24909 (568841)
Текст из файла
РОССИЙСКИЙ ГОСУДАРСТВЕННЫЙ ГЕОЛОГОРАЗВЕДОЧНЫЙУНИВЕРСИТЕТ
Контрольная работа
по дисциплине: Динамика подземных вод
Откачка проводилась из напорного водоносного горизонта мощностью 40 м. с избыточным напором над кровлей120 м. Опытный куст состоит из эксплуатационной и двух наблюдательных скважин. Дебит откачкиQ=3000 м3/сут, радиус центральной скважины r0=0.15 м. Расстояние от центральной до наблюдательных скважин 30 и 80 м.
Провести диагностику результатов откачки и определить параметрыT, k, a*,
, Rвл, rпр, используя методы временного и площадного прослеживания.
| Результаты откачки | ||||
| | ,час | S0,м | S1,м | S2, м |
| 0.083 | -2,49 | 17,15 | 2,26 | 0,36 |
| 0.167 | -1,79 | 18,13 | 3,07 | 0,87 |
| 1.0 | 0 | 20,61 | 5,68 | 2,82 |
| 2.0 | 0,69 | 21,66 | 6,60 | 3,81 |
| 5,0 | 1,61 | 22,97 | 7,97 | 5,12 |
| 10,0 | 2,3 | 23,96 | 8,89 | 6,10 |
| 24,0 | 3,18 | 25,2 | 10,13 | 7,35 |
| 35,0 | 3,56 | 25,8 | 10,71 | 7,92 |
| 48,0 | 3,87 | 26,18 | 11,12 | 8,33 |
| 60,0 | 4,09 | 26,5 | 11,43 | 8,65 |
| 72,0 | 4,28 | 26,76 | 11,70 | 8,91 |
| 96,0 | 4,56 | 27,17 | 12,10 | 9,32 |
| 108,0 | 4,68 | 27,34 | 12,27 | 9,49 |
| 120,0 | 4,79 | 27,5 | 12,42 | 9,63 |
| 144,0 | 4,97 | 27,74 | 12,68 | 9,89 |
| 168,0 | 5,19 | 28,00 | 12,90 | 10,11 |
Решение:
-
Составим расчетную схему кустовой откачки
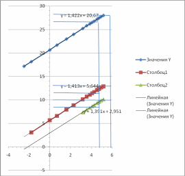
2.Построим графики временного прослеживания откачки в координатахS- Int. по опытным данным.
3. Проведем диагностику откачки и уточним расчетную схему.
Визуальный анализ графиков временного прослеживания понижения уровня показывает что по центральной и 1 наблюдательной скважинам полученные графики имеют вид прямых линий, что свидетельствует о наступлении квазистационарного режима в радиусе 30 м от центральной скважины практически с первых минут. Во второй наблюдательной скважине квазистационар наступает через 20 часов о чем свидетельствует прямолинейность графика на отрезке
Ац=20,68
А1=5,68
А2=2,82
Визуальный анализ графиков временного прослеживания понижения уровня показывает, что пласт является неограниченным и изолированным, уклоны и формы графиков практически однозначны и показывают снижение уровня на всем ходе откачки. Следовательно, расчетные зависимости для определения имеют вид:
где:
- коэффициент водопроводимости; а- коэффициент пьезопроводности;
- ордината и угловой коэффициент,определенные по графику центральной скважины;
и
- ордината и угловой коэффициентнаблюдательных скважин.
Во всех трех скважинах квазистационарный режим наступает спустя 1 час после начала опыта, о чем свидетельствует прямолинейность индикаторных графиков (за исключением начальных участков имеющих меньший угловой коэффициент)на протяжении дальнейшего времени.
4.Параллельность всех прямолинейных участков индикаторных графиков свидетельствует об однородности фильтрационных свойств исследуемой области фильтрации.
