11554 (567557)
Текст из файла
Задание 1. Перечислите основные компоненты естествознания как системы естественных наук. Дайте их краткую характеристику.
Естествознание — область науки, изучающая совокупность естественных наук, взятая как целое.
Естествознание появилось более 3000 лет назад. Тогда не было разделения на физику, биологию, географию. Науками занимались философы. С развитием торговли и мореплавания началось развитие географии, а с развитием техники — развитие физики, химии.
Подразделения
-
Астрономия - наука о расположении, строении, свойствах, происхождении и развитии небесных тел и их систем, вплоть до Вселенной в целом.
-
Биология - наука о жизни, одна из естественных наук, предметом которой являются живые существа и их взаимодействие с окружающей средой.
-
Биофизика раздел физики и современной биологии, изучающий физические аспекты существования живой природы на всех её уровнях, начиная от молекул и клеток и заканчивая биосферой в целом.
-
Биохимия - наука о химическом составе живых клеток и организмов и о химических процессах, лежащих в основе их жизнедеятельности.
-
Генетика - наука о законах и механизмах наследственности и изменчивости.
-
География - единый комплекс наук, изучающих географическую оболочку Земли и акцентирующихся на выявлении пространственно-временных закономерностей.
-
Геология — комплекс наук о составе, строении, истории развития земной коры и размещении в ней полезных ископаемых.
-
Радиобиология — это самостоятельная комплексная, фундаментальная наука, состоящая из многих научных направлений, изучающая действие ионизирующих и неионизирующих излучений на биологические объекты.
-
Радиохимия, изучает химию радиоактивных веществ, законы их физико-химического поведения, химию ядерных превращений и сопутствующие им физико-химические процессы.
-
Физическая химия - наука об общих законах, определяющих строение и химические превращения веществ при различных внешних условиях.
-
Химия - одна из важнейших и обширных областей естествознания, наука о веществах, их свойствах, строении и превращениях, происходящих в результате химических реакций.
Задание 2. Охарактеризуйте александрийский период развития науки.
Естествознание в эллинистическую эпоху стало переходить из сферы отвлеченного, философского размышления о природе в сферу конкретных фактов и явлений (произошла систематизация накопленных знаний). В эту эпоху греческая математика, механика и астрономия наряду с другими отраслями знаний достигли своего наивысшего развития. Греческая наука перешла от рассмотрения мира в целом к дифференцированному знанию, из единой науки выделились и развились отдельные науки естественные и гуманитарные.
Почти каждый ученый эллинистической эпохи был связан с Александрией если не личным контактом, то научной перепиской. В Александрии жили и работали крупные ученые: геометр Евклид, географ и математик Эратосфен, астрономы Конон, Аристарх Самосский и позже Клавдий Птолемей. С Александрией были связаны математик Аполлоний Пергский, астроном Гиппарх и Архимед. Особую роль в эллинистическую эпоху сыграли Евклид и Архимед.
Среди четырех дисциплин, изучаемых в Мусейоне (Александрийский музей): литературы, математики, астрономии и медицины, - математика занимала особое место. В течение первого периода своего существования математическая школа отличалась интенсивной и блестящей деятельностью. Она началась с систематизации знаний, накопленных в классическую эпоху, - Евклид разработал начала геометрии, а Аполлоний создал общую теорию конических сечений.
Александрийские ученые получили широкую известность своими исследованиями по математике, астрономии, географии и физике. И хотя биология не принадлежала к числу популярных в Александрии наук, однако, и в ней можно найти, по крайней мере, два славных имени: это Герофил (расцвет его деятельности относится к 300-м годам до н.э.) и его ученик Эразистрат (250-е годы до н.э.).
На развитии биологии сказывался еще и тот немаловажный факт, что жизнь - живая природа в отличие от неживого мира - считалась священной. Анатомирование человеческого тела многим представлялось абсолютно недопустимым. Поэтому вскоре им и вовсе прекратили заниматься - вначале из-за морального осуждения, а затем под страхом нарушения законов.
Задание 3. Укажите основные законы механики Ньютона.
Первый закон Ньютона
Инерциальной называется та система отсчёта, относительно которой любая, изолированная от внешних воздействий, материальная точка сохраняет состояние равномерного прямолинейного движения.
