151933 (566950)
Текст из файла
Размещено на http://www.allbest.ru
ТЕОРЕТИЧЕСКАЯ ЧАСТЬ
Опыт и элементарная теория показывают, что показатель преломления газов зависят от плотности. При прочих неизменных условиях зависимость эта может быть представлена следующим выражением :
(1)
где р - плотность газа.
Так как n для газа отличается от 1 лишь в четвертом знаке после запятой, то приближенно можно положить :
(2)
Для газов ρ ~ Р, где Р - давление газа. Поэтому n-1 = k0P, где k0-некоторая константа. Было показано, что k0= 2πα/kТ (см. описание 17), где k - постоянная Больцмана, Т - температура, ά -поляризуемость молекулы.
Т. к. воздух есть смесь газов, то под поляризуемостью молекул понимают среднюю величину, определяемую соотношением :
Зная α, можно для различных условий (Т,р) вычислить показатель преломления.
Дифракция Фраунгофера на двух щелях
Измерение показателя преломления в данной работе проводится с помощью интерферометра Рэлея. Устройство интерферометра основано на дифракции Фраунгофера на двух щелях.
Пусть на экран с двумя щелями нормально падает плоская монохроматическая волна. Рассмотрим дифракционную картину Фраунгофера за экраном. Рассчитаем интенсивность световых колебаний в волне, направление распространения которой составляет угол φ с нормалью к экрану (рис. 1.). Применим для расчета принцип Гюйгенса-Френеля.
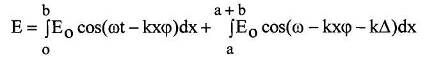
Элемент щели dx посылает в направлении φ волну с амплитудой, пропорциональной dx. Фаза колебаний, приходящих в точку наблюдения от элемента с координатой х отстает от колебаний, исходящих из элемента с х=0, на величину kх sinφ (k - волновое число). Колебание dE в точке наблюдения, вызванное нашим элементом dx, может быть записано поэтому в виде
(3)
где Ео - некоторый коэффициент пропорциональности. Найдем результат суммарного действия всех элементов обеих щелей. Для этого надо проинтегрировать выражение (3) по значениям х, соответствующим открытым частям экрана. При этом будем считать, что угол φ достаточно мал (sin φ ≈ φ) и что в правой щели искусственно создана дополнительная разность хода Δ, одинаковая для всех ее элементов (это позволит написать смещение интерференционных полос, используемое для измерений в интерферометреРэлея).
Интегрируя (3), найдем
(4)
где а - расстояние между щелями, b - ширина щели. Элементарные вычисления дают
(5)
Интенсивность световых колебаний I равна квадрату их амплитуды
(6)
здесь IО=ЕО2b2 - интенсивность света, возникающего в центре дифракционного пятна в том случае, когда открыта только одна из щелей.
Как видно из (6), зависимость I от φ распадается на произведение двух сомножителей. Первый из них описывает распределение интенсивности в дифракционной картине Фраунгофера от одной щели. Второй сомножитель обусловлен интерференцией световых колебаний, приходящих в точку наблюдения от разных щелей. Практический интерес представляют яркие интерференционные полосы, расположенные в пределах первого дифракционного максимума, т.е. в области
b- ширина щели
Интерференционные максимумы отстоят друг от друга на равные угловые расстояния δφ
а - расстояние между щелями (вывод этих простых соотношений предоставляются читателю). В пределах первого дифракционного максимума располагается No интерференционных полос
(7)
Картина зависимости I от φ представлена на рис. 2. Смещение интерференционных полос от середины центрального дифракционного максимума (φ=0) определяется сдвигом фаз Δ и равно Δ/а.
Если одну из щелей закрыть, то наблюдаемое распределение интенсивности опишется сомножителем (6), т. е. пунктирной кривой (рис. 2.). Если закрыть другую щель (а первую открыть), то центральный дифракционный максимум расположится, конечно, в том же самом месте, так что дифракционные картины от каждой из щелей точно накладываются друг на друга (что и является признаком дифракции Фраунгофера). При ознакомлении с интерферометром Рэлея такие опыты полезно проделать.
ПРАКТИЧЕСКАЯ ЧАСТЬ
Наблюдение интерференционных полос в белом свете
рефрактометр рэлей интерферометр дифракция
В предыдущих расчетах для упрощения предполагалось, что свет является монохроматическим. На практике в интерферометрах Рэлея используется белый свет. Это приводит к двум новым явлениям.
1. При работе с вполне монохроматическим светом сдвиг фаз между колебаниями в двух щелях на 2π или 2πm (m - целое число) не меняет никаких фазовых соотношений и не может поэтому быть обнаружен на опыте. Величину kΔ, таким образом, можно определить только с точностью до 2πm.
