24121 (568799)
Текст из файла
КОНТРОЛЬНАЯ РАБОТА
Тема «Особенности расселения населения РФ. Формы ТОН»
Введение
Одна из особенностей России заключается в неравномерном размещении природных ресурсов и населения, а также в наличии диспропорций между размещением природного потенциала и сформировавшегося экономического потенциала. Так, значительная часть минерально-сырьевых ресурсов страны размещена в восточных районах, преимущественно в Сибири, т.е. в труднодоступных районах с экстремальными природными условиями. При этом почти 85% населения России сконцентрированы в европейской части страны. В результате освоение и эксплуатация новых источников природных ресурсов невозможны без привлечения в восточные районы трудовых ресурсов. Поэтому освоение Сибири всегда было связано с массовым переселением. Кроме того, диспропорции в размещении промышленности и населения России, с одной стороны, и природные ресурсов – с другой, усиливают значимость транспортного фактора, ведут к заметному удорожанию производства за счет транспортной составляющей.
Итак, одна из важных особенностей России – это обширность территории. Огромные расстояния служат резкому удорожанию всех средств сообщения и связи, резко повышают удельные энергетические затраты, т.е. расстояние – это тяжелейшее экономическое бремя. Кроме того, говоря об обширной территории России, следует иметь в виду, что Россия не только мировой лидер по площади территории, но и мировой лидер по суровости климата.
На территориях с экстремальными природными условиями требуется больше топливно-энергетических и других ресурсов. Так, на эффективных территориях затраты энергетических ресурсов на производство единицы готовой продукции в 2–3 раза ниже, чем в высокоширотных и высокогорных странах и регионах.
Эти факторы оказывают существенное влияние на расселение людей по территории страны. Этим объясняется стремление населения к заселению более выгодных с географической, экономической и социальной стороны территорий.
Под расселением подразумевается сеть, или система, населенных пунктов на той или иной территории. Это составная часть среды, окружающая человека. Не следует смешивать заселение с расселением, поскольку заселение – процесс исторический, связанный с освоением новых территорий, а расселение – результат этого освоения.
В России выделяются три главные зоны расселения – основная, северная и южная. Они различаются условиями жизни и хозяйственной деятельностью людей, а также плотностью населения.
В наши дни существует проблема естественной убыли населения. Естественная убыль населения в определенной мере компенсируется внешним миграционным приростом. Внешний миграционный обмен России делится на два потока: со странами СНГ и Балтии (бывшими Союзными Республиками СССР) и с остальными странами.
Компенсация естественной убыли населения миграционным приростом вместе с положительными аспектами, в составе которых прирост рабочей силы, сопровождается негативным влиянием на демографическую ситуацию в целом. В частности, мигранты усиливают давление на ослабленную социальную сферу России, обостряют одностороннюю конкуренцию спроса на рынках жилья и труда.
-
-
Особенности расселения РФ
1.1 Понятие и типы зон расселения
Расселение населения – система населенных пунктов на конкретной территории. Оно включает 2 основных элемента: размещение населения (исторический процесс, связанный с освоением земель.) и миграцию.
Факторами, влияющими на расселение являются естественное (смертность и рождаемость) и механическое движение (миграция). Миграция – перемещение людей через границы тех или иных территорий с переменой места жительства навсегда или на более или менее длительное время.
Первичной единицей размещения населения на любой территории является населенный пункт (поселение) – населённое место в пределах одного застроенного земельного участка (город, посёлок городского типа, село и пр.). Обязательный признак населённого пункта – постоянство использования его как места обитания из года в год (хотя бы сезонно).
Существуют исторически сложившиеся в РФ типы поселений: город, посад, слобода, погост, село, сельцо, деревня, аул, станица и др.
Главным показателем, отражающим размещение населения является плотность (число жителей, приходящихся на 1 кв. км территории). Средняя плотность населения по России составляет 8,4 чел./ км². Наибольшая плотность в России наблюдается в г. Москве и Северо-Кавказском ФО – около 330 чел./км². Самая низкая плотность населения в Российской Федерации – в Эвенкийском районе Красноярского края – 0,1 чел./км².
При заселении территории РФ исторически сформировались 3 зоны расселения:
-
основная зона
Это основная зона расселения – Центральная Россия. Данная зона представляет вид большого «треугольника» с вершинами в С.-Петербурге, Сочи, Абакан. Серерная граница этого треугольника – линия Оренбург-Пермь-Красноярск, а южная граница – Сочи-Астрахань-Оренбург. На Главную полосу приходится примерно треть территории России, но около 94% ее населения. В этой зоне сконцентрированы основные города, в том числе все крупнейшие города и города-миллионеры. Средняя плотность населения достигает 40 чел. на 1 км», а плотность сельского населения – 10 чел. на 1 км2.
-
северная зона
Она занимает 2/3 территории страны, но проживает здесь лишь 5% населения. Это районы тайги, тундры и лесотундры с суровыми природными условиями, расположенные севернее Главной полосы расселения. Средняя плотность населении здесь меньше 1 чел. на 1 км2, а сельского – менее 1 чел. на 10 км2, т.е. большая часть территории фактически не заселена и не освоена. Преобладает городское население, сконцентрированное в отдельных очагах, связанных в основном с добычей минеральных ресурсов (районы Норильска, Воркуты, М. и а да на и др.).
-
южная зона
Она занимает сравнительно небольшую территорию на юге Сибири (республики Алтай, Тыва и некоторые прилегающие территории). К ней же относится и Прикаспийская низменность. В этой зоне проживает около 1% населения России. Средний плотность здесь также низка (около 2,5 чел. на 1 км2), хоти, в отличие от Северной зоны, преобладает сельское население, т.е. это тоже практически неосвоенная территория.