Первый закон Ньютона гласит: инерциальные системы отсчёта существуют.
По сути, этот закон постулирует инерцию тел. Это может казаться очевидным сейчас, но это не было очевидно на заре исследований природы. Так, например, Аристотель утверждал, что причиной всякого движения является сила, т. е. у него не было движения по инерции.
Второй закон Ньютона — дифференциальный закон движения, описывающий взаимосвязь между приложенной к материальной точке силой и её ускорением. Один из трёх законов Ньютона.
Второй закон Ньютона утверждает, что в инерциальной системе отсчета (ИСО) ускорение, которое получает материальная точка, прямо пропорционально приложенной силе и обратно пропорционально массе.
Третий закон Ньютона объясняет, что происходит с двумя взаимодействующими телами. Возьмём для примера замкнутую систему, состоящую из двух тел. Первое тело может действовать на второе с некоторой силой F12, а второе — на первое с силой F21. Как соотносятся силы? Третий закон Ньютона утверждает: сила действия равна по модулю и противоположна по направлению силе противодействия. Подчеркнём, что эти силы приложены к разным телам, а потому вовсе не компенсируются.
Сам закон: тела действуют друг на друга с силами, направленными вдоль одной и той же прямой, равными по модулю и противоположными по направлению:
.
Задание 4. Укажите основные этапы создания учения об электромагнетизме.
Как и электричество, магнетизм в природе обнаружили древние греки. Примерно к 600 г. до н. э. им были известны свойства магнитного железняка (оксида железа); как обнаружилось, его куски могут действовать друг на друга на расстоянии. Примерно через 500 лет китайцы открыли поразительную способность магнитного железняка определенным образом ориентироваться в пространстве и создали первый примитивный компас. Правда, вначале его использование ограничивалось мистическими действами, и лишь через несколько столетий компас стал навигационным прибором.
В средние века открытое Фалесом странное явление тщательно изучал придворный медик английской королевы Елизаветы I Уильям Гильберт, который обнаружил, что способность электризоваться, присуща и многим другим веществам.
Дальнейшие исследования, проведенные в Англии и других странах Европы, показали, что некоторые вещества ведут себя как изоляторы. Французский ученый Шарль Дюфе установил, что существуют две разновидности электрических зарядов; теперь мы называем их положительными и отрицательными.
В XVIII—XIX вв. природа электричества частично прояснилась после экспериментов Бенджамина Франклина и Майкла Фарадея. Выяснилось, что электрические заряды одного знака отталкиваются, а заряды противоположных знаков притягиваются, и в том и другом случае электрические силы ослабевают с расстоянием в соответствии с законом “обратных квадратов”, который Ньютон вывел ранее для гравитации.
Решающий шаг в познании электромагнетизма сделал в 50-х годах XIX в. Джеймс Клерк Максвелл, объединивший электричество и магнетизм в единой системе уравнений теории электромагнетизма — первой единой теории поля — невидимого воздействия, создаваемого материей, простирающегося далеко в пространство и способного влиять на электрически заряженные частицы, электрические токи и магниты.
В 1864 году Дж. К. Максвелл опубликовал первые из основных уравнений «классической электродинамики», описывающие эволюцию электромагнитного поля и его взаимодействие с зарядами и токами.
Задание 5. Какие гипотезы и постулаты лежат в основе квантовой механики?
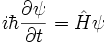
Основное уравнение квантовой механики — уравнение Шрёдингера, математический аппарат — теория матриц, теория групп, операторы, теория вероятностей.
История квантовой механики началась по существу с открытия в 1838 году катодных лучей Майклом Фарадеем. Дальнейшая формулировка в 1859 году задачи об излучении абсолютно чёрного тела Густавом Кирхгофом; предположения в 1877 году Людвигом Больцманом, о том, что энергетические состояния физической системы могут быть дискретными; формулировки в 1900 году квантовой гипотезы Максом Планком о том, что любая энергия поглощается или испускается только порциями, которые состоят из целого числа квантов с энергией ε таких, что эта энергия пропорциональна частоте ν с коэффициентом пропорциональности, определённым по формуле:
где h — постоянная Планка. Хотя Планк настаивал, что это предположение умозрительно и не относится к физической реальности энергии, в 1905 году для объяснения фотоэффекта Альберт Эйнштейн постулировал на основе квантовой гипотезы Планка, что свет сам по себе состоит из квантов, которые впоследствии назвали фотонами (1926 год). От простого постулирования Эйнштейна родился шквал обсуждений, теоретических работ и экспериментов, из которых возникла новая область физики: квантовая физика.
