10377 (567381), страница 2
Текст из файла (страница 2)
Основными пигментами, без которых фотосинтез не идет, являются хлорофилл а для зеленых растений и бактериохлорофилл для бактерий.
У низших растений и некоторых голосеменных (у хвойных) хлорофилл может образовываться в темноте. Почти у всех видов хвойных при прорастании семян в темноте семядоли зеленеют. По мере роста проростков в темноте образовавшийся хлорофилл разрушается, и на 35—40-й день проростки при отсутствии света погибают. Проростки хвойных, выращенные из изолированных зародышей в темноте, хлорофилла не образуют, однако достаточно присутствия даже небольшого эндосперма, чтобы проростки начали зеленеть.
Фикобилины
Сине-зеленые водоросли (цианобактерии), красные морские водоросли и некоторые морские криптомонады помимо хлорофилла а и каротиноидов содержат пигменты фикобилины. Наиболее известные представители фикобилинов — фикоэритробилины и фикоцианобилины. Первые преобладают у красных водорослей, вторые — у сине-зеленых.
Значение фикобилинов — поглощать лучи определенного участка спектра. Максимумы поглощения света у фикобилинов находятся между двумя максимумами поглощения у хлорофилла: в оранжевой, желтой и зеленой частях спектра. Значение такого распределения максимумов поглощения становится понятным, если вспомнить оптические свойства воды, которая поглощает прежде всего длинноволновые лучи. На глубине 34 м в морях и океанах полностью исчезают красные лучи, на глубине 177 м — желтые, на глубине 322 м — зеленые и, наконец, на глубине свыше 500 м не проникают даже синие и фиолетовые лучи. В связи с этим изменением качественного состава света в верхних слоях морей и океанов обитают преимущественно зеленые водоросли, глубже сине-зеленые и еще глубже водоросли с красной окраской. Такое явление В. Т. Энгельман назвал хроматической комплементарной адаптацией водорослей.
У водорослей фикобилины — дополнительные пигменты, выполняющие вместо хлорофилла б функции светособирающего комплекса. Около 90% энергии света, поглощенного фикобилинами, передается на хлорофилл а. Кроме фикобилинов, участвующих в фотосинтезе у водорослей, у всех растений имеется другой фикобилин — фитохром, являющийся фиторецептором для восприятия красного и дальнего красного света и выполняющий регуляторные функции.
Каротиноиды
Это большая группа пигментов желтого, оранжевого и красного цвета. Каротиноиды широко распространены в природе: их обнаружено больше трехсот. Однако в фотосинтезе участвуют лишь некоторые из них.
Поглощение света каротиноидами, а следовательно, их окраска обусловлены наличием конъюгированных двойных связей. β-каротин имеет два максимума поглощения, соответствующие длинам волн 482 и 452 нм. Красные лучи, поглощаемые хлорофиллами, каротиноидами не поглощаются. Каротиноиды в отличие их от хлорофилла не обладают способностью к флюоресценции. Подобно хлорофиллу, каротиноиды в хлоропластах вступают во взаимодействие с белками.
Каротиноиды принимают участие в процессе фотосинтеза, но их роль вспомогательная. Они поглощают определенные участки спектра света и передают энергию на хлорофилл, одновременно защищая молекулу хлорофилла от необратимого фотоокисления. Возможно, каротиноиды принимают участие в кислородном обмене при фотосинтезе. У высших растений, мхов, зеленых и бурых водорослей осуществляется светозависимое взаимопревращение ксантофиллов. Примером может служить виолаксантиновый цикл.
Значение виолаксантинового цикла остается невыясненным. Возможно, он служит для устранения излишков кислорода.
Производные каротиноидов — витамин А, ксантоксин, действующий подобно АБК. Хромопротеин родопсин, обнаруженный у некоторых галофитных бактерий, поглощая свет, функционирует в качестве Н+-помпы. Хромофорной группой бактериородопсина является ретиональ-альдегидная форма витамина А.
