63990 (573487)
Текст из файла
Метод граничного сканирования - Boundary-Scan
(стандарт IEEE 1149.1)
С середины 70-х годов структурное тестирование печатных плат основывалось на физическом доступе к устройствам и межсоединениям на плате с помощью так называемого «ложа из гвоздей» (рис. 1). С развитием технологии изготовления печатных плат, стали уменьшаться расстояния между соседними медными дорожками – стало более рискованно каждый раз класть плату на гвозди. Появились двухсторонние платы, и инженерам пришлось прикладывать гвозди с двух сторон. Вопрос о физическом доступе был исчерпан с появлением многослойных печатных плат.
Рисунок 1
С такими проблемами столкнулись в середине 80-х большинство производителей. Для поиска возможных решений была создана группа JTAG (Joint Test Action Group), которая с помощью 200 ведущих фирм в течение 5 лет разработала стандарт Boundary-Scan IEEE 1149.1 (IEEE – Institute of Electrical and Electronic Engineers).
В основу принципа была положена концепция размещения последовательного сдвигового регистра по границам устройства (рис. 2) Причем, сами ячейки такого регистра располагаются непосредственно между первичными входами/выходами устройства и логическим ядром.
Рисунок 2
Таким образом, в устройство добавляется 4 контакта: TDI (Test Data In – вход тестовых данных), TDO (Test Data Out – выход тестовых данных), TMS (Test Mode Select – выбор тестового режима) и TCK (Test Clock – тестовая синхронизация).
Рисунок 3.
Сущность механизма сканирования сходна с методом Scan Path. Однако, есть существенные различия. Во-первых, логика ядра может быть любой, в том числе содержать последовательностные структуры (не нужно разбивать устройство на комбинационную часть и память). Во-вторых, ячейки сканирования располагаются как до, так и после логики.
Несколько устройств на плате могут быть объединены в единый последовательный путь сканирования (рис. 3). Это можно сделать путем соединения TDO с TDI следующего устройства. Таким образом, на плате появляется также 4 дополнительных вывода: TDI и TDO, и общие для всех устройств TCK и TMS.
Таким образом, технология граничного сканирования при относительно небольших аппаратурных затратах позволила реализовать нечто вроде «виртуальных гвоздей», что обеспечивает не только 100% наблюдаемость, но и 100% управляемость входов/выходов устройств.
Несомненно, технология Boundary-Scan является значительным прорывом вперед в DFT. Рассмотрим архитектуру устройства, которую описывает стандарт IEEE 1149.1.
Общая схема устройства представлена на рис. 4.
Рисунок 4.
Само устройство, реализующее требуемые функции (которое, как мы видим, может содержать и некие внутренние регистры), помещается в обрамление из тестовой логики, которое составляют:
-
Набор из 4 обязательных тестовых ножек: TDI, TDO, TMS и TCK. Также возможно добавление еще одной необязательной тестовой ножки – TR (Test Reset – сброс тестовой логики). Все вместе они называются TAP (Test Access Port – тестовый порт доступа).
-
Ячейки граничного сканирования на каждой линии первичного входа или выхода, соединенные между собой, таким образом, чтобы организовать последовательный сдвиговый регистр.
-
Однобитный регистр обхода (Bypass register).
-
Необязательный 32-битный идентификационный регистр, с возможностью хранения в нем неизменяемого кода устройства.
-
Регистр команд (Instruction Register), в котором хранится текущая команда. Разрядность регистра команд должна быть больше или равна 2.
-
TAP controller. По сути, это конечный управляющий автомат для тестовой логики.
Как видно из схемы, тестовая логика предоставляет возможность выбирать путь прохождения данных от TDI к TDO: либо через регистр команд (Instruction Register), либо через регистр данных (Data Register). Регистром данных в каждый момент времени может быть один из следующих регистров:
-
Последовательный сдвиговый регистр граничного сканирования (Boundary-Scan register).
-
Какой-либо внутренний регистр, предусмотренный разработчиком устройства (Internal register).
-
Регистр обхода (Bypass register).
-
Идентификационный регистр (Identification register).
