47587 (566458)
Текст из файла
Кафедра: Автоматика и информационные технологии
МЕТОДЫ И СРЕДСТВА ЗАЩИТЫ КОМПЬЮТЕРНОЙ ИНФОРМАЦИИ
Екатеринбург 2005
Содержание
РАБОТА 1. ИССЛЕДОВАНИЕ ХАРАКТЕРИСТИК ТЕКСТОВ
РАБОТА 2. РЕАЛИЗАЦИЯ СИММЕТРИЧНОГО КРИПТОАЛГОРИТМА
РАБОТА 3. АЛГОРИТМ AES
1. ПОСТАНОВКА ЗАДАЧИ
2. ОПИСАНИЕ АЛГОРИТМА
2.1 ВЫЧИСЛЕНИЕ КЛЮЧА РАУНДА
2.2 S-БЛОК
2.3 ПРЕОБРАЗОВАНИЕ ShiftRow
2.4 ПРЕОБРАЗОВАНИЕ MixColumn
2.5 СЛОЖЕНИЕ С КЛЮЧОМ РАУНДА
2.6 ПОЛНАЯ ПРОЦЕДУРА ЗАШИФРОВАНИЯ БЛОКА
2.7 РАСШИФРОВАНИЕ
БИБЛИОГРАФИЧЕСКИЙ СПИСОК
РАБОТА 4. КРИПТОСИСТЕМА PGP
1. ХАРАКТЕРИСТИКА PGP
2. КАК PGP РАБОТАЕТ
3. ОСНОВНЫЕ ШАГИ В ИСПОЛЬЗОВАНИИ PGP
4. ИНСТАЛЛЯЦИЯ PGP
5. ГЕНЕРАЦИЯ КЛЮЧЕЙ
6. КАК ПОСЛАТЬ ЗАШИФРОВАННОЕ СООБЩЕНИЕ
7. РАСШИФРОВКА СООБЩЕНИЙ
РАБОТА 5. ВИРУСЫ И АНТИВИРУСНЫЕ ПРОГРАММЫ
РАБОТА 6. ИССЛЕДОВАНИЕ СИСТЕМЫ БЕЗОПАСНОСТИ ОС
РАБОТА 7. ЗАЩИТА ОТ СЕТЕВЫХ АТАК
РАБОТА 1. ИССЛЕДОВАНИЕ ХАРАКТЕРИСТИК ТЕКСТОВ
Выполнить статистический анализ свободных русскоязычного и англоязычного текстов, организованного текста, сжатого файла и соответствующих шифртекстов, созданных одной из программ симметричного шифрования. Произвести сравнительный анализ статистик. Для экспресс-анализа использовать программу statistics. exe, подробный анализ выполнить с помощью методов, приведенных ниже.
Универсальные тесты для анализа случайных последовательностей.
Критерий "хи-квадрат", вероятно, самый распространенный из всех статистических критериев. Он используется не только сам по себе, но и как составная часть многих других тестов. Прежде чем приступить к общему описанию критерия "хи", рассмотрим сначала в качестве примера, как можно было бы применить этот критерий для анализа игры в кости. Пусть каждый раз бросаются независимо две "правильные" кости, причем бросание каждой из них приводит с равной вероятностью к выпадению одного из чисел 1, 2, 3, 4, 5 и 6 вероятности выпадения любой суммы s при одном бросании представлены в таблице:
Например, сумма S=4 может быть получена тремя способами:
1+3, 2+2, 3+1; при 36 возможных исходах это составляет 3/36=1/12=P4
Если бросать кости N раз, можно ожидать, что сумма S появится в среднем nps раз. Например, при 144 бросаниях значение 4 должно появиться около 12~раз. Следующая таблица показывает, какие результаты были в действительности, получены при 144 бросаниях.
Отметим, что фактическое число выпадений отличается от среднего во всех случаях. В этом нет ничего удивительного. Дело в том, что всего имеется 36144 возможных последовательностей исходов для 144 бросаний, и все они равновероятны. Одна из таких последовательностей состоит, например, только из двоек ("змеиные глаза"), и каждый, у кого "змеиные глаза" выпадут подряд 144~раза, будет уверен, что кости поддельные. Между тем эта последовательность так же вероятна, как и любая другая. Каким же образом в таком случае мы можем проверить, правильно ли изготовлена данная пара костей? Ответ заключается в том, что сказать определенно "да" или "нет" мы не можем, но можем дать \EMPH{вероятностный} ответ, т.е. указать, насколько вероятно или невероятно данное событие.
