Шпоры по Анкину от Ревонченкова (539010)
Текст из файла
1. Виды механообработок
1) Токарная обработка. Заготовка устанавливается на станке и обрабатывается резцом. Вращается заготовка, а инструмент подается продольно или поперечно. Иногда и так и так одновременно.
2) Сверление. Сверло служит при первичном формировании отверстия, затем используют зенкеры и развёртки. На сверлильных станках используются 2 или 3 движения: вращение инструмента, подача инструмента, иногда подача заготовки. У ЧПУ ещё одна координата.
3) Фрезерование. Главное движение – вращение фрезы, вспомогательное перемещение стола. Бывают горизонтально- и вертикально-фрезерные станки. В фрезерных станках с ЧПУ, иногда добавляется ещё одно движение – поворот силовой головки.
4) Обработка ППД (поверхностно пластическая деформация). Виды – выглаживание и накатывание, рабочие элементы: шарики и ролики
2. Инструментальные материалы, применимость.
Подразделяются на два типа: быстрорежущие стали и твёрдые сплавы. Инструменты изготавливают: из быстрорежущих сталей, потому что они дешевле и их можно много раз перетачивать. Недостатки: низкая стойкость и низкая производительность оборудования (нельзя использовать на больших скоростях) Р9, Р18. Твёрдый сплав получают спеканием (ВК6, Т5К10). ВК – вольфрам и кобальт, ТК – титан и кобальт. У твёрдых сплавов высокая износостойкость и производительность. Недостатки: дороговизна (делают режущие пластины). Бывают многогранные и неперетачиваемые пластины. Так же применяют минералокерамику. Для абразивной обработки используют режущие зёрна (минералы) и связующие компоненты.
4. Виды заготовок, методы получения.
а) сортовой материал, изготовляемый прокатом, волочением и т.п. из черных металлов и цветных сплавов (прутки круглого, квадратного и шестигранного сечения, трубы, плоский прокат - листы, полосы, ленты).
б) отливки (литые заготовки);
в) поковки и штамповки.
Заготовки из сортового материала применяются, когда профиль материала соответствует профилю детали. Круглые прутки и трубы применяются для изготовления деталей, имеющих форму тел вращения (осей, валиков, втулок и т.п.). Прутки получают (убывание по мощности): высаженным методом, холоднотянутые, горячетянутые, холоднокатаные, горячекатаные. Прутки разделывают на заготовки на отрезных станках.
5. Токарная обработка: кинематика процесса формообразования.
Это обработка резанием наружных и внутренних цилиндрических и конических поверхностей, торцевание, отрезание, снятие фасок, прорезание канавок, нарезание внутренних и наружных резьб. На токарных станках формы деталей ограничены телами вращения, движение инструмента — в одной плоскости. Главное движение резания - вращательное движение заготовки, а поступательное движение режущего инструмента — движение подачи. Заготовка устанавливается на станке и обрабатывается резцом. На станках с ЧПУ в приводе главного движения исп. Двигатель с тиристорным преобразователем и частота вращения зависит от частоты питающего напряжения. В место коробки подач шаговый двигатель.
6. Токарная обработка: инструмент.
Инструменты, – режущие. При работе на токарных станках используются различные режущие инструменты: резцы, сверла, зенкеры, развертки, метчики, плашки, резьбонарезные головки и др. При использовании на станках с ЧПУ резцы имеют многогранные не перетачиваемые планки
1) Проходные – наружная обработка, продольная подача.
2) Подрезные – поперечная подача.
3) Поковочные или отрезные – нарезание канавок
4) Резьбовые – нарезание резьбы.
5) Расточные.
Резцы бывают с различной геометрией. Углы и 1 выбираются в зависимости от детали.
В станках с ЧПУ применяются резцы с МНП (многогранными неперетачиваемыми пластинами).
7. Сверлильная обработка: кинематика процесса формообразования.
Сверлильные станки предназначены для сверления глухих и сквозных отверстий в сплошном материале, рассверливания, зенкерования, развертывания, нарезания внутренних резьб. Формообразующими движениями при обработке отверстий являются главное вращательное движение инструмента и поступательное движение подачи инструмента по его оси, иногда подача заготовки. В станках с ЧПУ присутствует ещё одна координата.
8. Сверлильная обработка: инструмент.
При сверлильной обработке применяют свёрла, зенкеры и развёртки. 1) Сверло с коническим базированием (хвостовиком). 2) Зенкеры. 3) Развёртки. Свёрла используют для первичного формирования отверстия, зенкеры для получистовой и развёртки для чистовой обработки.
9. Обработка на вертикально-фрезерных станках: кинематика процесса формообразования.
Главное движение — вращение фрезы, а движение подачи — относительное перемещение заготовки и фрезы, стол станка может перемещаться только перпендикулярно или вместе с салазками параллельно оси шпинделя. Во фрезерных станках с ЧПУ, иногда добавляется ещё одно движение – поворот силовой головки.
10. Обработка на вертикально-фрезерных станках: инструмент.
Применяется два вида инструмента:
1) Пальцевые фрезы, 2) Торцевые фрезы.