Рассмотрим регистр сканирования. Ячейки граничного сканирования (Boundary-Scan cells) подразделяются на два типа: входные (размещаются на тех первичных входах устройства, где временной фактор критичен – например, на входе синхронизации) и обычные. Схема входной ячейки показана на рис. 5.
Рисунок 5.
Как видно из этой схемы, сигнал проходит по линии данных без задержек. Однако, там где это возможно на входных линиях, а также на всех выходных линиях располагают обычные ячейки. Структура типичной ячейки граничного сканирования представлена на рис. 6.
Рисунок 6
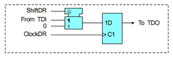
Рассматриваемая ячейка состоит из двух D-триггеров, работающих по прямому фронту, двух мультиплексоров “2-в-1”, четырех входов и двух выходов. Назначение структурных элементов схемы:
-
Data_In и Data_Out – вход и выход (относительно ячейки) линии данных, на которую эта ячейка и помещена. (PI – parallel input, PO – parallel output).
-
Scan In и Scan Out – соответственно, вход и выход сканируемых данных (SI – serial scan input, SO – serial scan output). Т.е. на SI данные приходят с SO предыдущей ячейки (либо с TDI, если это первая ячейка в пути), проходят через первый D-триггер и выходят на SO, чтобы попасть на SI следующей ячейки (или на TDO, если это последняя ячейка в пути).
-
ShiftDR – определяет источник информации для первого D-триггера: Data_In (режим Capture) либо Scan In (режим Shift).
-
Mode – определяет, что пропускать на линию данных Data_Out: сигнал с Data_In (режим Normal) либо сигнал со второго D-триггера (режим Update).
-
ClockDR – синхронизирующий вход первого D-триггера, т.е. для режимов Capture и Shift.
-
UpdateDR – синхронизирующий вход второго D-триггера (режим Update)
Ниже приведена таблица режимов функционирования ячейки:
| Режим | ShiftDR | Mode | Функционирование |
| NORMAL | - | 0 | PI PO |
| CAPTURE | 0 | - | PI SO по фронту на ClockDR |
| SHIFT | 1 | - | SI SO по фронту на ClockDR |
| UPDATE | - | 1 | SO PO по фронту на UpdateDR |
Как видно из структуры ячейки, путь сканирования TDI SI1 SO1 SOi-1 SIi SOi SIi+1 TDO физически не пересекается с линиями данных PIPO ячеек граничного сканирования. Таким образом, регистр граничного сканирования является “прозрачным” для самого устройства. Для осуществления операций сканирования отсутствует необходимость переключаться в специальный тестовый режим. Влияние тестовой логики на функционирование устройства сведено к минимуму. На входных линиях задержка прохождения сигнала может отсутствовать вообще, а на выходных – равна задержке выходного мультиплексора (Output Mux).
Внутренний регистр (Internal register), предусмотренный разработчиком устройства, например, для хранения результирующей сигнатуры проверки устройства, если в нем реализованы средства встроенного самотестирования.
Регистр обхода (Bypass register) – простой, но очень важный элемент в рассматриваемой архитектуре. Он создает кратчайший путь между TDI и TDO, не затрагивая при этом все остальные регистры. Необходимость такого регистра обусловлена ранее оговоренной возможностью соединения нескольких устройств в последовательный путь сканирования. Если нам необходимо иметь доступ не ко всем, а только к некоторым устройствам в цепочке, то остальные устройства устанавливаются в режим Bypass, образуя минимальные задержки прохождения сканируемых данных. Bypass register состоит из одного мультиплексора “2 в 1” и одного D-триггера, синхронизированного прямым фронтом (рис. 7). Отсутствует параллельный вывод данных (в связи с чем, сигнал Update_DR отсутствует в схеме), но есть некоторая особенность с операцией Capture – в регистр может записываться аппаратно реализованное значение 0 (т.е. производится захват значения 0).
Рисунок 7
Регистр Идентификации (Identification register) – необязательный 32-битый регистр с режимами сбора данных и сдвига (рис. 8). 32 бита идентифицируют устройство через следующие поля:
-
Бит 0 (младший разряд) всегда равен 1.
