47730 (566469)
Текст из файла
Министерство образования и науки Российской Федерации Федеральное агентство по образованию
Амурский гуманитарно-педагогический государственный университет
Физико-математический факультет
Кафедра информатики
ЛАБОРАТОРНАЯ РАБОТА №2
по дисциплине «Искусственные нейронные сети»
на тему «Нейронные сети с радиальными базисными функциями»
2007
Введение
Цель лабораторной работы: освоить основные принципы решения задачи нейронных сетей с радиальными базисными функциями.
Задание: Используя встроенные функции пакета нейронных сетей математической среды Matlab, построить нейронную сеть с радиальными базисными функциями.
1 Теоретические сведения
Сети РБФ имеют ряд преимуществ перед рассмотренными многослойными сетями прямого распространения. Во-первых, они моделируют произвольную нелинейную функцию с помощью всего одного промежуточного слоя, тем самым, избавляя разработчика от необходимости решать вопрос о числе слоев. Во-вторых, параметры линейной комбинации в выходном слое можно полностью оптимизировать с помощью хорошо известных методов линейной оптимизации, которые работают быстро и не испытывают трудностей с локальными минимумами, так мешающими при обучении с использованием алгоритма обратного распространения ошибки. Поэтому сеть РБФ обучается очень быстро - на порядок быстрее, чем с использованием алгоритма ОР (обратного распространения).
Недостатки сетей РБФ: данные сети обладают плохими экстраполирующими свойствами и получаются весьма громоздкими при большой размерности вектора входов.
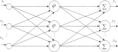
На рис. 1 представлена структурная схема нейронной сети с радиальными базисными функциями.
Нейронная сеть радиальных базисных функций содержит в наиболее простой форме три слоя: обычный входной слой, выполняющий распределение данных образца для первого слоя весов; слой скрытых нейронов с радиально симметричной активационной функцией, каждый j -й из которых предназначен для хранения отдельного эталонного вектора в виде вектора весов wj(h); выходной слой
Для построения сети РБФ необходимо выполнение следующих условий.
Во-первых, наличие эталонов, представленных в виде весовых векторов нейронов скрытого слоя. Во-вторых, наличие способа измерения расстояния входного вектора от эталона. Обычно это стандартное евклидово расстояние. В-третьих, специальная функция активации нейронов скрытого слоя, задающая выбранный способ измерения расстояния. Обычно используется функция Гаусса, существенно усиливающая малую разницу между входным и эталонным векторами. Выходной сигнал эталонного нейрона скрытого слоя aj- это функция (гауссиан) только от расстояния pj между входным и эталонным векторами.
Рис. 1. Сеть с радиальными базисными функциями
Таким образом, выходной сигнал шаблонного нейрона - это функция только от расстояния между входным вектором х и сохраненным центром w v
Обучение слоя образцов-нейронов сети подразумевает предварительное проведение кластеризации для нахождения эталонных векторов и определенных эвристик для определения значений -.
Нейроны скрытого слоя соединены по полносвязной схеме с нейронами выходного слоя, которые осуществляют взвешенное суммирование
Для нахождения значения весов w от нейронов скрытого к выходному слою используется линейная регрессия.
В общем случае активационные функции нейронов скрытого слоя могут отражать законы распределения случайных величин (вероятностные нейронные сети) либо характеризовать различные аналитические зависимости между переменными (регрессионные нейронные сети).
К недостаткам сетей РБФ можно отнести то, что заранее должно быть известно число эталонов, а также эвристики для построения активационных функций нейронов скрытого слоя.
В моделях РБФ могут быть использованы различные способы измерения расстояния между векторами, а также функции активации нейронов скрытого слоя.
Радиальная, базисная сеть общего вида – это двухслойная нейронная сеть с R входами, каждый из которых может состоять из нескольких элементов. Передаточной функцией нейронов входного слоя является колоколообразная симметричная функция следующего вида:
Эта функция имеет максимум, равный 1, при n = 0 и плавно убывает при увеличении n, достигая значения 0.5 при n = ±0.833. Передаточной функцией нейронов выходного слоя является линейная функция perelin.
Функция взвешивания для входного слоя вычисляет евклидово расстояние между каждой строкой матрицы весов и каждым столбцом матрицы входов:
Затем эта величина умножается на смещение нейрона и поступает на вход передаточной функции, так что
a{i} = radbas(net.prod(dist(net.IW{1, 1}, p).net.b{i})).
