183475 (566983), страница 4
Текст из файла (страница 4)
Вывод: так как DW = 0,568043736 < 1,50 = dL, то делаем вывод о наличии в ряде W положительной автокорреляции.
С помощью построения модели линейного тренда постараемся избавиться от автокорреляции.
Модель линейного тренда имеет вид:
Вычисляем статистику Дарбина – Уотсона для остатков по модели линейного тренда:
DW =
= 1,843115542
Из таблицы значений констант Дарбина – Уотсона dU и dL на 5% уровне значимости с двумя влияющими факторами при Т = 48 находим dL = 1,46; dU = 1,63.
Вывод: Так как DW = 1,843115542 > 1,63 = dU и DW = 1,843115542 < 4 – 1,63 = 2,37 = 4 – dU, то делаем вывод об отсутствии в ряде Ut автокорреляции.
Заключение: Модель линейного тренда позволяет избавиться от автокорреляции ряда Ut.
3 вопрос
Методика вычисления коэффициентов а, b и с регрессионной зависимости
.
Шаг 1. Предварительный анализ. Математическая модель строится на основе следующей логической модели:
| Зависимая переменная | Факторы |
| W | X, Y, Z |
Далее вычисляются средние значения исходных рядов.
Шаг 2. Строится ковариационная матрица L = L [X; Y; Z; W]
При вычислении элементов ковариационной матрицы схема выбора аргументов функции КОВАР определена формулой L = L [X; Y; Z; W] и имеет следующий вид:
| XX | XY | XZ | XW |
| YX | YY | YZ | YW |
| ZX | ZY | ZZ | ZW |
| WX | WY | WZ | WW |
Шаг 3. Вычисление обратной матрицы. Она размещается на площадке того же размера, что и ковариационная матрица.
Элементы обратной матрицы имеют следующие обозначения:
| Л11 | Л12 | Л13 | Л14 |
| Л21 | Л22 | Л23 | Л24 |
| Л31 | Л32 | Л33 | Л34 |
| Л41 | Л42 | Л43 | Л44 |
Засвечивается площадка, на которой будет размещена обратная матрица, и которая будет совпадать по размеру с ковариационной матрицей. Вызывается функция МОБР. В качестве параметра Арг указывается адрес ковариационной матрицы. Одновременным нажатием трех клавиш: CTRL + SHIFT + ENTER дается команда на одновременное вычисление всех элементов обратной матрицы Л.
Шаг 4. Вычисление коэффициентов а, b и с регрессионной зависимости
.
Поскольку в заданной логической модели зависимой переменной является четвертый столбец (W), то коэффициенты а, b и с будут вычисляться по формулам:
a = -Л41/Л44 b = -Л42/Л44 с = -Л43/Л44
В моей работе коэффициенты:
a = – 726,022045 b = 2,846786592 с = 3,902613829
| Оцененный ряд |
| 799,1173637 |
| 945,4437967 |
| 1117,269068 |
| 967,2375038 |
| 916,6366705 |
| 935,1461501 |
| 1034,137686 |
| 1000,812456 |
| 1063,429954 |
| 1093,216886 |
| 1131,615033 |
| 1083,099645 |
| 1039,806389 |
| 1478,055819 |
| 1124,567706 |
| 1210,913219 |
| 1204,401395 |
| 1270,489403 |
| 1415,606965 |
| 1474,617739 |
| 2051,821526 |
| 1593,127141 |
| 1658,542161 |
| 1889,406138 |
| 1850,150248 |
| 2231,813541 |
| 1888,600979 |
| 2012,07483 |
| 2086,469922 |
| 2246,531592 |
| 2363,432552 |
| 2443,143732 |
| 2535,482062 |
| 2652,51183 |
| 2879,974844 |
| 3081,540325 |
| 3160,286872 |
| 3267,001668 |
| 3861,325656 |
| 3301,77932 |
| 3285,364063 |
| 3401,952718 |
| 3479,589956 |
| 3532,442981 |
| 3626,319715 |
| 3670,005424 |
| 3732,779683 |
| 3642,297672 |
| 2077,737292 |
4 вопрос
Теория оценки качества эконометрической модели заключается в четырех леммах (свойствах) регрессионных моделей, построенных с использованием МНК.
Лемма 1. (лемма об отсутствии смещения оцененных остатков)
Доказательство:
Лемма 2. (лемма о независимости факторов и оцененных остатков):
, если j < m
Доказательство:
По правилам перемножения матриц
в линейной алгебре величина
равна нулю, если j ≠ m.
