10377 (567381)
Текст из файла
Содержание
1. Предмет, задачи и методы физиологии растений
15. Нуклеиновые кислоты, их структура. Функциональные группы нуклеиновых кислот.
31. Понятие об осмотическом давлении. Осмотическое давление разных клеток и тканей растения.
57. Роль пигментов в жизни растений
68. Биосинтез углеводов, ферменты углеводного обмена. Различия между ассимиляционным и запасным крахмалом.
85. Дыхание как совокупность последовательных окислительно-восстановительных процессов
96. Структура АТФ, ее синтез. Роль АТФ в обмене веществ.
Список литературы
1. Предмет, задачи и методы физиологии растений
Физиология растений — наука, которая изучает процессы жизнедеятельности и функции растительного организма. Слово «физиология» греческого происхождения; оно состоит из двух слов: physis — природа и logos — понятие, учение. Физиология растений является наиболее развитой отраслью экспериментальной ботаники, которая в XIX в. выделилась в самостоятельную науку. Она тесно связана с химией, физикой, биохимией, биофизикой, микробиологией, молекулярной биологией.
Перед научными работниками, физиологами растений поставлены такие задачи: изучить обмен веществ и энергии в растительном организме, фотосинтез, хемосинтез, биологическую фиксацию азота из атмосферы и корневое питание растений; разработать методы повышения использования растениями солнечной энергии и питательных веществ почвы, обогащения почвы азотом; создать новые, более эффективные формы удобрений и разработать методы их применения; исследовать действие биологически активных веществ с целью использования их в растениеводстве; разработать методы более продуктивного использования воды растением. Без решения этих вопросов невозможно решение и ряда других проблем земледелия и растениеводства, направленных на повышение урожайности.
Интенсивное применение минеральных удобрений, гербицидов, физиологически активных веществ, химических препаратов для защиты растений от болезней и вредителей требует глубокого и всестороннего изучения их влияния на рост и обмен веществ растительных организмов с целью значительного повышения продуктивности сельскохозяйственных растений.
Решение поставленных задач имеет большое значение для разработки проблем ускорения научно-технического прогресса в растениеводстве и дальнейшего развития сельского хозяйства нашей страны.
Основной метод познания процессов, явлений в физиологии — эксперимент, опыт. Следовательно, физиология растений — наука экспериментальная.
Для изучений физико-химической сути функций, процессов в физиологии растений широко применяют методы: лабораторно-аналитический, вегетационный, полевой, меченых атомов, электронной микроскопии, электрофореза, хроматографического анализа, ультрафиолетовой и люминесцентной микроскопии, спектрофотометрии и др. Кроме того, используют фитотроны и лаборатории искусственного климата, в которых выращивают растения и проводят опыты в условиях определенного состава воздуха, нужной температуры и освещения. Применяя эти методы, физиологи исследуют растения на молекулярном, субклеточном, клеточном и организменном (интактное растение) уровнях.
Сейчас в биологических исследованиях широко применяют электронные микроскопы просвечивающего типа с разрешающей способностью 0,15—0,5 нм, в которых объект рассматривают в электронных лучах, проходящих через него. Значительное увеличение разрешающей способности электронных микроскопов по сравнению со световыми обусловливается меньшей длиной волны электронов (на пять порядков меньшей, чем длина волны ультрафиолетовых лучей).
Кроме того, для биологических исследований применяют так называемые растровые электронные микроскопы, в которых изображение создается по принципу телевизионных. Разрешающая способность растровых микроскопов равна 20—40 нм, с их помощью изучают строение поверхности пыльцы, эпидермального слоя клеток, формы клеток и др. Применение электронной микроскопии в биологии имеет большое значение для развития биологической науки и физиологии растений в частности.
Исследование ультраструктуры органоидов растительной клетки (хлоропластов, митохондрий, рибосом, мембранных структур) дало возможность раскрыть суть процессов фотосинтеза и дыхания, которые определяют возможность самой жизни на нашей планете. Изучение строения клеточных оболочек, открытие цитоплазматических мембранных структур способствовали выяснению процессов обмена веществ и энергии в клетке, изучению структуры и функции органоидов растительной клетки. Большое принципиальное значение имеет электронно-микроскопическое исследование строения РНК и ДНК, локализации их на структурных компонентах клетки. Результаты этих исследований легли в основу раскрытия генетической роли ядра и проблемы наследственности.
