7
| W | 0—3 | 4—7 | 8—10 |
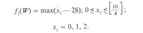
| f1(W) | 0 | 28 | 56 |
| х1 | 0 | 1 | 2 |
Таблица 6.8
| W | 0—2 | 3 | 4—5 | 6 | 7 | 8 | 9 | 10 |
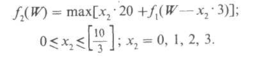
| f2(W) | 0 | 20 | 28 | 40 | 48 | 56 | 60 | 68 |
| х2 | 0 | 1 | 0 | 2 | 1 | 0 | 3 | 2 |
Таблица 6.9
| W | 0—1 | 2 | 3 | 4 | 5 | 6 | 7 | 8 | 9 | 10 |
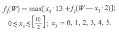
| f3(W) | 13 | 20 | 28 | 33 | 41 | 48 | 56 | 61 | 69 | |
| x3 | 0 | 1 | 0 | 0 | 1 | 1 | 0 | 0 | 1 | J |
Таблица 6.10
| W | 0 | 1 | 2 | 3 | 4 | 5 | 6 | 7 | 8 | 9 | 10 |
| f4(W) | 0 | 6 | 13 | 20 | 28 | 34 | 41 | 48 | 56 | 62 | 69 |
| Х4 | 0 | 1 | 0 | 0 | 0 | 1 | 0 | 0 | 0 | 1 | 0 |
Предметы остальных типов распределяются следующим образом:
х3 = 1, так как f3(10) = 69 достигается при х3 = 1 (табл. 6.9), следовательно, вес этого предмета равен 2 единицам груза, поэтому остальные предметы можно загрузить лишь в пределах веса, равного 8(10 2) единицам груза;
f2(8) = 56 достигается при x= 0 (табл. 7.8), следовательно, предметы 2-го типа брать не следует.
И наконец, f1(8)= 56 достигается при x1 = 2 (табл. 6.7), следовательно, предметов 1-го типа следует взять два.
В итоге наилучший вариант нагрузки транспортного средства достигается при значениях х1 =2; х2 = 0; х3 = 1; х4 = 0 (берутся два предмета 1-го тина и один предмет 3-го типа).