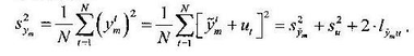
Лемма 3. (лемма о разложении дисперсии зависимой переменной):
Доказательство:
Далее, из леммы 2 следует, что
Лемма 4. (лемма о ковариации зависимой переменной и оцененных остатков)
Доказательство:
Далее, по лемме 2,
Следовательно,
.
Так же для оценки качества построенной регрессионной зависимости часто используется коэффициент детерминации
, который представляет собой объясненную долю дисперсии модели.
0 <
< 1.
Чем ближе коэффициент детерминации к единице, тем лучше считается построенная регрессионная зависимость.
в моей работе = 0,680976589.
5 вопрос
Методика вычисления доверительного интервала для коэффициента множественной регрессии.
Шаг 1. Вычисляются коэффициенты f и g первой вспомогательной зависимости
, которая строится по следующей логической модели: зависимая переменная – Х, факторы – Y; Z.
Строится ковариационная матрица L [Y; Z; X].
| YY | YZ | YX |
| ZY | ZZ | ZX |
| XY | XZ | XX |
По ней вычисляется обратная матрица, со стандартным обозначением элементов. В соответствии с заданной схемой построения ковариационной матрицы зависимой переменной является третий столбец (в порядке использования при вычислении ковариационной матрицы), следовательно, коэффициенты f и g вычисляются по третьей строке обратной матрицы:
f = -Л31/Л33 g = -Л32/Л33
Шаг 2. Вычисление оцененного ряда и остатков первой вспомогательной модели. Оцененный ряд вычисляется по формуле:
, остатки – по формуле:
Шаг 3. Вычисление коэффициентов m; n второй вспомогательной зависимости
, которая строится по следующей логической модели: зависимая переменная – W, факторы – Y; Z.
Строится ковариационная матрица L [Y; Z; W], при вычислении элементов которой аргументы функции КОВАР задаются по следующей схеме:
| YY | YZ | YW |
| ZY | ZZ | ZW |
| WY | WZ | WW |
По ней вычисляется обратная матрица со стандартным обозначением элементов. В соответствии с заданной схемой построения ковариационной матрицы зависимой переменной рассматриваемой логической модели является третий столбец (в порядке использования при вычислении ковариационной матрицы), следовательно, коэффициенты m; n вычисляются по третьей строке обратной матрицы.
m = -Л31/Л33 n = -Л32/Л33
Шаг 4. Вычисление оцененного ряда и остатков второй вспомогательной модели. Оцененный ряд вычисляется по формуле:
, остатки - по формуле:
.
Шаг 5. Вычисление t – статистики по остаткам вспомогательных зависимостей и границы критической области
(0,05; Т – 2)
После вычисляем границу критической области с помощью функции Стьюдента.
Шаг 6. Построение доверительного интервала [d1; d2] по формулам:
d1 =
; d2 =
Далее следует вывод, в котором оценивается зависимость ряда w от ряда х и признается либо значительной, либо незначительной.
В моей работе требовалось использовать данную методику для построения трех доверительных интервалов: для коэффициента a, для коэффициента b, и для коэффициента с.
Для коэффициента a:
| Остатки Ut для коэффициента а | Остатки Vt для коэффициента а |
| 0,01149 | -373,36131 |
| -0,06013 | -313,88489 |
| -0,09823 | -500,65379 |
| -0,08774 | -140,33282 |
| -0,02043 | -174,70249 |
| -0,02657 | -201,65287 |
| -0,13940 | -49,72967 |
| -0,05933 | -78,73631 |
| -0,06845 | -83,73499 |
| -0,05766 | 302,64743 |
| -0,06447 | 17,18988 |
| 0,02664 | 731,55961 |
| 0,12052 | -221,19665 |
| 0,04820 | -329,98551 |
| 0,12914 | 143,16744 |
| 0,12048 | 40,82041 |
| 0,13511 | 424,17334 |
| 0,09884 | -95,33570 |
| -0,00916 | -238,17639 |
| -0,01648 | 280,53353 |
