125651 (566744)
Текст из файла
Федеральное Агентство Образования Российской Федерации
Государственное Образовательное Учреждение Высшего Профессионального Образования
Ижевский Государственный Технический Университет
кафедра «Сопротивление материалов»
Лабораторная работа №1
Исследование косого изгиба балки
Выполнил: студент группы 4-56-2, М-ф
Морозов А.С.
Проверил: Урбанович В.С.
Ижевск 2009г.
Цель работы: экспериментальное определение максимальных прогибов и напряжений при косом изгибе балки и их сравнение с аналогичными расчетными значениями.
Постановка работы. В ряде случаев для экспериментальной оценки прочности и жесткости элементов конструкций может применяться метод, основанный на использовании механических приборов для измерения линейных и угловых перемещений (индикаторов часового типа (ИЧТ), проги-бомеров, сдвигомеров). Использование указанного метода рассмотрим на примере элемента конструкции в виде стальной (Е =2*105 МПа) балки (L = 0,5 м) прямоугольного (b=7 мм; h = 32 мм) сечения, нагруженной силой Р на расстоянии l=0,4 м под углом α=30° (рис. 1) и работающей в условиях косого изгиба. С этой целью для измерения вертикальной δ1э и горизонтальной δ2э составляющих максимального прогиба fэ направленного под углом βэ, установлены два ИЧТ И1 и И2. Цена деления ИЧТ равна 0,01 мм. На установке проведено нагружение балки с регистрацией ступеней нагрузки Р и показаний δ1э и δ2э ИЧТ (табл. 1).
Требуется: определить и сравнить расчетные и экспериментальные значения максимальных перемещений и напряжений.
Рис. 1. Схема экспериментальной установки для исследования косого изгиба балки
Таблица 1. Результаты испытаний балки при косом изгибе
| № Ступени нагружения n | P, H | ΔP, H | δ1э дел. | Δδ1э дел. | δ2э дел. | Δδ2э дел. |
| 0 | 0 | - | 0 | - | 0 | - |
| 1 | 10 | 10 | 65 | 65 | 53 | 53 |
| 2 | 20 | 10 | 140 | 75 | 112 | 59 |
| 3 | 30 | 10 | 214 | 74 | 171 | 59 |
| 4 | 40 | 10 | 288 | 74 | 230 | 59 |
-
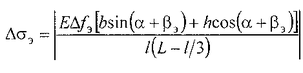
Расчетное приращение напряжений в опасной точке А на ступень нагружения ΔP=10 H:
Δσ=
МПа
-
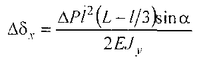
Расчетные приращения составляющих максимального прогиба по главным центральным осям инерции:
Δδx=10*0,42*(0,5-0,4/3)*0,5/(2*2*105*106*9,147*10-10)=0,802 мм
Δδy=10*0,42*(0,5-0,4/3)*0,866/(2*2*105*106*1,911*10-8)=0,0665 мм
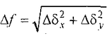
3. Расчетное приращение результирующего прогиба
Δf=
мм
и его направление
β=arctg(1,911*10-8*0,577/9,147*10-10)-300=55,260
4. Проводим обработку экспериментальных данных табл. 1:
δ1эcр=
мм
δ2эcр=
мм
5. Экспериментальное приращение результирующего прогиба
Δfэ=
мм
и его направление
βэ=arctg(Δδ1эcp/Δδ1эcp)=arctg(0,575/0,72)=38,60
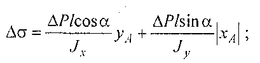
6. Экспериментальное приращение напряжений в опасной точке А
Δσэ=
19,3 МПа
7. Отклонения расчетных от экспериментальных величин:
δf=100(0,805-0,92)/0,92=-12,5%
δβ=100(55,260-38,60)/38,60=43,2%
δσ=100(10,5-19,3)/19,3=-45,6%
8. Для оценки прочности и жесткости балки сравниваются наибольшие напряжения и перемещения при максимальной нагрузке с допускаемыми напряжениями [σ] и перемещениями [f]:
maxσэ=19,3*40/10=77,2 МПа
maxfэ=0,92*40/10=3,68 мм
Выводы
1. Определены расчетные и экспериментальные максимальные напряжения и перемещения при косом изгибе балки.
2. Показано, что при косом изгибе балки расчетные прогибы и напряжения с достаточной для инженерных приложений точностью соответствуют полученным экспериментальным данным.
Характеристики
Тип файла документ
Документы такого типа открываются такими программами, как Microsoft Office Word на компьютерах Windows, Apple Pages на компьютерах Mac, Open Office - бесплатная альтернатива на различных платформах, в том числе Linux. Наиболее простым и современным решением будут Google документы, так как открываются онлайн без скачивания прямо в браузере на любой платформе. Существуют российские качественные аналоги, например от Яндекса.
Будьте внимательны на мобильных устройствах, так как там используются упрощённый функционал даже в официальном приложении от Microsoft, поэтому для просмотра скачивайте PDF-версию. А если нужно редактировать файл, то используйте оригинальный файл.
Файлы такого типа обычно разбиты на страницы, а текст может быть форматированным (жирный, курсив, выбор шрифта, таблицы и т.п.), а также в него можно добавлять изображения. Формат идеально подходит для рефератов, докладов и РПЗ курсовых проектов, которые необходимо распечатать. Кстати перед печатью также сохраняйте файл в PDF, так как принтер может начудить со шрифтами.
