5. Значение коэффициента Сварьируется в узком диапазоне 1.40-1.43, что подтверждает сделанный ранее на основе визуального анализа вывод об однородности фильтрационных свойств области фильтрации в радиусе влияния откачки. Отношение
, что менее 2. Поэтому используя критерий
, окончательно принимаем вывод об однородном строении области фильтрации, определяем среднее арифметическое значение
1.415 и используем его в формуле для определения коэффициента водопроводимости:
6. Величину коэффициента пьезопроводности найдем используя коэффициент А уравнения прямой на графиках временного прослеживания для наблюдательных скважин. Использовать данные откачки по центральной скважине в данном случае нельзя, так как неизвестно истинное значение ее радиуса из –за общего скин-эффекта. в итоге получим:
по СКВ 1
23145м2/час=5.55*105м2/сут
по СКВ 2
21340 м2/час=5.12*105м2/сут
среднее значение для всей области питания
=5.335*105
7. Коэффициент фильтрации определим по формуле:
8. Коэффициент упругой водоотдачи рассчитаем по формуле:
9. Выполним определение параметров методом площадного прослеживания. Для этого построим график S- Inr по замерам уровней в наблюдательных скважинах на момент t= 10 часов (0.42сут), т.е в период когда во всей исследуемой области фильтрации установился квазистационарный режим.
График площадного прослеживания на момент времениt=0.42 сут.
По графику определим Cr=2.78 и Ar= 18.5.Значения параметров можно вычислить по формулам:
Вычислим параметры пласта по формулам:
10. Показатель несовершенства центральной скважины
определяется путем сноса на продолжение построенного графика S-Int величины понижения уровня поэтой скважине
на момент времени tj.
Время tj для построения графика выбирается из условия параллельности графиков S- Int по разным скважинам. Такое условие для однородного пласта наступает после реализации критерия
для самой удаленной скважины.
В нашем случае
= -1.9, приведенный радиус скважины равен rпр=0.15м. Показатель несовершенства скважины
определим по формуле:
11. Сопоставим графоаналитические определения с результатами аналитических расчетов по данным временного прослеживания по центральной скважине с использованием формулы:
Полученные данные свидетельствуют о совпадении результатов вычислений разными методами.
Список использованной литературы
1. БоревскийБ.В. и др.Методика определения параметров водоносных горизонтов по даннымоткачек. М «Недра» 1999 г.
2. ВеригинН.Н.Гидродинамические ифизико-химические свойства горных пород.М «Недра» 1997 г.
3. Климентов П.П. Кононов В.М. Динамика подземных вод. М «Высшая школа» 1999 г.
4. Ленченко Н.Н.Динамика подземных вод.М «Недра» 2008 г.
5. Ленченко Н.Н.ФисунН.В.Практикум по динамике подземных вод. Часть 1. М «Недра» 2008 г.
6. Мироненко В.А. Шестаков В.М.Основы гидрогеомеханики.М «Недра» 2004 г.
Характеристики
Тип файла документ
Документы такого типа открываются такими программами, как Microsoft Office Word на компьютерах Windows, Apple Pages на компьютерах Mac, Open Office - бесплатная альтернатива на различных платформах, в том числе Linux. Наиболее простым и современным решением будут Google документы, так как открываются онлайн без скачивания прямо в браузере на любой платформе. Существуют российские качественные аналоги, например от Яндекса.
Будьте внимательны на мобильных устройствах, так как там используются упрощённый функционал даже в официальном приложении от Microsoft, поэтому для просмотра скачивайте PDF-версию. А если нужно редактировать файл, то используйте оригинальный файл.
Файлы такого типа обычно разбиты на страницы, а текст может быть форматированным (жирный, курсив, выбор шрифта, таблицы и т.п.), а также в него можно добавлять изображения. Формат идеально подходит для рефератов, докладов и РПЗ курсовых проектов, которые необходимо распечатать. Кстати перед печатью также сохраняйте файл в PDF, так как принтер может начудить со шрифтами.
t, час