| -0,12722 | -25,59792 |
| -0,01471 | 666,76066 |
| -0,00616 | 865,03808 |
| 0,02108 | -90,69097 |
| 0,06339 | -772,54325 |
| -0,00533 | 850,02447 |
| 0,05195 | 631,80160 |
| -0,00201 | 1238,44989 |
| 0,05056 | 32,35612 |
| -0,03110 | -406,36945 |
| -0,02473 | 91,30160 |
| 0,01528 | -300,96111 |
| 0,07173 | -1169,88938 |
| 0,10176 | -808,09808 |
| 0,07283 | -200,25117 |
| -0,00670 | 823,88454 |
| 0,10308 | -623,54830 |
| 0,06409 | -648,32138 |
| -0,08003 | 503,84878 |
| -0,00840 | -8,84112 |
| 0,03691 | 488,12670 |
| -0,07376 | -1566,35279 |
| -0,06725 | -298,82295 |
| -0,09803 | -1004,13310 |
| -0,06623 | 1305,43489 |
| -0,04350 | 2136,17145 |
| -0,04377 | -382,44987 |
| 0,06391 | -464,93619 |
Для коэффициента b:
| Остатки Ut для коэффициента b | Остатки Vt для коэффициента b |
| -23,47559 | -431,84736 |
| 26,95313 | -280,81400 |
| 80,74856 | -342,09514 |
| 22,15600 | -140,96409 |
| -9,90273 | -217,72764 |
| -11,55513 | -253,84115 |
| 30,52604 | -64,03657 |
| 0,08075 | -121,58258 |
| 3,66611 | -122,99332 |
| -1,19381 | 257,38458 |
| 7,98798 | -6,87496 |
| -27,11122 | 673,72051 |
| -65,41348 | -319,91460 |
| 73,11726 | -86,84057 |
| -63,01018 | 57,55076 |
| -55,37166 | -29,34051 |
| -73,45752 | 313,15071 |
| -63,30661 | -203,79782 |
| -23,63244 | -312,10249 |
| -22,00609 | 205,92063 |
| 162,53294 | 344,73506 |
| -20,78616 | 596,90809 |
| -21,89493 | 798,23264 |
| 42,82658 | 46,53499 |
| -15,18956 | -769,75868 |
| 104,44682 | 1143,49027 |
| -42,46293 | 548,63213 |
| -28,21046 | 1156,68200 |
| -45,13863 | -59,43497 |
| -22,92131 | -494,19868 |
| -25,33372 | 1,22374 |
| -25,53171 | -362,55005 |
| -32,00032 | -1208,91214 |
| -44,59080 | -861,16131 |
| 15,79210 | -102,42111 |
| 71,93404 | 1023,80054 |
| 64,16036 | -366,05602 |
| 63,41561 | -421,26096 |
| 223,53285 | 1082,09466 |
| -10,45185 | -44,69351 |
| -47,13174 | 380,75194 |
| -13,66517 | -1658,80454 |
| -22,95825 | -413,00718 |
| -17,20387 | -1124,27874 |
| -7,67160 | 1235,51087 |
| -24,15877 | 2035,81371 |
| -25,19031 | -485,93811 |
| -61,94858 | -594,88904 |
Для коэффициента с:
| Остатки Ut для коэффициента с | Остатки Vt для коэффициента с |
| -161,75633 | -996,28985 |
| -49,68961 | -551,46315 |
| -5,33501 | -592,78957 |
| 13,53108 | -151,23091 |
| -96,20156 | -564,97419 |
| -79,81521 | -532,43409 |
| 117,65294 | 308,21632 |
| -17,21113 | -188,98085 |
| 5,48894 | -112,00876 |
| -7,56409 | 231,26339 |
| 1,76847 | -22,71336 |
| -152,57175 | 155,47175 |
| -308,61077 | -1338,08505 |
| -246,85626 | -1258,37446 |
| -317,64491 | -1002,71812 |
| -296,93056 | -1030,51453 |
| -309,02026 | -683,71813 |
| -237,77974 | -951,53990 |
| -41,76454 | -407,81682 |
| -21,16191 | 185,98051 |
| 89,27625 | 230,44919 |
| -10,92489 | 613,44624 |
| -18,72071 | 787,50315 |
| -109,51511 | -502,77830 |
| -141,29142 | -1277,92309 |
| -74,91716 | 553,77971 |
| -85,87313 | 334,38535 |
| 24,13273 | 1331,17188 |
| -55,28190 | -146,67885 |
| 107,15555 | -10,75987 |
| 111,60315 | 508,88745 |
| 41,30287 | -128,67759 |
| -54,17733 | -1329,24725 |
| -87,13975 | -1074,29363 |
| -60,81987 | -384,73432 |
| 68,41568 | 1086,01965 |
| -134,92937 | -1075,28411 |
| -42,07840 | -766,00742 |
| 162,38522 | 1079,47115 |
| 182,77542 | 698,36254 |
| 126,35774 | 1008,05139 |
| 330,39252 | -330,50831 |
| 336,50046 | 965,58139 |
| 399,40754 | 483,43041 |
| 337,66108 | 2575,11109 |
| 314,02384 | 3330,10235 |
| 323,56685 | 848,52978 |
| 132,18434 | 97,32975 |
Коэффициенты
















