RU (546769), страница 3
Текст из файла (страница 3)
Таблица 1. Сравнение времени вычисления для двух тестов
| Особенности | Время выполнения на I тесте, сек | Время выполнения на II тесте, сек |
| gfortran+LAPACK | 240 | 530 |
| gfortran+LAPACK + оптимизация | 230 | 505 |
| ifort+LAPACK | 210 | 490 |
| ifort+MKL | 115 | 250 |
| ifort+MKL+ оптимизация | 105 | 230 |
| ifort+MKL+ оптимизация+учет свойств разреженности | 33 | 44 |
| Matlab 2010b | 27 | 45 |
| Matlab 2010b + CUDA | 22 | 33 |
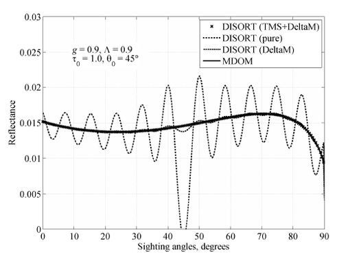
Рассмотрим теперь эффективность различных методов ликвидации мнимой части численным сравнением вычисления углового распределения излучений для той же задачи разными кодами: DISCORT и MDOM в скалярном случае, и PSTAR и MVDOM – в векторном. Стоит отметить, что скорость расчетов DISCORT может быть значительно увеличена с помощью алгоритмов разреженных матриц в подпрограмме ZEROIT, которая зануляет данную матрицу. В этом случае скорость для достаточно гладких фазовых функций (r<0.9) MDOM и DISORT того же порядка. Для фазовой функции Хеньи-Гринштейна r=0.98, метод ликвидации мнимой части оказался лучше. На рисунке 1 представлено численное сравнение, отражающее расчеты для средней анизотропии рассеяния, а на втором – сильная анизотропия.
Рисунок 1. Сравнение MDOM и DISORT в случае средней анизотропии
Рисунок 2. Сравнение MDOM и DISORT в случае сильной анизотропии
Обратим внимание, что даже средняя степень анизотропии рассеяния обязательно требует использования TMS метода. Выделение особенностей решения на основе МСГ работает независимо от степени анизотропии. Время работы в первом случае примерно
то же
сек, но сильно отличается во втором случае: MDOM
сек, а DISORT
сек.
Совершенно аналогичные результаты были получены в векторном случае. Мы сравнили PSTAR и MVDOM в случаях фазовых матриц для нормального логарифмического распределения с параметрами
; и геометрии схемы наблюдения с
. На рисунке 3 показано сравнение расчетов углового распределения поляризации, передающейся плите, а на рисунке 4 приводится сравнение отраженного излучения.
Рисунок 3. Поляризация передающегося излучения
Рисунок 4. Поляризация отраженного излучения
Для получения наилучших результатов мы использовали следующие параметры:N=71, K=171, M=20 в коде MVDOM и 30 потоков в коде Pstar.Сравнение результатов показало идеальное совпадение на уровне машинной точности компьютера, но время вычислений составило 11 секунд для MVDOM и боле 180 секунд для PSTAR.
7. Выводы
Дискредитированное ВУПИ для плиты имеет единственное аналитическое решение в матричной форме. Высокий уровень оптимизации пакетов линейной алгебры допускает реализацию одного алгоритма для этого решения на компьютере. Различные реализации отличаются способом ликвидации мнимой части решения. Принимая во внимание наш алгоритмический анализ, аналитическая ликвидация мнимой части, основанная на МСГ, предположительно более точна, чем TMS-метод. При реализации алгоритма необходимо использовать свойства разреженных матриц, а при использовании процессоров семейства Intel применение библиотеки MKL является очень существенным.