68. Биосинтез углеводов, ферменты углеводного обмена. Различия между ассимиляционным и запасным крахмалом
В растениях в процессе фотосинтеза образуются не только фосфорные эфиры сахаров или простые сахара, но и более сложные формы углеводов — сахароза, крахмал, клетчатка. Распад сложных форм углеводов до простых протекает тоже очень быстро. Это наблюдается, например, при прорастании семян, старении вегетативных органов и др. Образующиеся при распаде простые сахара или их фосфорные эфиры оттекают в репродуктивные органы, где из них вновь синтезируются сложные углеводы. И, наконец, в растениях очень легко идут процессы взаимных превращений углеводов.
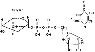
Взаимопревращение моносахаридов проходит через фосфорные эфиры сахаров или их уридиндифосфатпроизводные (УДФ-производные). УДФ-производные сахаров представляют собой тот или иной сахар, соединенный через два остатка фосфорной кислоты с уридином, например:
Уридиндифосфатглюкоза
Примеры взаимных превращений сахаров могут быть представлены в виде следующей схемы.
Схема взаимопревращений сахаров
| Фруктоза | Глюкоза | |||
| ↑↓ | ↑ | ДФ-глюкоза | ||
| фруктозо-6-фосфат | глюкозо-6-фосфат | |||
| ↑↓ | ↑ | |||
| маннозо-6-фосфат | глюкозо-1-фосфат | АДФ-глюкоза | ||
| ↑↓ | ↑↓ | |||
| манноза | УДФ-глюкоза | ↔ | УДФ-глюкоза | |
| ↓ | ||||
| глюкуронат-1 -фосфат | ↔ | УДФ-глюкуроновая | ↔ | УДФ-галактуро- новая кислота |
| кислота | ||||
| ↓ | ↓ | ↓ | ||
| глюкуроновая кислота | УДФ-ксилоза | галактуронат-1- | ||
| ↓ | ↓ | фосфат | ||
| гулоновая кислота | УДФ-арабиноза | ↓ | ||
| ↓ | ↓ | галактуроновая | ||
| гулонолактон | арабинозо-1 -фосфат | кислота | ||
| ↓ | ↓ | |||
| аскорбиновая кислота | арабиноза | |||
Синтез сахарозы. Сахароза наиболее распространенный дисахарид. В растениях он образуется из глюкозы и фруктозы. На первом этапе идетфосфорилирование глюкозы:
Глюкоза + АТФ → глюкоза-6-фосфат + АДФ,
затем глюкозо-6-фосфат изолируется в глюкозо-1-фосфат. Глюкозо-1-фосфат соединяется с УТФ, в результате чего отщепляется пирофосфатная кислота и образуется соединение глюкозы с уридиндифосфорной кислотой (УДФ) — уридиндифосфатглюкоза.
Одновременно идет фосфорилирование фруктозы под действием фермента фруктокиназы с участием АТФ:
фруктоза + АТФ → фруктозо-6-фосфат + АДФ.
После этого происходит взаимодействие УДФ-глюкозы с фруктозо-6-фосфатом с участием фермента сахарозофосфат-УДФ-глюкозилтрансферазы. Наконец, образовавшийся сахарозо-6-фосфат под действием фермента фосфатазы гидролизуется с образованием свободной сахарозы.
Таким образом, для биосинтеза одной молекулы сахарозы необходимы 3 макроэргические фосфатные связи, эта реакция необратима.
В нефотосинтезирующих тканях некоторых растений, например, в корнеплодах сахарной свеклы, клубнях картофеля и других сахароза может образоваться из свободной фруктозы:
УДФ-глюкоза + фруктоза ↔ сахароза + УДФ.
Реакция катализируется ферментом сахарозо-УДФ-глюкозилтрансферазой и в зависимости от условий может быть направлена как в сторону синтеза, так и в сторону расщепления сахарозы.
Синтез крахмала. Крахмал состоит из амилозы, представляющей собой неразветвленную цепь остатков ос-глюкозы, соединенных α(1-4)-связями, и амилопектина — разветвленной молекулы, в которой наряду с α(1-4)- имеются и α(1-6)-связи. В строении этих двух сахаров, входящих в крахмал, имеются существенные различия, поэтому механизмы их биосинтеза различны.