При использовании белого света интерференционные полосы получаются окрашенными (из-за наложения смещенных друг относительно друга интерференционных полос с разными длинами волн). Исключение представляет так называемая нулевая полоса, в максимуме которой разность хода колебаний, приходящих от обеих щелей равна нулю
(8)
В этой полосе накладываются друг на друга интерференционные максимумы для всех длин волн. В отличие от всех других интерференционных полос нулевая полоса является поэтому белой. При Δ = 0 эта полоса расположена в области φ = 0 и смещена при других Δ. По ее смещению можно вычислить разность хода Δ.
2. Согласно (6) интерференционные полосы должны наблюдаться как при малых, так и при сколь угодно больших значениях Δ. Этот результат также является следствием предположения об идеальной монохроматичности света. Реальные световые колебания имеют конечную длину цуга и занимают поэтому не бесконечно малый, а конечный спектральный интервал. При больших значениях Δ (превышающих длину светового цуга) интерференционная картина на опыте не наблюдается, так как световые колебания, приходящие в точку наблюдения из различных щелей, становятся некогерентными.
Студентам предлагается оценить порядок величины максимальной разности хода, при которой еще могут наблюдаться интерференционные полосы в белом свете.
Принцип метода в конкретных условиях интерферометра можно пояснить с помощью рис. 3,а и b., где представлены горизонтальные и вертикальные разрезы интерферометра. Свет от источника со сплошным спектром, например, от лампочки накаливания, собирается с помощью конденсора на входной щели прибора S шириной 3-5 мк. Эта щель находится в фокальной плоскости объектива F1 с фокусным расстоянием около 300 мм., составляющего вместе со щелью S коллиматор прибора.
Непосредственно за объективом F1 расположена плоская диафрагма прикрывающая объектив, но имеющая две длинные (25 мм.) параллельные щели A1 и А2, расположенные вдоль по двум вертикальным хордам диафрагмы. Ширина этих щелей 5 мм., расположены они на расстоянии 25 мм. друг от друга.
На расстоянии порядка одного метра от объектива F1 расположен второй, обычно одинаковый с первым, объектив F2, и вблизи его фокальной плоскости сильный окуляр О - цилиндрическая линза диаметром 2-3 мм., дающая примерно стократное увеличение. Ось цилиндра этой линзы параллельна щелям A1 и А2 и также, как и они, перпендикулярна к плоскости чертежа. Мы пока не поясняем назначение стеклянных пластинок B1 и В2, изображенных в разных проекциях на рис. 3,а и b. Об этих пластинках речь будет идти дальше.
Нетрудно видеть, что вся показанная на рисунке оптическая система представляет собой не что иное, как установку для наблюдения дифракции света в параллельных лучах, падающих из коллиматора на щели A1 и А2. Объектив F2 и окуляр О образуют наведенную на бесконечность зрительную трубу, в которую рассматривается дифракционная картина от двух щелей - система параллельных интерференционных полос (рис. 4.). Во избежание недоразумений отметим, что мы в ходе описания задачи будем называть наблюдаемую оптическую картину иногда интерференционной, а иногда - дифракционной, подчеркивая в некоторых случаях ту или иную сторону явления. По существу дела оба явления в данном случае эквивалентны, так как в используемой оптической схеме можно говорить как о дифракции света на каждой щели, и последующей интерференции дифрагированных световых пучков, так и о дифракции света на двух щелях. К подробному обсуждению интерференционной картины, изображенной на рис. 4. мы вернемся ниже.
Наличие двух световых пучков, выделенных высокими щелями А1 и А2 и расположенных на расстоянии 25 мм. друг от друга создает возможности для использования всей оптической системы для измерительных целей. В самом деле, введение каких- либо прозрачных объектов (например, кювет с газом или жидкостью) в один из пучков (подобная кювета показана пунктиром на рис. 3(а,b) приведет к сдвигу наблюдаемой интерференционной картины в направлении, перпендикулярном оптической оси объектива F (рис. 5.). Подробно рис. 5. будет пояснен ниже. Сейчас укажем только, что на рис. 5. по указанной причине сдвинута верхняя интерференционная картина относительно неподвижной нижней картины.
