Лекций основы финансового менеджмента (555590), страница 13
Текст из файла (страница 13)
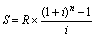
В нашем примере член ренты R неизменен в течение всего срока, процентная ставка i также постоянна. Поэтому наращенную величину ренты можно найти как сумму геометрической прогрессии с первым членом 3000 и знаменателем (1 + 0,2):
Следовательно, от общей формулы наращения ренты (1) можно перейти к ее частному случаю – формуле наращения аннуитета:
(2)
Второй сомножитель этого выражения – ((1 + i)n – 1) / i – называется множителем наращения аннуитета. Так же как и в случае с начислением процентов на единичные суммы, значения таких множителей табулированы, что позволяет облегчить процентные вычисления денежных потоков.
Наращение денежных потоков имеет место при периодическом внесении на банковский депозит фиксированных сумм с целью накопления финансового фонда к определенному моменту времени. Например, разместив долгосрочный облигационный заем, предприятие готовится к погашению суммы основного долга в конце срока займа путем периодического внесения на банковский счет фиксированных платежей под установленный процент. Таким образом к моменту погашения облигационного займа у предприятия накопятся достаточные средства в этом фонде. Аналогичные задачи решаются в ходе формирования пенсионного фонда или при накоплении суммы для оплаты обучения детей. Например, заботясь о своей старости, человек может наряду с обязательными отчислениями в государственный Пенсионный фонд, вносить часть своего ежемесячного заработка на банковский депозит под проценты. Наращение суммы такого вклада будет происходить по описанному выше алгоритму. Таким же путем предприятия могут формировать амортизационный фонд для плановой замены оборудования.
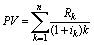
Обратный по отношению к наращению процесс – дисконтирование денежного потока имеет еще большую важность для финансового менеджмента, так как в результате определяются показатели, являющиеся в настояее время основными критериями принятия финансовых решений. Рассмотрим этот процесс более подробно. Предположим, что рассмотренный в нашем примере денежный поток характеризует планируемые поступления от реализации инвестиционного проекта. Доходы должны поступать в конце периода. Так как эти поступления планируется получить в будущем, а инвестиции, необходимые для выполнения проекта, должны быть произведены уже сегодня, предприятию необходимо сопоставить величину будущих доходов с современной величиной затрат. Как уже было сказано выше, использование для сравнения арифметической суммы членов потока (15 тыс. руб.) бессмысленно, так как эта сумма не учитывает влияние фактора времени. Для обеспечения сопоставимости данных величина будущих поступлений должна быть приведена к настоящему моменту, иными словами данный денежный поток должен быть дисконтирован по ставке 20%. Предприятие сможет определить сегодняшнюю стоимость будущих доходов. При этом процентная ставка будет выступать в качестве измерителя альтернативной стоимости этих доходов: она показывает, сколько денег могло бы получить предприятие, если бы разместило приведенную (сегодняшнюю) стоимость будущих поступлений на банковский депозит под 20%.
Дисконтирование денежного потока предполагает дисконтирование каждого его отдельного члена с последующим суммированием полученных результатов. Для этого используется дисконтный множитель математического дисконтирования по сложной процентной ставке i. Операции наращения и дисконтирования денежных потоков взаимообратимы, то есть наращенная сумма ренты может быть получена начислением процентов по соответственной сложной ставке i на современную (приведенную) величину этой же ренты (S = PV*; (1+i)n).
Таблица 2.3.2
Дисконтирование денежного потока
| № периода | 1 | 2 | 3 | 4 | 5 | Итого |
| 1.Член ренты, тыс. руб. | 3 | 3 | 3 | 3 | 3 | 15 |
| 2. Число лет от начальной даты | 1 | 2 | 3 | 4 | 5 |
|
| 3.Множитель дисконтирования | 1/(1+0,2)1 | 1/(1+0,2)2 | 1/(1+0,2)3 | 1/(1+0,2)4 | 1/(1+0,2)5 | – |
| 4.Приведенная величина, тыс. руб. (стр.1*; стр.3) | 2,5 | 2,08 | 1,74 | 1,45 | 1,21 | 8,98 |
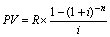
Из таблицы видно, что при альтернативных затратах 20% сегодняшняя стоимость будущих доходов составляет 8,98 тыс. руб. Именно эта величина и должна сравниваться с инвестициями для определения целесообразности принятия проекта или отказа от его реализации. Обобщая алгоритм, по которому выполнялись расчеты, получаем общую формулу дисконтирования денежных потоков:
(3)
Так как в нашем примере i и R постоянные величины, то снова применяя правило суммирования геометрической прогрессии, получим частную формулу дисконтирования аннуитета:
(4)
Второй сомножитель этого выражения – (1 – (1 + i)-n) / i – называется дисконтным множителем аннуитета.