-
Биты 1 – 11 идентифицируют фирму-изготовителя устройства. Используется краткая форма кода идентификации JEDEC.
-
Биты 12 – 27 обеспечивают 16-битное поле свободного формата с серийным номером устройства.
-
Биты 28 – 31 обеспечивают 4-битное поле свободного формата, чтобы описать до 16 различных версий того же основного устройства.
Регистр команд (Instruction Register) состоит из собственно сдвигового регистра, некоторой декодирующей логики (в зависимости от количества и типов реализуемых команд) и секции хранения декодированной команды, в которую как только команда поступает, она сразу же поступает на выполнение (рис. 9). Стандарт IEEE 1149.1, во-первых, предписывает, что есть только 3 обязательные команды, необходимые для функционирования аппарата Boundary-Scan, а все остальные являются необязательными (дополнительными), во-вторых, обязательные и дополнительные команды в стандарте только описываются функционально, а их реализация на аппаратном уровне оставлена полностью на усмотрение разработчика. Последнее, кстати, относится ко всему тестовому обрамлению устройства.
Следующие три команды должны обязательно быть реализованы тестовой логикой :
-
BYPASS (обход) – команда, устанавливающая Bypass register между TDI и TDO. Код команды – все единицы (число разрядов регистра команд ≥2, поэтому для регистра минимальной длины код команды – 11). Режимы Shift и Capture с «0».
Рисунок 8
Рисунок 9.
-
EXTEST (внешнее тестирование) – команда, выбирающая сдвиговый регистр и предназначенная для тестирования внешних соединений между устройствами на плате. Режимы Update (для ячеек, находящихся на первичных выходах устройства), Capture и Shift. Код команды – все нули (00).
Выполнение команды предполагает отключение ядра кристалла от внешних контактов (Mode=1).
-
SAMPLE/PRELOAD (последовательность/предварительная загрузка) используется для сканирования значений сигналов, захваченных с внешних контактов устройств в штатном режиме (параллельно выполнению обычных функций устройств), а также для загрузки в регистр сканирования информации, используемой в дальнейшем для тестирования внешних соединений или других функций. Код команды не фиксирован. Режимы Capture и Shift.
Выполнение команды не предполагает отключение ядра кристалла от внешних контактов (Mode=0).
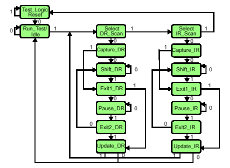
TAP контроллер (TAP controller) (рис. 10 и 11) – необычный автомат. Он имеет вход синхронизации TCK, вход данных TMS и 16 внутренних состояний. Также он имеет 9 выходов (3 – для управления регистром команд, 4 -для управления регистром данных и 2 – общего назначения). Причем переход в некоторое состояние активизируется последовательностью двоичных сигналов на входе TMS.
Рисунок 10 - TAP контроллер
Рисунок 11 – двоичный граф переходов TAP контроллера
Характеристики
Тип файла документ
Документы такого типа открываются такими программами, как Microsoft Office Word на компьютерах Windows, Apple Pages на компьютерах Mac, Open Office - бесплатная альтернатива на различных платформах, в том числе Linux. Наиболее простым и современным решением будут Google документы, так как открываются онлайн без скачивания прямо в браузере на любой платформе. Существуют российские качественные аналоги, например от Яндекса.
Будьте внимательны на мобильных устройствах, так как там используются упрощённый функционал даже в официальном приложении от Microsoft, поэтому для просмотра скачивайте PDF-версию. А если нужно редактировать файл, то используйте оригинальный файл.
Файлы такого типа обычно разбиты на страницы, а текст может быть форматированным (жирный, курсив, выбор шрифта, таблицы и т.п.), а также в него можно добавлять изображения. Формат идеально подходит для рефератов, докладов и РПЗ курсовых проектов, которые необходимо распечатать. Кстати перед печатью также сохраняйте файл в PDF, так как принтер может начудить со шрифтами.
