Для нейронов выходного слоя функцией взвешивания является скалярное произведение dotprod, а функцией накопления – функция суммирования взвешенных входов и взвешенного смещения netsum.
Для того чтобы понять поведение радиальной базисной сети общего вида, необходимо проследить прохождение вектора входа p. При задании значений элементам вектора входа каждый нейрон входного слоя выдает значение в соответствии с тем, как близок вектор входа к вектору весов каждого нейрона. Таким образом, нейроны с векторами весов, значительно отличающимися с вектором входа p, будут иметь выходы, близкие к 0, и их влияние на выходы линейных нейронов выходного слоя будет незначительное. Напротив, входной нейрон, веса которого близки к вектору p, выдаст значение, близкое к единице.
Для построения радиальных базисных сетей общего вида и автоматической настройки весов и смещений используются две функции newrbe и newrb. Первая позволяет построить радиальную базисную сеть с нулевой ошибкой, вторая позволяет управлять количеством нейронов входного слоя. Эти функции имеют следующие параметры:
net = newrbe(P, T, SPREAD),
net = newrb(P, T, GOAL, SPREAD),
где P – массив размера RxQ входных векторов, причем R – число элементов вектора входа, а Q – число векторов в последовательности;
T – массив размера SxQ из Q векторов цепи и S классов;
SPREAD – параметр влияния, определяющий крутизну функции radbas, значение по умолчания которого равно единице;
GOAL – средняя квадратичная ошибка, при этом значение по умолчанию равно 0.0.
Параметр влияния SPREAD существенно влияет на качество аппроксимации функции: чем больше его значение, тем более гладкой будет аппроксимация. Слишком большое его значение приведет к тому, что для получения гладкой аппроксимации быстро изменяющейся функции потребуется большое количество нейронов: слишком малое значение параметра SPREAD потребует большего количества нейронов для аппроксимации гладкой функции. Обычно параметр влияния SPREAD выбирается большим, чем шаг разбиения интервала задания обучающей последовательности, но меньшим размера самого интервала.
Функция newrbe устанавливает веса первого слоя равным P., а смещения – равными 0.8326/ SPREAD, в результате радиальная базисная функция пересекает значение 0.5 при значениях евклидового расстояния ±SPREAD. Веса второго слоя LW{2,1} и смещения b{2} определяются путем моделирования выходов первого слоя A{1} и последующего решения системы линейных уравнений:
[LW{2,1} b{2}]*[A{1}; ones] = T.
Функция newrb формирует сеть следующим образом. Изначально первый слой не имеет нейронов. Сеть моделируется и определяется вектор входа с самой большой погрешностью, добавляется нейрон с функцией активации radbas и весами, равными вектору входа, затем вычисляются весовые коэффициенты линейного слоя, чтобы не превысить средней допустимой квадратичной ошибки.
2 Методика выполнения лабораторной работы
Задача. Используя встроенные функции пакета нейронных сетей математической среды Matlab, построить нейронную сеть с радиальными базисными функциями.
P = zeros(1,20);
for i = 1:20
P(i) = i*0.1;
end
T=[-2.09 -1.66 -1.06 -0.65 -0.25 0.10 0.56 0.85 1.07 1.16 1.52 1.63 1.78 2.07 2.09 2.10 2.12 2.17 2.21 2.31]
[net,tr] = newrb(P,T);
y = sim(net,P);
figure (1);
hold on;
xlabel ('P');
ylabel ('T');
plot(P,T,P,y,'o'),grid;
Работа сети представлена на рис.1
Формы обучения НС.
Существует три основные парадигмы (формы) обучения нейроных сетей:
- обучение с учителем
- обучение с критиком - усиленное, подкрепленное обучение;
- обучение без учителя) — самоорганизующееся обучение, самообучение.
В первом случае обучение осуществляется под наблюдением внешнего «учителя». Нейронной сети предъявляются значения как входных, так и желательных выходных сигналов, и она по некоторому внутреннему алгоритму подстраивает веса своих синаптических связей.
Во втором случае обучение включает использование «критика», с помощью которого производится обучение на основе метода проб и ошибок.