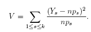
Естественный путь решения нашей задачи состоит в следующем. Вычислим (прибегнув к помощи ЭВМ) сумму квадратов разностей фактического числа выпадений Ys и среднего числа выпадений nps:
Для плохого комплекта костей должны получаться относительно высокие значения V. Возникает вопрос, насколько вероятны такие высокие значения? Если вероятность их появления очень мала, скажем равна 1/100, т.е. отклонение результата от среднего значения на такую большую величину возможно только в одном случае из 100, то у нас есть определенные основания для подозрений. (Не следует забывать, однако, что даже хорошие кости будут давать такое высокое значение V один раз из 100, так что для большей уверенности следовало бы повторить эксперимент и посмотреть, получится ли повторно высокое значение V).
В статистику V все квадраты разностей входят с равным весом, хотя (Y7 - np7) 2, например, вероятно, будет намного больше, чем (Y2 - np2) 2, так как s=7 встречается в шесть раз чаще, чем s=2. Оказывается, что в "правильную" статистику, или по крайней мере такую, для которой доказано, что она наиболее значима, член (Y7 - np7) 2 входит с множителем, который в шесть раз меньше множителя при (Y2 - np2) 2 Таким образом, следует заменить~ (3) на следующую формулу:
Определенную таким образом величину V называют статистикой “хи-квадрат", соответствующей значениям Y2, …, Y12 полученным в эксперименте.
Подставляя в эту формулу значения из (2), получаем
Теперь, естественно, возникает вопрос, является ли значение 7 7/48 настолько большим, что его случайное появление можно считать маловероятным. Прежде чем отвечать на этот вопрос, сформулируем критерий “хи-квадрат" в более общем виде. Предположим, что все возможные результаты испытаний разделены на k категорий. Проводится n независимых испытаний это означает, что исход каждого испытания абсолютно не влияет на исход остальных. Пусть ps вероятность того, что результат испытания попадет в категорию s, и пусть Ys число испытаний, которые действительно попали в категорию s.
Сформируем статистику
В предыдущем примере имелось 11 возможных исходов при каждом бросании костей, так что k=11. [Формулы (4) и (6) различаются только нумерацией: в одном случае она производится от 2 до 12, а в другом от 1 до k.]
Используя тождество
и равенства
можно преобразовать формулу (6) к виду
причем в большинстве случаев такая запись облегчает вычисления.
Большим преимуществом рассматриваемого метода является то, что одни и те же табличные значения используются при любых n и любых вероятностях ps. Единственной переменной является v =k - 1. На самом деле приведенные в таблице значение не являются абсолютно точными во всех случаях: это приближенные значения, справедливые лишь при достаточно больших значениях n Как велико должно быть n? Достаточно большими можно считать такие значения n, при которых любое из nps не меньше 5; однако лучше брать n значительно большими, чтобы повысить надежность критерия. Заметим, что в рассмотренных примерах мы брали n=144, и np равнялось всего 4, что противоречит только что сформулированному правилу. Единственная причина этого нарушения кроется в том, что автору надоело бросать кости; в результате числа из таблицы оказались не очень подходящими для нашего случая. Было бы горазда лучше провести эти эксперименты на машине при n=1000 или 10000
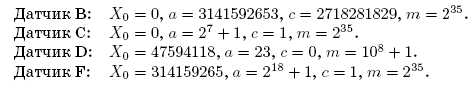
Датчики a, b, d прошли испытания удовлетворительно, датчик c находится на грани и должен быть, по-видимому, забракован, а датчики e и f определенно не прошли испытаний. Датчик~f, безусловно, маломощен; датчики c и d обсуждались в литературе, но у них слишком мало значение a. В датчике d реализован метод вычетов в том виде, в каком он был впервые предложен Лемером в 1948г., а в датчике c-линейный конгруэнтный метод с≠0 также в его первоначальном виде (Ротенберг, 1960).
Брюс Шнайер, Прикладная криптография. Протоколы, алгоритмы, исходные тексты на языке Си 816 стр., 2002 г. Издательство: Триумф Дональд Кнут Искусство программирования Том 2.
