Еще одно великолепное ДЗ (544800), страница 3
Текст из файла (страница 3)
Во второй зоне водоразбор сетевой воды для систем горячего водоснабжения осуществляется как из обратного трубопровода тепловой сети, так и из подающего трубопровода тепловой сети.
При этом 0 ≤ β ≤ 1, а 1 ≥ 1- β ≥ 0.
Из вышесказанного следует, что:
.
Определение расхода сетевой и водопроводной воды на горячее водоснабжение во второй зоне:
Последовательно принимая значение tн = -24,591; -22; -20; -18; -16; -14; -12; -10; -8; -6; -4; -2; 0; 2; 3,8687 ºС , находим значения
и заносим их в сводную таблицу.
Таблица 3.5. Сводная таблица значений температур и расходов сетевой воды в подающем и обратном трубопроводах в зависимости от температуры наружного воздуха во второй зоне:
| tн , ºС | τо1, ºС | τо2, ºС | ||||||
| -24,591 | 119,5 | 60,0 | 67,26 | 0 | 0,05 | 217,8 | 217,8 | 150,54 |
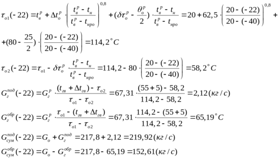
| -22 | 114,2 | 58,2 | 65,19 | 2,12 | 0 | 217,8 | 219,92 | 152,61 |
| -20 | 110,2 | 56,9 | 63,34 | 3,97 | 0 | 217,8 | 221,77 | 154,46 |
| -18 | 106,1 | 55,5 | 61,27 | 6,04 | 0 | 217,8 | 223,84 | 156,53 |
| -16 | 102,0 | 54,0 | 58,94 | 8,37 | 0 | 217,8 | 226,17 | 158,86 |
| -14 | 97,9 | 52,6 | 56,31 | 11,00 | 0 | 217,8 | 228,80 | 161,49 |
| -12 | 93,8 | 51,1 | 53,32 | 13,99 | 0 | 217,8 | 231,79 | 164,48 |
| -10 | 89,6 | 49,6 | 49,89 | 17,42 | 0 | 217,8 | 235,22 | 167,91 |
| -8 | 85,5 | 48,1 | 45,92 | 21,39 | 0 | 217,8 | 239,19 | 171,88 |
| -6 | 81,3 | 46,6 | 41,29 | 26,02 | 0 | 217,8 | 243,82 | 176,51 |
| -4 | 77,0 | 45,0 | 35,82 | 31,49 | 0 | 217,8 | 249,29 | 181,98 |
| -2 | 72,8 | 43,4 | 29,28 | 38,03 | 0 | 217,8 | 255,83 | 188,52 |
| 0 | 68,5 | 41,8 | 21,34 | 45,97 | 0 | 217,8 | 263,77 | 196,46 |
| 2 | 64,1 | 40,1 | 11,51 | 55,80 | 0 | 217,8 | 273,60 | 206,29 |
| 3,8687 | 60,0 | 38,5 | 0,00 | 67,31 | 0 | 217,8 | 285,11 | 217,8 |
3) Третья зона возникает, когда
В третьей зоне водоразбор сетевой воды для систем горячего водоснабжения осуществляется только из подающего трубопровода тепловой сети.
При этом β =1, а 1- β = 0.
Определение расхода сетевой и водопроводной воды на горячее водоснабжение во второй зоне:
Последовательно принимая значение tн = 3,8687; 4; 5; 6; 7; 8 ºС , находим значения
и заносим их в сводную таблицу.
Таблица 3.6. Сводная таблица значений температур и расходов сетевой воды в подающем и обратном трубопроводах в зависимости от температуры наружного воздуха в третьей зоне:
| tн , ºС | τо1, ºС | τо2, ºС | ||||||
| 3,8687 | 60,0 | 38,5 | 0,00 | 67,31 | 0 | 217,8 | 285,11 | 217,8 |
| 4 | 60,0 | 38,5 | 0,00 | 67,31 | 0 | 216,8 | 284,11 | 216,80 |
| 5 | 60,0 | 38,5 | 0,00 | 67,31 | 0 | 202,6 | 269,91 | 202,60 |
| 6 | 60,0 | 38,5 | 0,00 | 67,31 | 0 | 189,1 | 256,41 | 189,10 |
| 7 | 60,0 | 38,5 | 0,00 | 67,31 | 0 | 175,6 | 242,91 | 175,60 |
| 8 | 60,0 | 38,5 | 0,00 | 67,31 | 0 | 162,1 | 229,41 | 162,10 |
4. Гидравлический расчет водяной тепловой сети.
По принципиальной схеме водяной тепловой сети определяется наиболее удаленный потребитель от источника теплоснабжения:
Расстояния от источника теплоснабжения до второго и третьего жилых микрорайонов одинаковы. Будем считать, что головная магистраль проходит от источника теплоснабжения до третьего жилого микрорайона, тогда:
1, 2 и 3 участки – это участки головной магистрали;
4 и 5 участки – это участки ответвлений от головной магистрали.
Определение расчетных расходов сетевой воды на всех участках тепловой сети:
Так как система теплоснабжения водяная открытая с тепловой нагрузкой менее 100 МВт,
то k3 = 0,8
Пятый участок:
Четвертый участок:
Третий участок:
Второй участок:
Первый участок:
По справочным данным определяем физические свойства сетевой воды в подающем и обратном трубопроводе:
Определение средних значений для плотности и кинематической вязкости сетевой воды:
Задаемся скоростью движения сетевой воды в трубопроводе : Vв = 2,5 м/с
Проведем гидравлический расчет третьего участка:
Внутренний диаметр трубопровода на третьем участке тепловой сети:
По справочным данным принимаем ближайшее значение внутреннего диаметра трубопровода, которое соответствует ГОСТу:
По принятому
уточняем скорость движения сетевой воды в трубопроводе тепловой сети:
Определяем режим и зону течения сетевой воды в трубопроводе:
Так как
, то используем формулу Шифринсона:















