lec07 Обеспечение надежности (560719), страница 3
Текст из файла (страница 3)
Определение количественных показателей надежности РЭА с помощью структурных схем дает возможность решать вопросы выбора наиболее надежных функциональных элементов, узлов, блоков, из которых состоит РЭА, наиболее надежных конструкций, панелей, стоек, пультов, рационального порядка эксплуатации, профилактики и ремонта РЭА, состава и количества ЗИП.
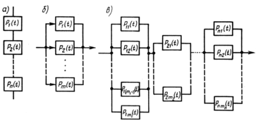
При построении надежностных структурных схем используют последовательное, параллельное и последовательно-параллельное включение элементов.
Рис. 7.3.1. Схемы последовательного (а), параллельного (б) и параллельно-последовательного (в) включения элементов в надежностной структурной схеме.
При последовательном включении элементов (рис. 7.3.1, а) для надежной работы схемы необходима работа всех функциональных элементов.Тогда вероятность безотказной работы схемы будет равна произведению вероятностей безотказной работы всех функциональных элементов:
P(t) = P1(t) P2(t) … Pn(t),
где n – число элементов схемы.
Для случая экпоненциального распределения наработки до отказа Pi(t) = exp(-it) среднее время наработки на отказ составит:
Для другого простейшего случая построения структурной схемы параллельного соединения элементов (б) при вероятности отказов Qi(t) для каждого из элементов, входящих в схему, отказ всей схемы будет иметь место тогда, когда откажут все элементы, т.е.
Q(t) = Q1(t) Q2(t) ... Qm(t),
где m - число параллельно соединенных элементов. При этом вероятность безотказной работы всей схемы:
P(t) = 1 – Q(t).
Для экпоненциального распределения наработки до отказа среднее время наработки на отказ составит
T = (1/) + (1/2) + … +(1/m).
В общем случае, при смешанном параллельно-последовательном соединении элементов следует найти вероятность безотказной работы для каждой из цепочек параллельно включенных элементов, а затем для всей схемы.
7.4. Методы повышения надежности [1, 2]
Методы повышения надежности можно разделить на структурные и информационные.
Структурные методы повышения надежности. Абсолютной надежности технических устройств добиться принципиально невозможно, а максимально повысить показатели их надежности реально, и это является важнейшей научной и технической задачей. Повышение уровня надежности РЭА достигается, прежде всего, устранением причин, вызывающих в ней отказы, т. е. сведением к минимуму конструкторских, технологических и эксплуатационных ошибок.
Значительного повышения надежности РЭА достигают созданием новых элементов. Так, применение интегральных схем для построения РЭА привело к значительному повышению надежности аппаратуры третьего и четвертого поколений.
Однако повышением надежности элементов не удается полностью решить проблему построения надежных РЭА, что вызвано значительным опережением роста сложности вновь разрабатываемых РЭА, большими затратами при получении элементов высокой надежности, а также существованием элементов, надежность которых довольно низка и трудно поддается повышению. Поэтому один из путей повышения надежности РЭА - введение схемной избыточности.
Повышение надежности РЭА резервированием. Резервирование - способ повышения надежности аппаратуры, заключающийся в дублировании РЭА в целом или отдельных ее модулей или элементов. Резервирование предполагает включение в схему устройства дополнительных элементов, которые позволяют скомпенсировать отказы отдельных частей устройств и обеспечить его надежную работу. Но резервирование эффективно только в том случае, когда неисправности являются статистически независимыми. Различают следующие виды резервирования: постоянное (резервные элементы включены вместе с основным и функционируют в тех же режимах); резервирование замещением (обнаружение отказавшего элемента и замена его резервным); скользящее резервирование (любой резервный элемент может замещать любой отказавший).
Если Pc(t) - вероятность безотказной работы системы, то установка и включение параллельно нескольких таких же систем приводит к увеличению результирующей вероятности безотказной работы резервированной системы P(t), которую можно определить из выражения:
P(t) = 1 – [1-Pc(t)]m+1,
где m - число резервных систем, включенных параллельно основной. Так, например, при вероятности безотказной работы модуля 0,7 включение одного резервного модуля повысит вероятность безотказной работы до 0,91, а двух - до 0,973.
В РЭА применяется общее (резервируются отдельные модули), и поэлементное резервирование на уровне микросхем или отдельных элементов. При одинаковом количестве резервных элементов поэлементное резервирование эффективнее общего, но требует большого числа дополнительных электрических связей.
Постоянное резервирование в РЭА производят по следующей схеме: входные сигналы поступают на n логических схем, причем n> k, где k — число логических схем в нерезервированной схеме. Выходные сигналы всех n логических схем далее подают на решающий элемент, который согласно функции решения по этим сигналам определяет значения выходных сигналов всей схемы. Функция решения - правило отображения входных состояний решающего элемента на множество его выходных состояний.
Простейший и наиболее распространенный вид функции решения - «закон большинства», или мажоритарный закон. Решающий элемент обычно называют мажоритарным элементом. Работа мажоритарного элемента состоит в следующем: на входы элемента поступают двоичные сигналы от нечетного количества идентичных элементов; выходной сигнал элемента принимает значение, равное значению, которое принимает большинство входных сигналов. Наиболее широко используют мажоритарные элементы, работающие по закону «2 из З». В этих элементах значение выходного сигнала равно значению двух одинаковых входных сигналов.
Кроме того, известны мажоритарные элементы, работающие по закону «З из 5», «4 из 7» и т. д. Схема мажоритарного элемента, работающего по закону «2 из З» и построенного из логических элементов И и ИЛИ, основана на выражении z = x1 x2 + x2 x3 + x1 x3 и имеет вид, изображенный на рис. 7.4.1.