15. Нуклеиновые кислоты, их структура. Функциональные группы нуклеиновых кислот
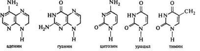
Нуклеиновые кислоты (НК) представляют собой гетерополимеры, мономерами которых являются нуклеотиды. Нуклеотид состоит из азотистого основания, связанного с ним пятиуглеродного сахара и остатка ортофосфорной кислоты (Р). В НК присутствуют азотистые основания двух типов — производные пурина (пуриновые) и производные пиримидина (пиримидиновые). К пуриновым основаниям относятся аденин (А), гуанин (Г), к пиримидиновым — цитозин (Ц), урацил (У) и тимин (Т).
Каждый нуклеотид получает название по входящему в него азотистому основанию, например адениловая кислота (или аденозинмонофосфат — АМФ): аденин — рибоза — Р.
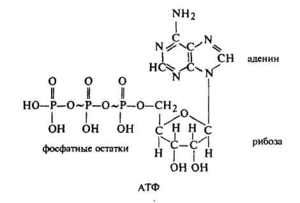
АМФ может фосфорилироваться с образованием аденозиндифосфата — АДФ (аденин—рибоза—Р ~ Р); фосфорилирование последнего приводит к образованию аденозинтрифосфата (АТФ):
При гидролитическом отщеплении остатка фосфорной кислоты от АМФ высвобождается 12,6 кДж, гидролиз же второй или третьей фосфатной связи в АТФ дает около 33,6 кДж. Универсальным энергетическим аккумулятором в клетке является АТФ. Присоединение остатка фосфорной кислоты к АДФ с использованием энергии окисления (при дыхании) или света (при фотосинтезе) представляет «зарядку». Отщепление фосфата от АТФ с образованием АДФ сопровождается выходом энергии — «разрядка»:
АДФ + Фнеорг + энергия →АТФ + Н2О — «зарядка»;
АТФ + Н2О → АДФ + Фнеорг + энергия — «разрядка».
Энергия макроэргической связи АТФ расходуется в клетке на самые разные виды работ.
Не только АТФ, но и другие трифосфатнуклеотиды (ГТФ, ЦТФ, УТФ, ТТФ) являются макроэргическими соединениями, способными при гидролизе концевой фосфатной связи освобождать большое количество энергии.
При образовании НК нуклеотиды соединяются друг с другом с помощью фосфорно-эфирной связи, возникающей между остатком фосфорной кислоты у пятого атома рибозы или дезоксирибозы и гидроксилом третьего атома сахара следующего нуклеотида:
Образующаяся полинуклеотидная цепочка имеет два конца — 5', где расположена несвязанная фосфатная группа, и 3', у которой находится свободная группа ОН при третьем атоме пентозы.
НК подразделяют на рибонуклеиновые (РНК) и дезоксирибо-нуклеиновые (ДНК). Их состав различен. В РНК входят нуклеотиды с А, Г, Ц, У, сахар — рибоза. ДНК содержит А, Г, Ц, Т, сахар — дезоксирибоза. Последовательность нуклеотидов определяет первичную структуру НК.
Как и белки, НК имеют сложную специфическую структуру, в основе которой лежит принцип комплементарности. Комплементарность проявляется в том, что азотистые основания взаимодействуют друг с другом посредством образования водородных связей строго попарно — А с Т или У, а Г с Ц. Между комплементарными основаниями возникают две или три водородные связи (…..):
Трехмерная структура ядерной ДНК представляет собой двойную спираль: две правозакрученные спирали переплетены друг с другом, при этом 3' — конец одной из них соответствует 5' — концу другой. Структура двойной спирали стабилизируется водородными связями между комплементарными нуклеотидами. Молекула ДНК хлоропластов и митохондрий (как и ДНК прокариот) замкнута в кольцо.
В интерфазе клеточного деления ДНК входит в состав особого ядерного вещества — хроматина, в котором также присутствуют белки — основные (гистоны) и неосновные, а также небольшое количество РНК и липидов. Основой структуры хроматина являются нуклеосомы, которые представляют собой белковые диски из 8 молекул гистонов, по окружности которых намотана часть ДНК (140 пар оснований). Нуклеосомы соединяются участками ДНК (линкерами), состоящими приблизительно из 60 нуклеотидных пар. Нуклеосомная укладка ДНК способствует ее компактизации, степень которой увеличивается в митотическом ядре. В период митоза хроматин формирует хромосомы, число и форма которых являются важнейшим критерием вида. При образовании хромосомы 8—10 нуклеосом объединяются в виде глобул. В дальнейшем уплотненная таким образом структура образует петли. Сближаясь между собой, они формируют толстые (0,1—0,2 мкм) хромосомные нити (хромонемы), которые, в свою очередь, образуют видимые в микроскоп хромосомы. Все это обеспечивает концентрацию в небольшом ядре Огромного количества наследственной информации, а также облегчает абсолютно точное ее распределение между дочерними клетками. Структура молекул РНК достаточно разнообразна, что связано с многообразием их функций. Так, матричная (информационная) РНК представляет собой одинарную спираль, для транспортной РНК характерно сочетание одинарных и спаренных участков, рибосомальная РНК имеет более сложную структуру.