Фреза – режущий много лезвийный инструмент в виде тела вращения с зубьями.
11. Обработка на горизонтально-фрезерных станках: кинематика процесса формообразования.
Главное движение – вращение шпинделя. Стол, на котором закрепляют заготовку, имеет продольное перемещение по направляющим салазок. Шпиндельная головка смонтирована в верхней части станины и может поворачиваться в вертикальной плоскости. При этом ось шпинделя можно поворачивать под углом к плоскости рабочего стола
Во фрезерных станках с ЧПУ, иногда добавляется ещё одно движение – поворот силовой головки.
12. Обработка на горизонтально-фрезерных станках: инструмент.
В большинстве случаев на горизонтально-фрезерных станках применяют дисковые фрезы.
13. Классификация систем управления по типу управления.
По типу управления системы управления подразделяются на цикловые (ЦПУ) и числовые (ЧПУ). Главное отличие заключается в виде задания программы: в числовых – цифрами, а в цикловых имеет механический вид (перфокарты или перфоленты) по этому при изменении детали приходится изготавливать новый программа-носитель. Управляющая программа ЦПУ это алгоритм согласованных последовательных перемещений рабочих органов, а у ЧПУ – программа в двоичном виде. Считывающее устройство ЦПУ – механический процесс считывания, а у ЧПУ – головка (магнитная или оптическая).
14. Классификация систем управления по виду централизации.
По виду централизации системы управления делятся на централизованные системы, в которых происходит согласованное управление несколькими объектами и децентрализованные системы, где управление происходит каждым объектом отдельно от остальных.
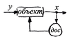
15. Классификация систем управления по наличию обратной связи.
При классификации систем управления по наличию обратной связи можно выделить: 1) разомкнутые СУ (без ОС).
2) замкнутую СУ (с активной ОС).
3) адаптивную СУ.
дос – датчик обратной связи
дув – датчик управляющего воздействия
16. Классификация систем управления по технологическим возможностям.
По технологическим возможностям системы управления на:
1) Позиционные (сверлильные и координатно-расточные станки) – программирование координат центров отверстий. 2) Контурные (фрезерные и токарные станки) – программируют координаты центров и перемещений. 3) Координатно-контурные (фрезерные и токарные станки).
4) Самообучающиеся – сложная система ЧПУ с определённым интеллектом.
17. Классификация систем управления по виду программо-носителя.
ЦПУ: Перфокарты (производительность, точность передачи информации «-» неудобства хранения, не понимание того что написано, ветхость). Перфоленты (дешево, надежность передачи информации удобство хранения «-» ветхость). ЧПУ накопители на магнитных дисках (удобство хранения, точность передачи инф. «-» большой размер считывающих устройств). Накопители на магнитных лентах (компактность, удобство хранения, «-»не высокая скорость считывания). Накопители на магнитных дисках 5.25, 3.5 и т.д
18. Блок-схема системы управления.
Чертёж детали > Управляющая программа > Программо-носитель > Считывающее устройство > Арифметическо-логическое устройство > Устройство управлением приводами > Двигатель привод > Рабочий орган > Деталь.
19. ЦПУ упорами и конечными переключателями.
В системах с ЦПУ с упорами и конечными переключателями возможны две степени управления: с подвижными и неподвижными путевыми переключателями. Путевые переключатели бывают контактные и бесконтактные (электромагнитные и емкостные). *1-считывающие устройства, *2-программоноситель (линейка с переключателями).
«-» нельзя обрабатывать криволинейные детали.
20. ЦПУ копирами.
Системы управления ЦПУ с копирами делятся на: 1) с жёсткой связью, *1-рабочий орган, *2-считывающее устройство, *3-управляющая программа (траектория).
2) со следящим приводом.
Недостаток – ограничение по сложности профиля детали.
21. ЦПУ кулачками.
Кулачки разделяются на дисковые и цилиндрические.
Кулачки бывают 3х родов. (хх – холостой ход РО, рх – рабочий ход РО, t - время)
Характеристики
Тип файла документ
Документы такого типа открываются такими программами, как Microsoft Office Word на компьютерах Windows, Apple Pages на компьютерах Mac, Open Office - бесплатная альтернатива на различных платформах, в том числе Linux. Наиболее простым и современным решением будут Google документы, так как открываются онлайн без скачивания прямо в браузере на любой платформе. Существуют российские качественные аналоги, например от Яндекса.
Будьте внимательны на мобильных устройствах, так как там используются упрощённый функционал даже в официальном приложении от Microsoft, поэтому для просмотра скачивайте PDF-версию. А если нужно редактировать файл, то используйте оригинальный файл.
Файлы такого типа обычно разбиты на страницы, а текст может быть форматированным (жирный, курсив, выбор шрифта, таблицы и т.п.), а также в него можно добавлять изображения. Формат идеально подходит для рефератов, докладов и РПЗ курсовых проектов, которые необходимо распечатать. Кстати перед печатью также сохраняйте файл в PDF, так как принтер может начудить со шрифтами.
