Формулы (2) и (4) описывают наиболее общие случаи наращения и дисконтирования аннуитетов: рассматриваются только ограниченные ренты, выплаты и начисление процентов производятся 1 раз в году, используется только эффективная процентная ставка i. Так же как и в случае единичных сумм все эти параметры могут меняться. Поэтому существуют модифицированные формулы наращения и дисконтирования аннуитетов, учитывающие особенности отдельных денежных потоков. Основные из них, относящиеся к ограниченным денежным потокам, представлены в табл. 3.3.3.
Таблица 2.3.3
Основные формулы наращения и дисконтирования ограниченных аннуитетов
| Виды рент | Наращение | Дисконтирование |
| Годовая с начислением несколько раз в году |
|
|
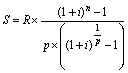
| p-срочная с начислением 1 раз в году |
|
|
| p- срочная с начислением несколько раз в году |
|
|
| p- срочная с начислением несколько раз в году |
|
|
| Годовая с начислением непрерывных процентов |
|
|
| p-срочная с начислением непрерывных процентов |
|
|
В табл. 2.3.3 не нашли отражения формулы расчета неограниченных денежных потоков, т.е. вечных рент или перпетуитетов. Существуют финансовые инструменты, предполагающие бессрочную выплату доходов их держателям. Одним из примеров таких ценных бумаг являются т.н. консоли (консолидированные ренты), эмитируемые британским казначейством начиная с XVIII века. В случае смерти владельца они передаются по наследству, обеспечивая тем самым действительную “бесконечность” денежного потока. Очевидно, что будущую стоимость ренты такого рода определить невозможно – ее сумма также будет стремиться к бесконечности, однако приведенная величина вечного денежного потока может быть выражена действительным числом. Причем, формула ее определения очень проста:
(17)
где R – член ренты (разовый платеж),
i – сложная процентная ставка.
Например, по условиям страхового договора компания обязуется выплачивать 5 тыс. рублей в год на протяжении неограниченного периода, т.е. вечно. Чему должна быть равна стоимость этого перпетуитета, если уровень процентной ставки составит 25% годовых? В соответствии с (17) текущая стоимость всех предстоящих платежей по договору будет равна 20 тыс. рублей (5 / 0,25).
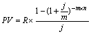
Если неограниченная рента выплачивается p раз в году, и начисление процентов по ней производится m раз за год, причем m = p, то формула расчета ее приведенной стоимости принимает вид:
, (18)
где j – номинальная процентная ставка.
Предположим, рассмотренный выше перпетуитет будет выплачиваться дважды в год по 2,5 тыс. рублей, столько же раз будут начисляться проценты (25% в этих условиях становится номинальной ставкой). Его стоимость останется неизменной 20 тыс. рублей ((2,5 + 2,5) / 0,25).
В наиболее общем виде (m > 1, p > 1, m ≠ p) формула приведенной стоимости перпетуитета записывается следующим образом:
(19)
В принципе, ее можно использовать во всех случаях, подставляя соответствующие значения параметров m, p, j, или i. Если предположить четырехразовое начисление процентов по рассматриваемому перпетуитету, то в соответствии с (19) его текущая стоимость составит: 19,394 тыс. рублей (5 / (2 * ((1 + 0,25 / 4)4/2 – 1))).
Интересно отметить связь существующую между годовой вечной и годовой ограниченной рентами (аннуитетами). Преобразовав правую часть формулы (4), получим:
(20)
То есть современная величина конечной ренты, имеющей срок n периодов, может быть представлена как разница между современными величинами двух вечных рент, выплаты по одной из которых начинаются с первого периода, а по второй – с периода (n+1).
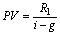
В случае, если член вечной ренты R ежегодно увеличивается с постоянным темпом прироста g, то приведенная стоимость такой ренты определяется по формуле:
, (21)
где R1 – член ренты в 1-м году.
Данная формула имеет смысл при g < i. Она применяется в оценке обыкновенных акций.
(5)
(11)
(6)
(12)
(7)
(13)
(8)
(14)
(10)
(16)