Математический аппарат нерелятивистской квантовой механики строится на следующих положениях:
-
Состояния системы описываются ненулевыми векторами ψ комплексного сепарабельного гильбертова пространства H, причем векторы ψ1 и ψ2 описывают одно и то же состояние тогда и только тогда, когда ψ2 = cψ1, где c — произвольное комплексное число. Каждой наблюдаемой однозначно сопоставляется линейный эрмитов оператор.
-
Наблюдаемые одновременно измеримы тогда и только тогда, когда соответствующие им эрмитовы операторы коммутируют.
-
Эволюция системы определяется уравнением Шредингера
где
— гамильтониан. -
Каждому вектору
из пространства H отвечает некоторое состояние системы, любой линейный эрмитов оператор соответствует некоторой наблюдаемой.
Эти положения позволяют создать математический аппарат, пригодный для описания широкого спектра задач в квантовой механике.
Задание 6. Укажите основные стехиометрические законы.
В химии используются следующие стехиометрические законы: закон сохранения массы, закон постоянства состава вещества, закон эквивалентов, закон кратных отношений.
Закон сохранения массы. Масса веществ, вступивших в химическую реакцию, равна массе веществ, образующихся в результате реакции.
Закон постоянства состава. Всякое химически чистое соединение независимо от способа его получения имеет вполне определенный состав.
C + O2 = CO2
CO + 1/2O2 = CO2
Закон эквивалентов. Химические элементы соединяются друг с другом в строго определенных количествах, соответствующих их эквивалентам.
Закон кратных отношений. Если два элемента образуют друг с другом несколько химических соединений, то на одну и ту же массу одного из них приходятся такие массы другого, которые относятся между собой как простые целые числа.
Задание 7. В чём заключается явление катализа?
Катализ (от греч. κατάλυσις, восходит к καταλύειν — разрушение) — явление изменения скорости химической или биохимической реакции в присутствии веществ, количество и состояние которых в ходе реакции не изменяются (катализаторов).
Термин «катализ» был введён в 1835 году шведским учёным Йёнсом Якобом Берцелиусом.
Явление катализа распространено в природе (большинство процессов, происходящих в живых организмах, являются каталитическими) и широко используется в технике (в нефтепереработке и нефтехимии, в производстве серной кислоты, аммиака, азотной кислоты и др.). Большая часть всех промышленных реакций — это каталитические.
Основные принципы катализа
Катализатор изменяет механизм реакции на энергетически более выгодный, то есть снижает энергию активации. Катализатор образует с молекулой одного из реагентов промежуточное соединение, в котором ослаблены химические связи. Это облегчает его реакцию со вторым реагентом. Важно отметить, что катализаторы ускоряют обратимые реакции, как в прямом, так и в обратном направлениях.
Характеристики
Тип файла документ
Документы такого типа открываются такими программами, как Microsoft Office Word на компьютерах Windows, Apple Pages на компьютерах Mac, Open Office - бесплатная альтернатива на различных платформах, в том числе Linux. Наиболее простым и современным решением будут Google документы, так как открываются онлайн без скачивания прямо в браузере на любой платформе. Существуют российские качественные аналоги, например от Яндекса.
Будьте внимательны на мобильных устройствах, так как там используются упрощённый функционал даже в официальном приложении от Microsoft, поэтому для просмотра скачивайте PDF-версию. А если нужно редактировать файл, то используйте оригинальный файл.
Файлы такого типа обычно разбиты на страницы, а текст может быть форматированным (жирный, курсив, выбор шрифта, таблицы и т.п.), а также в него можно добавлять изображения. Формат идеально подходит для рефератов, докладов и РПЗ курсовых проектов, которые необходимо распечатать. Кстати перед печатью также сохраняйте файл в PDF, так как принтер может начудить со шрифтами.
















