150358 (566851)
Текст из файла
Лабораторная работа 1
Тема: "Исследование биполярного транзистора"
Цель: Получение входных и выходных характеристик транзистора.
Приборы и элементы: Биполярный транзистор 2N3904, источник постоянной ЭДС, источник переменной ЭДС, амперметры, вольтметры, осциллограф, резисторы.
Ход работы:
1. Получение выходной характеристики транзистора в схеме с ОЭ.
а) В схеме (рис. 1) провели измерения тока коллектора IК для каждого значения ЕК и ЕБ и заполнили таблицу 1 в разделе «Результаты экспериментов». По данным таблицы построили график зависимости IК от Ек.
б) Построили схему, изображенную на рис. 2. Включили схему. Зарисовали осциллограмму выходной характеристики, соблюдая масштаб, в разделе «Результаты экспериментов». Повторили измерения для каждого значения ЕБ из таблицы 1. Осциллограммы выходных характеристик для разных токов базы зарисовали в разделе «Результаты экспериментов» на одном графике.
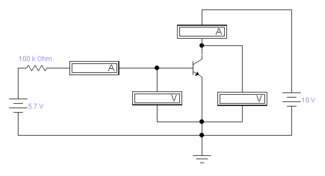
Рисунок 1. – Схема биполярного транзистора с ОЭ
в) По выходной характеристике нашли коэффициент передачи тока рас при изменении базового тока с 10 µА до 30 µА, Ек = 10 В. – Результат записали в раздел «Результаты экспериментов».
Таблица 1. – Результаты экспериментов
| Ek | |||||||
| Eb | Ib(mkA) | 0,1 | 0,5 | 1 | 5 | 10 | 20 |
| 1,66 | 9.245 | 0,783 | 1,604 | 1,622 | 1,673 | 1,749 | 1,901 |
| 2,68 | 19.23 | 1,656 | 3,453 | 3,469 | 3,595 | 3,753 | 4,069 |
| 3,68 | 29.11 | 2,479 | 5,209 | 5,233 | 5,422 | 5,657 | 6,129 |
| 4,68 | 39.02 | 3,269 | 6,903 | 6,934 | 7,182 | 7,493 | 8,115 |
| 5,7 | 49.15 | 4,042 | 8,656 | 8,606 | 8,914 | 9,29 | 10,07 |
Рисунок 2. – График зависимости тока от напряжения
2. Получение входной характеристики транзистора в схеме с ОЭ.
а) На схеме (рис. 1) установили значение напряжения источника Ек равным 10 В и провели измерения тока базы iБ, напряжения база-эмиттер U6э, тока эмиттера IЭ для различных значений напряжения источника Eg в соответствии с таблицей 10.2 в разделе «Результаты экспериментов». Обратили внимание, что коллекторный ток примерно равен току в цепи эмиттера.
б) В разделе «Результаты экспериментов» по данным таблицы 2 построили график зависимости тока базы от напряжения база-эмиттер.
в) Построили схему, изображенную на рис 3. Включили схему. Зарисовали входную характеристику транзистора, соблюдая масштаб, в разделе «Результаты экспериментов»
Рисунок 3. – Схема биполярного транзистора с ОЭ.
г) По входной характеристике нашли сопротивление rВХ при изменении базового тока с 10 µA до 30 µА Результат записали в раздел «Результаты экспериментов».
Рисунок 4. – Показания осциллографа
Таблица 2. – Результаты экспериментов
| Eб | 1,66 | 2,68 | 3,68 | 4,68 | 5,7 |
| Iб | 9,245 | 19,23 | 29,11 | 39,02 | 49,15 |
| Uбэ | 735,5 | 757,1 | 769,3 | 778,2 | 785,3 |
| Ik | 1,749 | 3,753 | 5,657 | 7,493 | 9,299 |
Рисунок 5. – График зависимости тока от напряжения
Рисунок 6. – Схема биполярного транзистора с ОЭ
Рисунок 7. – Показания осциллографа
Характеристики
Тип файла документ
Документы такого типа открываются такими программами, как Microsoft Office Word на компьютерах Windows, Apple Pages на компьютерах Mac, Open Office - бесплатная альтернатива на различных платформах, в том числе Linux. Наиболее простым и современным решением будут Google документы, так как открываются онлайн без скачивания прямо в браузере на любой платформе. Существуют российские качественные аналоги, например от Яндекса.
Будьте внимательны на мобильных устройствах, так как там используются упрощённый функционал даже в официальном приложении от Microsoft, поэтому для просмотра скачивайте PDF-версию. А если нужно редактировать файл, то используйте оригинальный файл.
Файлы такого типа обычно разбиты на страницы, а текст может быть форматированным (жирный, курсив, выбор шрифта, таблицы и т.п.), а также в него можно добавлять изображения. Формат идеально подходит для рефератов, докладов и РПЗ курсовых проектов, которые необходимо распечатать. Кстати перед печатью также сохраняйте файл в PDF, так как принтер может начудить со шрифтами.