Указанный сдвиг картины является следствием увеличения оптического пути на величину
(9)
приобретенного тем световым пучком, в который введено прозрачное тело длины L с показателем преломления nвещ. Этот сдвиг интерференционной картины и используется для измерения показателя преломления nвещ. введенного в световой пучок тела. Для большей ясности изложения мы здесь и ниже говорим об одном прозрачном теле, введенном в один из световых пучков. Так и показано на рис. 3. Фактически дело обстоит несколько иначе. Если мы работаем с газом или жидкостью, то они должны содержаться в кювете с плоскими стеклами на торцах, через которые проходит световой пучок. Введение уже одних только стекол в один световой пучок создаст огромную разность хода между двумя световыми пучками, используемыми в интерферометре. Поэтому фактически кюветы вводятся всегда в оба световых пучка, но заполняется исследуемым газом лишь одна из них, а другая бывает заполнена воздухом или другим эталонным газом. Тогда наличие торцовых стекол кювет в обоих световых пучках взаимно компенсируется, и сдвиг интерференционной картины будет следствием лишь различия показателей преломления газов, заполняющих кюветы.
Сам метод измерений показателя преломления принадлежит к распространенному в физике классу компенсационных измерений. Как видно на рис. 3(а,b) в интерферометре есть еще добавочное приспособление, состоящее из двух плоско-параллельных стеклянных пластинок В1 и В2, о назначении которых не говорилось раньше. Эта пара наклонных пластинок и образует так называемый компенсатор прибора. Устроен он следующим образом. Наклонно расположенные стеклянные пластинки пересекают верхние, проходящие через газовые кюветы световые пучки. Одна из пластинок неподвижна, а другая может вращаться вокруг горизонтальной оси, изменяя свой наклон по отношению к проходящему сквозь нее световому пучку. Следовательно, при этом изменяется и эффективная толщина пластинки, пересекаемой световым пучком. Изменяя угол наклона пластинки к световому пучку, можно тем самым изменять оптическую разность хода лучей, прошедших через газовые кюветы и, в частности, сводить ее к нулю, если она предварительно уже создана неполной идентичностью изготовления кювет.
Подвижная пластинка компенсатора поворачивается с помощью рычага, приводимого в движение микрометрическим винтом, установленным на интерферометре вблизи его окуляра (см 1, рис. 6.). Головка винта снабжена делениями. Она перемещается относительно линейной шкалы с делениями. По изменению отсчетов на головке и шкале, наблюдаемой через лупу 2, можно отмечать изменение наклона подвижной пластины компенсатора.
Использование компенсатора для измерения показателя преломления заключается в следующем. Пусть обе газовые кюветы наполнены одинаковым газом, а видимые в окуляр интерференционные полосы не точно совпадают друг с другом ( за счет неиндентичности кювет ). Тогда с помощью компенсатора можно привести верхнюю интерференционную картину к полному совпадению с нижней (индикаторной картиной). Такому совпадению будет соответствовать некоторый отсчет на головке и шкале индикатора. Этот отсчет будет в дальнейшем являться нулевым рабочим отсчетом прибора. Далее необходимо установить соответствие между отсчетами на компенсаторе и той разностью хода Δ, которую при каждом своем положении вносит между световыми пучками подвижная пластина компенсатора. Операция установления этого соответствия носит название калибровки компенсатора, а ее результаты изображаются калибровочной таблицей (находится при приборе). При наличии калибровочной таблицы измерения на интерферометре сводятся к следующему. Оставляя неизменным состав эталонного газа, наполняющего одну из кювет интерферометра, наполняют исследуемым газом другую кювету. Компенсируя для каждого газа получившийся сдвиг интерференционной картины, и, сопоставляя отсчеты на компенсаторе с калибровочной таблицей, находят величину оптической разности хода световых пучков в обеих кюветах. Зная Δ, можно по формуле (9) найти
Характеристики
Тип файла документ
Документы такого типа открываются такими программами, как Microsoft Office Word на компьютерах Windows, Apple Pages на компьютерах Mac, Open Office - бесплатная альтернатива на различных платформах, в том числе Linux. Наиболее простым и современным решением будут Google документы, так как открываются онлайн без скачивания прямо в браузере на любой платформе. Существуют российские качественные аналоги, например от Яндекса.
Будьте внимательны на мобильных устройствах, так как там используются упрощённый функционал даже в официальном приложении от Microsoft, поэтому для просмотра скачивайте PDF-версию. А если нужно редактировать файл, то используйте оригинальный файл.
Файлы такого типа обычно разбиты на страницы, а текст может быть форматированным (жирный, курсив, выбор шрифта, таблицы и т.п.), а также в него можно добавлять изображения. Формат идеально подходит для рефератов, докладов и РПЗ курсовых проектов, которые необходимо распечатать. Кстати перед печатью также сохраняйте файл в PDF, так как принтер может начудить со шрифтами.















