Еще одно великолепное ДЗ (544800), страница 2
Текст из файла (страница 2)
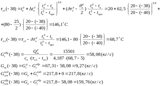
Температурный перепад в системе отопления в рабочем режиме:
Разность температур сетевой воды в отопительных приборах в расчетном режиме:
Температурный напор отопительных приборов в расчетном режиме:
Относительная отопительная тепловая нагрузка:
Методом последовательных приближений находим значение: tни = 3,8687 ºС
Определение температур сетевой воды в подающем и обратном трубопроводе тепловой сети и на входе в отопительные приборы в зависимости от температуры наружного воздуха:
Последовательно принимая значение tн = -35; -30; -25; -20; -15; -10; -5; 0; 3,8687 ºС , находим значения
, τо1, τо2, τо3 и заносим их в сводную таблицу 3.1.
Таблица 3.1. Сводная таблица значений температур сетевой воды в зависимости от температуры наружного воздуха при центральном качественном регулировании тепловой нагрузки:
| tн , ºС | Qо, МВт | τо1, ºС | τо2, ºС | τо3, ºС | |
| -40 | 1,00 | 73,00 | 150 | 70,0 | 95,0 |
| -35 | 0,92 | 66,92 | 140,2 | 66,8 | 89,8 |
| -30 | 0,83 | 60,83 | 130,3 | 63,6 | 84,4 |
| -25 | 0,75 | 54,75 | 120,3 | 60,3 | 79,0 |
| -20 | 0,67 | 48,67 | 110,2 | 56,9 | 73,5 |
| -15 | 0,58 | 42,58 | 100,0 | 53,3 | 67,9 |
| -10 | 0,50 | 36,50 | 89,6 | 49,6 | 62,1 |
| -5 | 0,42 | 30,42 | 79,1 | 45,8 | 56,2 |
| 0 | 0,33 | 24,33 | 68,5 | 41,8 | 50,1 |
| 3,8687 | 0,27 | 19,63 | 60,0 | 38,5 | 45,2 |
В “зоне излома” температурного графика регулирование отопительной тепловой нагрузки производиться “местными пропусками”. При этом методе регулирования теплообменные аппараты тепловой сети работают при постоянной температуре сетевой воды в подающем трубопроводе. Следовательно, температура сетевой воды в обратном трубопроводе тепловой сети также постоянна.
Таким образом, на всей “зоне излома” τо1 = 60 ºС, τо2 = 38,5 ºС
Определение температуры сетевой воды на входе в отопительные приборы в зависимости от температуры наружного воздуха:
Последовательно принимая значение tн = 4; 5; 6; 7; 8 ºС , находим значения
и τо3 и заносим их в сводную таблицу 3.2.
Таблица 3.2. Сводная таблица значений температур сетевой воды в зависимости от температуры наружного воздуха в “зоне излома” при регулировании тепловой нагрузки “местными пропусками”:
| tн , ºС | Qо, МВт | τо1, ºС | τо2, ºС | τо3, ºС | |
| 3,8687 | 0,27 | 19,63 | 60 | 38,5 | 45,2 |
| 4 | 0,27 | 19,47 | 60 | 38,5 | 45,2 |
| 5 | 0,25 | 18,25 | 60 | 38,5 | 44,8 |
| 6 | 0,23 | 17,03 | 60 | 38,5 | 44,3 |
| 7 | 0,22 | 15,82 | 60 | 38,5 | 43,9 |
| 8 | 0,20 | 14,60 | 60 | 38,5 | 43,5 |
Определение расхода сетевой воды в подающем трубопроводе тепловой сети:
Определение расхода сетевой воды, подаваемой на отопительные приборы:
Таблица 3.3. Сводная таблица расходов сетевой воды в зависимости от температуры наружного воздуха:
| tн , ºС | Gо, кг/с | Gо3, кг/с |
| -40 | 217,8 | 696,9 |
| -35 | 217,8 | 696,9 |
| -30 | 217,8 | 696,9 |
| -25 | 217,8 | 696,9 |
| -20 | 217,8 | 696,9 |
| -15 | 217,8 | 696,9 |
| -10 | 217,8 | 696,9 |
| -5 | 217,8 | 696,9 |
| 0 | 217,8 | 696,9 |
| 3,8687 | 217,8 | 696,9 |
| 4 | 216,1 | 696,9 |
| 5 | 202,6 | 696,9 |
| 6 | 189,1 | 696,9 |
| 7 | 175,6 | 696,9 |
| 8 | 162,1 | 696,9 |
Графики температур и расхода сетевой воды в зависимости от температуры наружного воздуха представлены на рисунках 3.1 и 3.2 соответственно.
3.2. Расчет местного подрегулирования отпуска теплоты для систем горячего водоснабжения жилых и общественных зданий.
Определение величины расчетного расхода сетевой воды, которая поступает к водоразборным приборам:
Весь интервал наружных температур от tн = tнро = -40 ºС до tн = +8 ºС разбиваем на 3 зоны:
1) Первая зона возникает, когда
, следовательно, tн = tнг при
В первой зоне весь водоразбор сетевой воды для систем горячего водоснабжения осуществляется из обратного трубопровода тепловой сети. Следовательно, доля расхода сетевой воды, поступающей на горячее водоснабжение из подающего трубопровода тепловой сети:
А доля расхода сетевой воды, поступающей на горячее водоснабжение из обратного трубопровода сетевой воды:
Составляем систему уравнений для определения
:
Решив систему уравнений, найдем, что
Определение расхода сетевой и водопроводной воды на горячее водоснабжение в первой зоне:
Последовательно принимая значение tн = -40; -38; -36; -34; -32; -30; -28; -26; -24,591 ºС , находим значения
и заносим их в сводную таблицу.
Таблица 3.4. Сводная таблица значений температур и расходов сетевой воды в подающем и обратном трубопроводах в зависимости от температуры наружного воздуха в первой зоне:
| tн , ºС | τо1, ºС | τо2, ºС | ||||||
| -40 | 150,0 | 70,0 | 56,96 | 0 | 10,39 | 217,8 | 217,8 | 160,88 |
| -38 | 146,1 | 68,7 | 58,08 | 0 | 9,27 | 217,8 | 217,8 | 159,76 |
| -36 | 142,1 | 67,5 | 59,26 | 0 | 8,10 | 217,8 | 217,8 | 158,59 |
| -34 | 138,2 | 66,2 | 60,50 | 0 | 6,86 | 217,8 | 217,8 | 157,35 |
| -32 | 134,2 | 64,9 | 61,80 | 0 | 5,55 | 217,8 | 217,8 | 156,04 |
| -30 | 130,3 | 63,6 | 63,18 | 0 | 4,18 | 217,8 | 217,8 | 154,67 |
| -28 | 126,3 | 62,3 | 64,63 | 0 | 2,73 | 217,8 | 217,8 | 153,22 |
| -26 | 122,3 | 60,9 | 66,17 | 0 | 1,19 | 217,8 | 217,8 | 151,68 |
| -24,591 | 119,5 | 60,0 | 67,31 | 0 | 0,05 | 217,8 | 217,8 | 150,54 |
2) Вторая зона возникает, когда
