Донором глюкозных остатков при биосинтезе амилозы может служить уридиндифосфатглюкоза-(УДФК). Для ее образования в реакционной среде необходимо наличие затравки, в качестве которой могут служить полисахариды, построенные всего лишь из 3—4 остатков глюкозы, соединенных α(1-4)-связями.
Остатки глюкозы переносятся на акцептор (затравку), где и происходит удлинение цепи. Реакция идет по схеме:
УДФГ + акцептор (Г)к —— УДФ + акцептор (Г)к + 1,
где Г — остатки глюкозы.
Фермент, катализирующий эту реакцию, называется УДФГ-крахмалглюкозилтрансферазой.
У большинства растений активным донором глюкозы является не УДФ-глюкоза, а аденозиндифосфатглкжозα(АДФГ). Реакция присоединения глюкозных остатков от АДФГ к низкомолекулярному акцептору идет аналогичным путем и катализируется ферментом АДФГ-крахмал-глюкозилтрансферазой.
Синтез разветвленной молекулы амилопектина, имеющей α (1-6)-связи, происходит при помощи фермента α-глюкантрансферазы (Q-фермент).
В синтезе крахмала участвуют и Д-фермент или глюкозилтрансфераза, образующий α(1-4)-связи и участвующий в образовании затравки.
Распад крахмала происходит при участии двух процессов - гидролиза и фосфоролиза.
Гидролитический распад крахмала осуществляется под действием четырех ферментов класса гидролиз α-амилаза, катализирует расщепление α(1-4)-связи, причем связи разрываются беспорядочно. Конечный продукт такого распада — мальтоза, глюкоза, декстрины. Под действием β-амилазы происходит расщепление α (1-4)-связей с образованием остатков мальтозы. Фермент глюкоамилазы катализирует последовательное отщепление остатков глюкозы от молекулы крахмала. Амилопектин-1,6-глюкозидаза или R-фермент катализирует расщепление α(1-6)-связей в молекуле амилопектина, т. е. действует на точки ветвления.
Фосфоролиз — это присоединение фосфорной кислоты по месту разрыва глюкозидной связи между остатками моносахаридов в цепи полисахарида, при этом происходит образование глюкозо-1-фосфата. Эта реакция катализируется ферментомаглюконфосфорилазой, относящимся к классу трансфераз. Крахмал в растении может подвергаться очень быстрому распаду, так как ферменты распада находятся во всех органах растения.
Синтез целлюлозы. Целлюлоза построена из остатков β-глюкозы. В биосинтезе целлюлозы принимает участие не свободная глюкоза, а ее ГДФ-производное — гуанозиндифосфатглюкоза при участии фермента целлюлозосинтетазы по схеме:
ГДФ — глюкоза + (глюкоза) к→ ГДФ + (глюкоза)к + 1
Распад целлюлозы идет преимущественно гидролитическим путем под действием фермента целлюлазы до дисахарида целлобиозы.
Транспорт углеводов осуществляется в виде сахарозы. В процессе фотосинтеза образуется много углеводов, и в этой связи большое значение имеет отток ассимилятов в другие части клетки из хлоропластов. Проникновение через мембрану хлоропластов фосфорилированных гексоз и сахарозы затруднено, наиболее легко через мембраны хлоропластов проникают триозофосфаты (ФГА и ФДА). Предполагается, что образующиеся сложные углеводы распадаются на триозофосфаты и в таком виде передвигаются в цитоплазму, где могут служить материалом для ресинтеза гексоз, сахарозы, крахмала.
Межклеточный паренхимный транспорт осуществляется двумя путями — по плазмодесмам (симпласту) или по свободному пространству (аппопласту). Сахароза, образовавшаяся в клетках мезофилла листа, десорбируется в аппопласт. Выходя из паренхимных клеток в аппопласт, сахароза расщепляется инвертазой на гексозы. Гексозы передвигаются по аппопласту к передаточным клеткам проводящих пучков по градиенту концентраций. При соприкосновении с передаточными клетками флоэмы они снова превращаются в сахарозу. Далее происходит загрузка ситовидных трубок, сахароза поступает против градиента концентраций, и требуется расход энергии (АТФ).
↓
↓














