Лекции 3 Алехин (549045), страница 2
Текст из файла (страница 2)
Информация Обобщенный факт
Знания Эмпирические законы
Методы решения Теория
-
психологический
-
импульсивность / рефлексивность
-
ригидность / гибкость
-
полезависимость / поленезависимость
| контактный слой | процедурный слой | когнитивный слой |
| создание комфортной среды для общения с экспертом | организация процедуры общения. Чтобы извлечь из эксперта максимум полезной информации |
|
Типы знаний
-
поверхностные/глубинные
-
жесткие(достоверные)/мягкие(правдоподобные)
| МПЗ | глубина | достоверность | |||
| поверхностные | глубинные | достоверные | правдоподобные | ||
| Логические | + | + | |||
| Продукционные | + | + | + | ||
| Семантические сети (фреймы) | + | + | + | ||
| ОО МПЗ | + | + | + | + | |
Коммуникационные методы
| пассивные | активные | |
| ИЗ не влияет на эксперта
| индивидуальные | групповые |
|
| |
Приобретение знаний
| Уровни познания | ||||
| наблюдаемые факты | обобщенные факты | эмпирические законы | теоретические законы | |
| уровень восприятия | уровень отражения | |||
|
| |||
Средства приобретения знаний
Классификация
-
По области применения:
-
зависимые / независимые от ПО.
-
ориентированные на задачи анализа / синтеза.
-
По методам приобретения знаний?
-
ориентированные на инженера по знаниям / эксперта / группу экспертов.
-
По способу организации диалога с экспертом:
-
с / без тестирования БЗ.
-
с / без использования методов психосемантики
Использование методов психосемантики
-
Метод семантических дифференциалов Ч. Осгуда.
-
Метод репертуарной решётки Келли.
-
Многомерные сетевые шкалы.
-
Кластерный анализ.
-
Когнитивные графы (карты).
-
Метод семантических дифференциалов Ч. Осгуда
-
шкала оценки (значений),
-
шкала силы (оценивает важность)
-
шкала активности (оценивает надёжность понятия, насколько чётко понятие сформировано и надо ли в дальнейшем его уточнять).
Строится вектор = “сила управляющего воздействия”.
-
Метод репертуарной решётки
Элементы (признаки) Конструкты (полярности на соответствующих шкалах)
1. народ доминирование / подчинение
2. акция действие / бездействие
3. власть активность / пассивность
Далее строится матрица:
| Элементы | Конструкты | |||
| 1 | 2 | … | n | |
| народ | r1,1 | |||
| акция | ri,j | |||
| власть | r2,3 | |||
ri,j – ранги – степень важности соответствующего конструкта для данного элемента. Они шкалируются [0..9].
Строится модель конфликта на основе ri,j.
- консонанс.
- ассонанс.
- диссонанс.
- критический диссонанс.
-
Метод когнитивных карт
-
Пометка основных факторов, с которыми эс будет в дальнейшем оперировать.
-
Указание связей между понятиями.
-
Указание влияний связей.
-
Указание направлений связей.
-
Обобщение понятий (объединение нескольких фактов в одну конфликтную ситуацию).
-
Анализ областей устойчивости (на графовых моделях).
-
Система, выделяя слабые / сильные стороны, предлагает обобщить понятия.
Формирование знаний (machine learning)
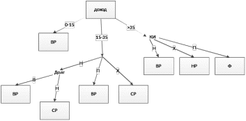
Пример: Задача оценки кредитного риска по данным из кредитной истории
Обучающая выборка
| № | Кредитная история | Долг | Поручитель | Доход | Кредитный риск |
| 1 | П | В | Н | 0-15 | В |
| 2 | Н | В | Н | 15-35 | В |
| 3 | Н | Н | Н | 15-35 | С |
| 4 | Н | Н | Н | 0-15 | В |
| 5 | Н | Н | Н | >35 | Н |
| 6 | Н | В | Е | >35 | Н |
| 7 | Н | Н | Н | 0-15 | В |
| 8 | Н | Н | Е | >35 | С |
| 9 | Х | Н | Н | >35 | Н |
| 10 | Х | В | Е | >35 | Н |
| 11 | Х | В | Н | 0-15 | В |
| 12 | Х | В | Н | 15-35 | С |
| 13 | Х | В | Н | >35 | Н |
| 14 | П | В | Н | 15-35 | В |
Дерево решений
Данная система пытается строить дерево. Дерево может быть построено по-разному, в зависимости от того какой признак взять за основной. Нераспознаваемой ситуации быть не может (т.е. нет висячих вершин)
ДСМ-метод (Финн В.К.)
КАТ=<A, H, 1 , 2> , где
A – множество аксиом
H – множество гипотез
1 – достоверный вывод
2 – правдоподобный вывод
Пример: Система, позволяющая научить робота отличать фрукты от не фруктов
Обучающая выборка
| Примеры | Цвет | Твердость | Гладкость | Форма | Фрукт? |
| Яблоко | Ж | НЕТ | ДА | КРУГ | + |
| Грейпфрут | Ж | НЕТ | НЕТ | КРУГ | + |
| Киви | З | НЕТ | НЕТ | ОВАЛ | + |
| Слива | К | НЕТ | ДА | ОВАЛ | + |
| Кубик | К | ДА | ДА | КВАДРАТ | - |
| Яйцо | Б | ДА | ДА | ОВАЛ | - |
| Теннисный мячик | Б | НЕТ | НЕТ | КРУГ | - |
Решающее правило (продукционное правило)
-
Если О (Объект) есть (Ж & !Твердый & Круг) V (Гладкий & !Твердый) V (!Твердый & !Круг), то О – Фрукт
-
Если О есть Б V (Твердый & Гладкий & !Круг), то О - !Фрукт
Дерево решений
Можно построить дерево руководствуясь принципом - сначала самые информативные вершины
Примеры
-
Манго = (Ж & !Твердый & Гладкий & Овал) → Фрукт
-
Необожженный кирпич = (Б & Твердый & Гладкий & Прямоуг) → !Фрукт
-
Обычный кирпич = (Kp & Твердый & !Гладкий & Прямоуг) →???
В данном случае потребуется дообучить систему продукционных правил. При этом ДР дает ответ - !Фрукт.
В дереве нет висячих вершин, поэтому оно гарантирует решение. Продукционные правила решение не гарантируют.
17
