РАБОТА 2. РЕАЛИЗАЦИЯ СИММЕТРИЧНОГО КРИПТОАЛГОРИТМА
Реализовать симметричный криптоалгоритм на основе простого гамиирования и с использованием сети Фейстеля. Для реализации последнего применить программу diskreet.
Провести статистический анализ открытых текстов и шифртекстов.
Пакет Norton Utilities содержит программу DISKREET, которая позволяет обеспечить защиту и шифровку файлов и создания виртуальных зашифрованных дисков. Для шифровки и защиты программы (файла) от несанкционированного доступа необходимо запустить программу DISKREET, указать в меню пункт Файл, указать путь шифруемого программного файла (с расширением com или exe), задать новое имя шифруемого файла, несколько отличающееся от старого, ввести пароль (не менее 6 символов), подтвердить его и запустить программу DISKREET, которая зашифрует файл и даст ему новое имя. Старый незашифрованный файл надо удалить. Для запуска зашифрованной программы надо расшифровать полученный новый файл при помощи программы DISKREET, запустив ее и введя пароль. С помощью программы DISKREET можно также зашифровать и текстовый файл (*. txt), который без расшифровки программой DISKREET нельзя будет прочитать при нажатии на клавишу F3. Зашифрованный текстовый файл должен иметь имя, отличающееся от исходного.
РАБОТА 3. АЛГОРИТМ AES
1. ПОСТАНОВКА ЗАДАЧИ
Разработать программное обеспечение, реализующее симметричный блочный алгоритм шифрования с переменной длинной блока и ключа Rijndael - улучшенный стандарт шифрования AES.
Использовать среду разработки Visual C++.
Составить описание алгоритма и описание особенностей непосредственной реализации алгоритма.
2. ОПИСАНИЕ АЛГОРИТМА
Rijndael - это симметричный блочный алгоритм шифрования с переменной длиной блока и ключа. Длины блока и ключа могут принимать значения 128, 192 и 256, причем в любой комбинации, варьируемое значение длины ключа составляет одно из достоинств стандарта AES, а вот "официальная" длина блока - только 128 бит.
Каждый блок открытого текста зашифровывается несколько раз в так называемых раундах (round) с помощью повторяющейся последовательности различных функций. Число раундов зависит от длины блока и ключа (см. таблицу 1).
Таблица 1 Число раундов в алгоритме Rijndael как функция от длины блока и ключа
| Длина ключа в битах | Длина блока (в битах) | ||
| 128 | 192 | 256 | |
| 128 | 10 | 12 | 14 |
| 192 | 12 | 12 | 14 |
| 256 | 14 | 14 | 14 |
Rijndael не относится к алгоритмам на сетях Фейстеля, которые характеризуются тем, что блок текста разбивается на левую и правую половины, затем преобразование раунда применяется к одной половине, результат складывается по модулю 2 с другой половиной, после чего эти половины меняются местами. Самым известным блочным алгоритмом из этой серии является DES. Rijndael, напротив, состоит из отдельных уровней, каждый из которых по-своему воздействует на блок в целом. Для зашифрования блока последовательно выполняются следующие преобразования:
Первый раундовый ключ складывается с блоком по модулю 2 (XOR).
Выполняются Lr - 1 обычных раундов.
Рис.1. Уровни преобразования внутри одного раунда алгоритма Rijndael
Характеристики
Тип файла документ
Документы такого типа открываются такими программами, как Microsoft Office Word на компьютерах Windows, Apple Pages на компьютерах Mac, Open Office - бесплатная альтернатива на различных платформах, в том числе Linux. Наиболее простым и современным решением будут Google документы, так как открываются онлайн без скачивания прямо в браузере на любой платформе. Существуют российские качественные аналоги, например от Яндекса.
Будьте внимательны на мобильных устройствах, так как там используются упрощённый функционал даже в официальном приложении от Microsoft, поэтому для просмотра скачивайте PDF-версию. А если нужно редактировать файл, то используйте оригинальный файл.
Файлы такого типа обычно разбиты на страницы, а текст может быть форматированным (жирный, курсив, выбор шрифта, таблицы и т.п.), а также в него можно добавлять изображения. Формат идеально подходит для рефератов, докладов и РПЗ курсовых проектов, которые необходимо распечатать. Кстати перед печатью также сохраняйте файл в PDF, так как принтер может начудить со шрифтами.















