151933 (566950), страница 2
Текст из файла (страница 2)
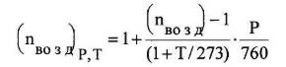
(10)
причем в качестве nвозд нужно брать выражение
где Т - температура эталонной кюветы, Р - давление эталонной кюветы.
Система изменения давления. Поскольку измеряется зависимость n=n(Р), то необходимо изменять давление воздуха в измерительной кювете. Система изменения и измерения давления в кювете представлена на рис. 7. Насос Камовского Н нагнетает воздух в балластный баллон Б, позволяющий плавно менять давление воздуха. Тройник Т соединяет баллон Б с водяным манометром М и установкой. Для того, чтобы в рефрактометр не попадали пары воды из манометра, включена диафрагма Д (резиновый шарик в бутылке). На время измерения рекомендуется отключить баллон Б с помощью крана-тройника.
Рис.3.
ПОРЯДОК ВЫПОЛНЕНИЯ РАБОТЫ
1 .Попросить преподавателя включить прибор.
2.Наблюдая в окуляре рефрактометра за интерференционной картиной, с помощью микровинта добиваются совмещение верхних и нижних интерференционных линий. По шкале барабана микровинта записывают нулевое положение.
3.Стеклянный кран перевести в положение "открыто". Включить микрокомпрессор. Добиться разности уровней воды в коленах монометра 4 см. и закрыть кран. Выключить микрокомпрессор.
4. Наблюдая в окуляре за интерференционной картиной, с помощью микровинта добиваются совмещения верхних и нижних интерференционных линий. Записать значение по шкале барабана.
5.Увеличивая давление каждый раз на 4 см., проделать п. 3, 4 не менее 20-30 раз.
6. Подписать данные у преподавателя. Выключить прибор.
Данные по работе:
L = 0,5 м ; nвозд = 1,000292 при 0° С, 760 мм. рт. ст.
λ = 5461 Å ; 1 Å = 10-10 м ; 1 а = 7,5 10-3 мм. рт. ст.
1 Па = 0,102 мм. вод. ст. ; Δ = 0,0375 t λ, где t - отсчет по шкале, минус отсчет нуля прибора ИТР-1.
Содержание отчета.
1.Результат подписанный преподавателем.
2.Результаты обработки измерений : а) заполнить таблицу:
| № опыта | t-t0 | Δ | nвещ | P |
б)построить график зависимости (nвещ -1) от Р.
в)вычислить по углу наклона прямой из графика и формулы Ко = 2πλ/KT поляризуемость молекул ά.
КОНТРОЛЬНЫЕ ВОПРОСЫ
1. Почему n = n(Р), n = n(λ) ?
2. Схема установки. Для чего нужны две кюветы?
З. Куда пускается газ и где находится клин?
4. Какой вид имеет интерференционная картина и почему?
5. Как выглядела бы интерференционная картина, если бы ширина щели стремилась к нулю?
6. Как измеряется показатель преломления в работе?
ИСПОЛЬЗУЕМАЯ И РЕКОМЕНДУЕМАЯ ЛИТЕРАТУРА
-
Ландсберг Г.С. «Оптика», М., «Наука», 1976 г. - 928 с.
-
Захарьевский А. Н. Интерферометры. М., 1952.
-
Физический практикум под редакцией В. И. Ивероновой. Электричество и оптика. М., 1968.
Размещено на Allbest.ru
13















