персептрон (538259)
Текст из файла
Лабораторная работа №2
Персептрон и его свойства
Персептрон представляет собой простейшую форму нейронной сети, предназначенную для классификации линейно разделимых сигналов. Персептрон состоит из одного нейрона с настраиваемыми синоптическими весами и порогом.
Первый алгоритм настройки свободных параметров дл такой нейронной сети был создан Ф.Розенблаттом в 1957 году(зрительный анализатор «Марк-1»). Нейрон используемый в качестве блока модели персептрона имеет структурную функцию активации hardlin. Каждый элемент вектора входа персептрона взвешен с соответствующим весом WiR и их сумма является входом функции активации. Нейрон персептрона возвращает единицу, если вход функции активации больше 0 и нуль,если вход функции меньше 0.
Архитектура персептрона в нейроне
Функция активации с жесткими ограничениями обеспечивает персептрону классификацию векторов входа, разделяя пространства входов на две области( классы).
Архитектура персептрона
I(I=1,S)-
нейрон слоя персептрона
коэффициенты(веса) передачи от
входа к
нейрону
вход функции активации от
нейрона
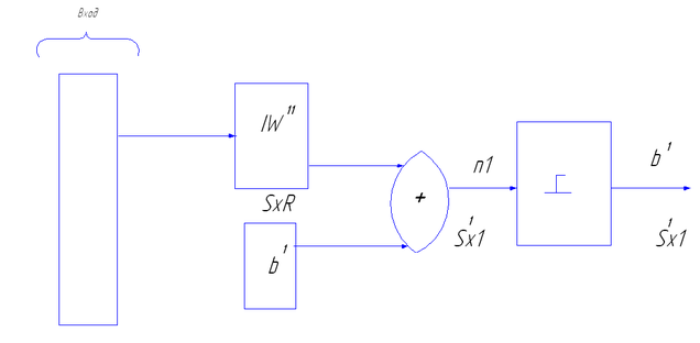
Свернутая структурная схема персептрона
P-матрица входа размера Rx1
матрица весов размером
, где S’-количество нейронов в первом слое(в данном случае нейрон единственен)
R-количество входов
-матрица входов функции активации размером
x 1
Характеристики
Тип файла документ
Документы такого типа открываются такими программами, как Microsoft Office Word на компьютерах Windows, Apple Pages на компьютерах Mac, Open Office - бесплатная альтернатива на различных платформах, в том числе Linux. Наиболее простым и современным решением будут Google документы, так как открываются онлайн без скачивания прямо в браузере на любой платформе. Существуют российские качественные аналоги, например от Яндекса.
Будьте внимательны на мобильных устройствах, так как там используются упрощённый функционал даже в официальном приложении от Microsoft, поэтому для просмотра скачивайте PDF-версию. А если нужно редактировать файл, то используйте оригинальный файл.
Файлы такого типа обычно разбиты на страницы, а текст может быть форматированным (жирный, курсив, выбор шрифта, таблицы и т.п.), а также в него можно добавлять изображения. Формат идеально подходит для рефератов, докладов и РПЗ курсовых проектов, которые необходимо распечатать. Кстати перед печатью также сохраняйте файл в PDF, так как принтер может начудить со шрифтами.
