Существует 3 группы особенностей, влияющих на расселение населения:
-
этнонациональные
По принадлежности к языковым группам выделяют:
-
индоевропейская
-
финоугорская
-
северокавказская
-
алтайская
-
полеэтнические
Предполагает распыленность в размещении народов, обусловленная несоответствием размещения многих народов и ограниченными территориями соответствующих субъектов Федерации. Численность коренных народов снижается в следствии ассимиляции русских на территориях этих народов.
-
наличие определенных ландшафтно-этнических групп
-
северно-европейская
-
урало-поволжская
-
северокавказская
-
среднесибирская
-
северо-сибирская
-
южно-сибирская
-
дальневосточная
1.2 Методы расчета расселения
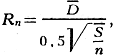
Особенностью размещения населения в РФ является его неравномерность. Для определения степени равномерности расселения населения используют несколько методов. Например, метод анализа ближайшего соседства (подсчёт расстояний от каждого поселения до ближайшего к нему населенного пункта, суммирование таких показателей и расчёт среднего расстояния по всей территории):
где:
Rn – показатель, характеризующий территориальную концентрацию поселений;
– среднее расстояние между ближайшими поселениями;
S – площадь изучаемой территории;
n – число поселений.
При совершенно равномерном распределении показатель получает максимальное значение (≈ 2,15); при скученности населения в одном поселении Rn=0; при беспорядочном, случайном их распределении – 1,0.
Таким образом создаётся возможность описать числом по непрерывной шкале значений от 0 до 2,15 любое распределение поселений по территории страны.
Степень равномерности размещения населения измеряется также с помощью индекса территориальной концентрации (кт. к.), определяемого по формуле:
кт. к. = 0,5* |Si - Pi|*100%,
где Si и Pi - доля площади и доля населения i-того региона в общей площади и населении всей страны.
1.3 Типы расселения населения
Большинство поселений, как правило, служит не только пунктом жительства людей, но также местом размещения производственных объектов (заводов, ферм, и др.), а также учреждений производственной и непроизводственной инфраструктуры (дорог, магазинов и т.п.).
Принято выделять несколько типов расселения населения:
1) городское и сельское
2) постоянное и временное
Жители населяют территория постоянно или временно (сезонно).
3) групповое и рассеянное
Групповое – дома жителей расположены рядом друг с другом, образуя компактные поселения, а рассеянное – каждый расположен на своем земельном участке.
-
системное и изолированное
Системное – взаимосвязанное расселение население.
Главным фактором формирования того или иного типа поселения является социально-экономический фактор, а именно уровень развития общества.
-
-
Формы ТОН
Исторически в РФ возникло несколько типов поселений:
-
город
-
посад
-
слобода
-
погост
-
село
-
сельцо
-
деревня
-
займище
-
аул
-
станица
В настоящее время ФЗ №131 (Об общих принципах местного самоуправления в РФ) определяет следующие виды населенных пунктов в России:
а) городской округ (городское поселение, которое не входит в состав муниципального района и органы местного самоуправления которого осуществляют полномочия по решению установленных настоящим Федеральным законом вопросов местного значения поселения и вопросов местного значения муниципального района, а также могут осуществлять отдельные государственные полномочия, передаваемые органам местного самоуправления федеральными законами и законами субъектов Российской Федерации)
б) городское поселение (город или поселок, в которых местное самоуправление осуществляется населением непосредственно и (или) через выборные и иные органы местного самоуправления)
в) сельское поселение (один или несколько объединенных общей территорией сельских населенных пунктов (поселков, сел, станиц, деревень, хуторов, кишлаков, аулов и других сельских населенных пунктов), в которых местное самоуправление осуществляется населением непосредственно и (или) через выборные и иные органы местного самоуправления)
г) город федерального значения
Отличие их от других субъектов заключается в особой форме организации местного самоуправления. Внутри городов федерального значения образованы внутригородские муниципальные образования (в Москве таких муниципальных образований 125, в Санкт-Петербурге 111). В целях сохранения единства городского хозяйства часть полномочий, закрепленных законом за органами местного самоуправления, сохраняется за органами государственной власти субъекта федерации.
Критерии подразделения поселений:
1. Преобладающая экономическая функция поселения. При этом главной отраслью в сельских населенных пунктах, как правило, является сельское хозяйство, а в городских – несельскохозяйственные отрасли экономики.
2. Размер поселения, т.е. количество жителей в нем, – городские поселения обычно крупнее сельских.
3. Административное значение – если оно есть, то поселение считается городским.
Характеристики
Тип файла документ
Документы такого типа открываются такими программами, как Microsoft Office Word на компьютерах Windows, Apple Pages на компьютерах Mac, Open Office - бесплатная альтернатива на различных платформах, в том числе Linux. Наиболее простым и современным решением будут Google документы, так как открываются онлайн без скачивания прямо в браузере на любой платформе. Существуют российские качественные аналоги, например от Яндекса.
Будьте внимательны на мобильных устройствах, так как там используются упрощённый функционал даже в официальном приложении от Microsoft, поэтому для просмотра скачивайте PDF-версию. А если нужно редактировать файл, то используйте оригинальный файл.
Файлы такого типа обычно разбиты на страницы, а текст может быть форматированным (жирный, курсив, выбор шрифта, таблицы и т.п.), а также в него можно добавлять изображения. Формат идеально подходит для рефератов, докладов и РПЗ курсовых проектов, которые необходимо распечатать. Кстати перед печатью также сохраняйте файл в PDF, так как принтер может начудить со шрифтами.
