В третьем случае выходы нейронной сети формируются самостоятельно, а веса и смещения изменяются по алгоритму, учитывающему только входные и производные от них сигналы. Здесь за основу взяты принципы самоорганизации нервных клеток. Для обучения без учителя не нужно знания требуемых ответов на каждый пример обучающей выборки. В этом случае происходит распределение образцов по категориям (кластерам) в соответствии с внутренней структурой данных или степенью корреляции между образцами.
Рассматривают также и смешанное обучение, при котором весовые коэффициенты одной группы нейронов настраиваются посредством обучения с учителем, а другой группы - на основе самообучения.
Основные правила обучения нейронных сетей
Известны четыре основных правила обучения, обусловленные связанными с ними архитектурами сетей: коррекция ошибки, правило Больц-мана, правило Хебба и метод соревнования.
1) Коррекция ошибки
Для каждого входного примера задан требуемый выход и, который может не совпадать с реальным у. Правило обучения при коррекции по ошибке состоит в использовании разницы (с? - у) для изменения весов, с целью уменьшения ошибки рассогласования. Обучение производится только в случае ошибочного результата. Известны многочисленные модификации этого правила обучения.
2) Правило Больцмана
Правило Больцмана является стохастическим правилом обучения, обусловленным аналогией с термодинамическими принципами. В результате его выполнения осуществляется настройка весовых коэффициентов нейронов в соответствии с требуемым распределением вероятностей. Обучение правилу Больцмана может рассматриваться как отдельный случай коррекции по ошибке, в котором под ошибкой понимается расхождение корреляций состояний в двух режимах.
3) Правило Хебба
Правило Хебба является самым известным алгоритмом обучения нейронных сетей, суть которого заключается в следующем: если нейроны с обеих сторон синапса возбуждаются одновременно и регулярно, то сила синаптической связи возрастает. Важной особенностью является то, что изменение синаптического веса зависит только от активности связанных этим синапсом нейронов. Предложено большое количество разновидностей этого правила, различающихся особенностями модификации синап-тических весов.
4) Метод соревнования
В отличие от правила Хебба, в котором множество выходных нейронов могут возбуждаться одновременно, здесь выходные нейроны соревнуются между собой. И выходной нейрон с максимальным значением взвешенной суммы является «победителем» («победитель забирает все»). Выходы же остальных выходных нейронов устанавливаются в неактивное состояние. При обучении модифицируются только веса нейрона - «победителя» в сторону увеличения близости к данному входному примеру.
В состав пакета ППП Neural Network Toolbox входит М-функция hardlim, реализующая функцию активации с жесткими ограничениями.
Линейная функция активации purelin. Эта функция описывается соотношением, а = purelin(n) = n
Логистическая функция активации logsig. Эта функция описывается соотношением, а = logsig(n) = 1/(1 + ехр(-n)). Она принадлежит к классу сигмоидальных функций, и ее аргумент может принимать любое значение в диапазоне от - до + , а выход изменяется в диапазоне от 0 до 1. В пакете
ППП Neural Network Toolbox она представлена М-функцией logsig.
Благодаря свойству дифференцируемости эта функция часто используется в сетях с обучением на основе метода обратного распространения ошибки.
Характеристики
Тип файла документ
Документы такого типа открываются такими программами, как Microsoft Office Word на компьютерах Windows, Apple Pages на компьютерах Mac, Open Office - бесплатная альтернатива на различных платформах, в том числе Linux. Наиболее простым и современным решением будут Google документы, так как открываются онлайн без скачивания прямо в браузере на любой платформе. Существуют российские качественные аналоги, например от Яндекса.
Будьте внимательны на мобильных устройствах, так как там используются упрощённый функционал даже в официальном приложении от Microsoft, поэтому для просмотра скачивайте PDF-версию. А если нужно редактировать файл, то используйте оригинальный файл.
Файлы такого типа обычно разбиты на страницы, а текст может быть форматированным (жирный, курсив, выбор шрифта, таблицы и т.п.), а также в него можно добавлять изображения. Формат идеально подходит для рефератов, докладов и РПЗ курсовых проектов, которые необходимо распечатать. Кстати перед печатью также сохраняйте файл в PDF, так как принтер может начудить со шрифтами.
