Рис. 5.3.1. Схема мажоритарного элемента «2 из З»
По способу включения резервных элементов функциональных устройств различают три вида резервирования: постоянное, замещением и скользящее.При постоянном резервировании предполагают, что любой отказавший элемент или узел не влияет на выходные сигналы и поэтому его прямого обнаружения не производится. Постоянное резервирование наиболее распространено в невосстанавливаемых устройствах. Кроме того, оно является единственно возможным в устройствах, где недопустим даже кратковременный перерыв в работе.
Постоянное резервирование вводится или с помощью решающего блока, или в виде однотипных элементов или блоков, включенных последовательно, параллельно или, например, согласно законам k-кратной логики.
В качестве решающего блока можно использовать мажоритарные элементы с постоянными или переменными весами, кодирующие - декодирующие устройства и схемы из логических элементов И, ИЛИ, НЕ.
Резервирование замещением предполагает обнаружение отказавшего элемента или узла и подключение исправного. Замещение может происходить либо автоматически, либо вручную.
Резервирование замещением имеет следующие достоинства. Для многих схем при включении резервного оборудования не требуется дополнительно регулировать выходные параметры, вследствие того, что электрические режимы в схеме не меняются. Резервная аппаратура до момента включения в работу обесточена, что повышает общую надежность системы за счет сохранения ресурса электронных устройств. Имеется возможность использования одного резервного элемента на несколько рабочих.
Вследствие сложности аппаратуры для автоматического включения резерва резервирование замещением целесообразно применять к крупным блокам и отдельным функциональным частям РЭА.
При скользящем резервировании любой резервный элемент может замещать любой основной элемент. Для осуществления этого резервирования необходимо иметь устройство, которое автоматически находит неисправный элемент и подключает вместо него резервный. Достоинство такого резервирования в том, что при идеальном автоматическом устройстве будет наибольший выигрыш в надежности по сравнению с другими методами резервирования. Однако осуществление скользящего резервирования возможно лишь при однотипности элементов.
Информационные методы повышения надежности РЭА. Основное применение информационные методы находят в вычислительной технике. Реализуются они в виде корректирующих кодов. Назначение этих кодов состоит в том, чтобы обнаруживать и исправлять ошибки в РЭА без прерывания их работы.
Корректирующие коды предусматривают введение в изделия некоторой избыточности. Различают временную и пространственную избыточность. Временная избыточность характеризуется неоднократным решением задачи. Полученные результаты сравниваются, и если они совпадают, то делается вывод, что задача решена правильно. Временная избыточность вводится в РЭА программным путем.
Пространственная избыточность характеризуется удлинением кодов чисел, в которые вводят дополнительно контрольные разряды. Суть обнаружения и исправления ошибок с помощью корректирующих кодов состоит в следующем. В конечном множестве А выходных слов устройства выделяют подмножество В разрешенных кодовых слов (т. е. В А). Эти слова могут появиться лишь в том случае, если все арифметические и логические операции, выполняемые РЭА, осуществляются правильно. Тогда очевидно, что подмножество А – В = С(A \ B = С) будет характеризовать запрещенные кодовые слова. Последние имеют место только при наличии ошибок.
Далее все слова на выходе устройства анализируют. Например, если слово bi относится к подмножеству разрешенных кодовых слов (т. е. b B), то это означает, что процесс идет нормально; слово bi считают правильным и его можно декодировать.
Если на выходе устройства появляется запрещенное кодовое слово сi(ci C), то это свидетельствует о наличии ошибки, и она фиксируется.
Для устранения обнаруженных таким образом ошибок все запрещенные кодовые слова разбиваются на группы. Каждой такой группе ставится в соответствие только одно разрешенное кодовое слово. При декодировании запрещенные кодовые слова сi автоматически заменяются разрешенными кодовыми словами из той группы, к которой принадлежит ci.
Таким образом, корректирующие коды в состоянии не только обнаруживать ошибки, но и устранять их.
Расчет надежности РЭА. Определив из ТЗ требуемую вероятность безотказной работы аппаратуры, конструктор распределяет эту вероятность по составляющим РЭА модулям, подбирает элементы с необходимыми интенсивностями отказов, выявляет потребность и глубину резервирования, принимает меры по защите аппаратуры от воздействий дестабилизирующих факторов.
Расчет надежности РЭА состоит в определении числовых показателей надежности P(t) и Тср по известным интенсивностям отказов комплектующих РЭА элементов. При этом считается, что, если выход из строя любого элемента приводит к выходу из строя всей РЭА, то имеет место последовательное включение элементов. Усредненные данные по интенсивностям отказов микросхем, электрорадиоэлементов, узлов и электрическим соединениям известны /2/.
При конструировании необходимы данные об ожидаемых изменениях характеристик элементов в течение всего срока службы РЭА. Например, если разрабатывается аппаратура со сроком службы 10 лет, то необходимо предварительно в течение 10 лет, если не используется какой-либо метод ускоренных испытаний, собирать данные об изменении параметров комплектующих элементов, что в общем случае нереально, так как за это время может устареть как элементная база, так и сама разрабатываемая РЭА
Поэтому трудно ожидать совпадения реального и рассчитанного поведения системы, но расчеты надежности необходимо выполнять, так как в ТЗ на разработку всегда указываются требуемые показатели надежности.
Вероятность безотказной работы системы обычно вычисляется с использованием выражений:
Pc(t) = exp(-
(t) dt), (t) =
i(t),