31. Понятие об осмотическом давлении. Осмотическое давление разных клеток и тканей растения
Когда раствор отделен от воды полупроницаемой мембраной, которая пропускает только растворитель и непроницаема для растворенных веществ, возникает односторонний ток воды по градиенту ее активности в направлении раствора. Этот процесс называется осмосом, а дополнительное давление, которое должно быть приложено к раствору, чтобы воспрепятствовать одностороннему току воды, — осмотическим давлением.
Таким образом, осмотический потенциал раствора, отделенного полупроницаемой мембраной от чистого растворителя, реализуется в равном по величине и обратном по знаку осмотическом давлении. Растворы с одинаковым давлением называются изотоническими, между ними нет направленного водообмена. Раствор, имеющий большее осмотическое давление, называется гипертоническим, меньшее — гипотоническим. При разделении полупроницаемой мембраной транспорт воды идет по направлению к гипертоническому раствору.
Клетка, а также все органеллы, окруженные мембранами (хлоропласты, митохондрии и др.), представляют собой осмотические системы. Поскольку мембраны обладают избирательной проницаемостью и вода проходит через них значительно легче, чем растворенные вещества, допускают, что мембраны полупроницаемы, т. е. проницаемы только для воды. Всю цитоплазму обычно рассматривают как единый полупроницаемый барьер.
В зрелых растительных клетках главным «осмотическим пространством» является вакуоль. Именно клеточный сок, содержащий растворенные в воде различные соли, сахара, органические кислоты, аминокислоты и другие соединения, представляет собой осмотический актив клетки. Суммарная концентрация растворенных веществ в клеточном соке варьирует от 0,2 до 0,8 М. Осмотический потенциал клеточного сока измеряется сотнями и достигает тысяч кПа.
В проводящих элементах стебля и корня, как правило, отрицательная величина осмотического потенциала очень низка. В листьях осмотический потенциал колеблется от 10 до 18 бар.
Осмотический потенциал различен у разных жизненных форм. У древесных пород он более отрицателен, чем у кустарников, а у кустарников более отрицателен, чем у травянистой растительности. У светолюбивых растений осмотический потенциал более отрицателен, чем у тенелюбивых.
57. Роль пигментов в жизни растений
Хлорофиллы
Важную роль в процессе фотосинтеза играет зеленый пигмент — хлорофилл. Французские ученые Пелетье и Кавенту (1818) выделили из листьев зеленое вещество и назвали его хлорофиллом (от греч. «хлорос» — зеленый и «филлон» — лист).
У всех высших зеленых растений содержатся хлорофиллы а и б. Хлорофилл с содержится в диатомовых водорослях, хлорофилл д— в красных. Известны четыре бактериохлорофилла (а, б, с, д), содержащиеся в клетках фотосинтезирующих бактерий.
Характеристики
Тип файла документ
Документы такого типа открываются такими программами, как Microsoft Office Word на компьютерах Windows, Apple Pages на компьютерах Mac, Open Office - бесплатная альтернатива на различных платформах, в том числе Linux. Наиболее простым и современным решением будут Google документы, так как открываются онлайн без скачивания прямо в браузере на любой платформе. Существуют российские качественные аналоги, например от Яндекса.
Будьте внимательны на мобильных устройствах, так как там используются упрощённый функционал даже в официальном приложении от Microsoft, поэтому для просмотра скачивайте PDF-версию. А если нужно редактировать файл, то используйте оригинальный файл.
Файлы такого типа обычно разбиты на страницы, а текст может быть форматированным (жирный, курсив, выбор шрифта, таблицы и т.п.), а также в него можно добавлять изображения. Формат идеально подходит для рефератов, докладов и РПЗ курсовых проектов, которые необходимо распечатать. Кстати перед печатью также сохраняйте файл в PDF, так как принтер может начудить со шрифтами.















