F_05a_Контактная разность потенциалов (553284), страница 3
Текст из файла (страница 3)
При сшивании вершины валентной зоны ЕV в области металлургического перехода получается разрыв ΔEV. Величина "разрыва" равна:
Из приведенных соотношений следует, что суммарная величина "пичка" ΔEC и "разрыва" ΔEV составляет
.
На рисунке 2.19 приведена построенная таким образом зонная диаграмма гетероперехода pGe - nGaAs.
Рассмотрим зонную диаграмму гетероперехода из этих же материалов (германия и арсенида галлия), но с другим типом проводимости - pGaAs - nGe (рис. 2.20). Используем те же самые принципы при построении этой зонной диаграммы. Получаем, что в этом случае "разрыв" наблюдается в энергетическом положении дна зоны проводимости и величина этого "разрыва" ΔEC равна:
.
"Пичок" наблюдается в области металлургического перехода для энергии вершины валентной зоны EV. Величина "пичка" ΔEV равна:
Рис. 2.19. Зонная диаграмма гетероперехода pGe - nGaAs в равновесных условиях
Рис. Зонная диаграмма гетероперехода nGe - pGaAs в равновесных условиях
Аналогичным образом можно построить зонные диаграммы для гетеропереходов при любых комбинациях уровней легирования, ширины запрещенной зоны и электронного сродства. На рисунке 2.21 приведены соответствующие зонные диаграммы для различных типов гетеропереходов. Обращает на себя внимание тот факт, что "пичок" и "разрыв" для энергетических уровней EV, EC в области металлургического перехода могут наблюдаться в различных комбинациях .
Рис. Зонные диаграммы для различных типов гетеропереходов при условии, что термодинамическая работа выхода первого слоя меньше, чем второго (Ф1 < Ф2), и при различных комбинациях для электронного сродства (пояснения на рисунках)
Распределение электрического поля и потенциала в области пространственного заряда для гетероперехода будет как и в случае p-n перехода, но с различными значениями диэлектрических постоянных εs для левой и правой частей. Решение уравнения Пуассона в этом случае дает следующие выражения для электрического поля E, потенциала ψ и ширины обедненной области W1n и W2p при наличии внешнего напряжения:
(2.67)
(2.68)
(2.69)
Полная ширина области пространственного заряда гетероперехода W, равная W = W1n + W2p, будет описываться следующим уравнением:
(2.70)
Высота потенциального барьера в гетеропереходе Δφ0 будет определяться суммой потенциалов для каждой из областей гетероперехода:
(2.71)
Функциональная зависимость электрического поля и потенциала в области пространственного заряда гетероперехода от координаты будет соответственно линейной и квадратичной, как и в случае p-n перехода. Скачок электрического поля в гетеропереходе на металлургической границе обусловлен различными значениями диэлектрических постоянных ε1 и ε2. В этом случае, согласно теореме Гаусса,
(2.72)
На рисунке показаны распределения электрического поля и потенциала в области пространственного заряда гетероперехода.
Рис. Распределение электрического поля и потенциала в области пространственного заряда гетероперехода nGe - pGaAs
Рассмотрим зонную диаграмму гетероперехода при приложении внешнего напряжения V. Как и в случае p-n перехода, знак напряжения будет определяться знаком приложенного напряжения на p-область гетероперехода. На рисунке 2.23 приведены зонные диаграммы при положительном и отрицательном напряжениях на гетеропереходе nGe - pGaAs. Пунктиром на этих же зонных диаграммах изображены энергетические уровни в равновесных условиях V = 0.
Рис. 2.23. Зонные диаграммы гетероперехода nGe - pGaAs при положительном V > 0 и отрицательном V < 0 напряжениях. Пунктиром изображены энергетические уровни в равновесных условиях V = 0
Расчет вольт-амперных характеристик гетероперехода проводится исходя из баланса токов термоэлектронной эмиссии. Это рассмотрение было подробно проведено в разделе "Вольт-амперные характеристики для барьеров Шоттки". Используя тот же самый подход, для вольт-амперной характеристики гетероперехода получаем следующую зависимость:
(2.73)
Для различных типов гетеропереходов экспоненциальная зависимость тока от напряжения в виде (2.73) сохраняется, выражение для тока Js модифицируется.
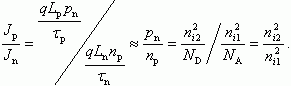
Для гетеропереходов типа pGe - nGaAs легко реализовать одностороннюю инжекцию, даже в случае одинакового уровня легирования в эмиттере pGe и базе nGaAs гетероперехода. Действительно, при прямом смещении отношение дырочной Jp и электронной Jn компонент инжекционного тока будет определяться отношением концентрации неосновных носителей:
(2.74)
Поскольку арсенид галлия - более широкозонный полупроводник, чем германий, то собственная концентрация в арсениде галлия (ni2) будет много меньше, чем в германии (ni1), следовательно, дырочная компонента Jp инжекционного тока будет много меньше, чем электронная компонента Jn. Весь инжекционный ток в гетеропереходе pGe - nGaAs будет определяться электронной компонентой.
На зонной диаграмме гетеропереходов видно, что в области "пичка" для электронов или дырок реализуется потенциальная яма. Расчеты электрического поля в этой области показывают, что его значение достигает величины E ~ 106 В/см. В этом случае электронный газ локализован в узкой пространственной области вблизи металлургической границы гетероперехода. Для описания такого состояния используют представление о двумерном электронном газе [21, 2, 20]. Решение уравнения Шредингера свидетельствует о наличии энергетических уровней, существенно отстоящих друг от друга (рис. 2.24).
Рис. 2.24. Зонная диаграмма гетероперехода, иллюстрирующая двумерное квантование
Физические свойства двумерного электронного газа существенно отличаются от свойств трехмерного электронного газа. Для двумерного электронного газа меняется плотность квантовых состояний в разрешенных зонах, спектр акустических и оптических фононов, а следовательно кинетические явления в двумерных системах (подвижность носителей, магнетосопротивление и эффект Холла). Экспериментальные исследования двумерного квантования вблизи металлургической границы гетероперехода позволили изучить и объяснить эти явления.
















