lekcii2 (520901), страница 4
Текст из файла (страница 4)
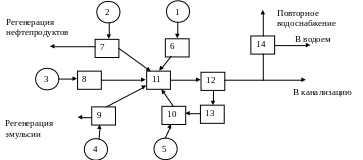
1,2,3,4,5 – сточные воды от характерных технологических процессов.
1 – вода с преобладанием механических примесей
2 – с нефтепродуктами и эмульсиями
3 – летучие нефтепродукты
4 – моющих растворов и эмульсий
5 – растворенные токсические соединения
6 – 10 – локальные очистные сооружения
11 – усреднитель для разбавления сточной воды
12 – общезаводские очистные сооружения
13 – участок для обработки осадков сточных вод
14 – устройство доочистки воды
очистные сооружения рассчитаны на определенные концентрации, на определенный вид примесей.
Схема водоснабжения прокатного стана
В основном, в сточных водах содержаться окалина и частицы масла, которое используется для охлаждения РО.
Расчет допустимого состава сточных вод в зависимости от:
-
преобладающего вида примеси
-
характеристики водоема, куда сбрасывается сточная вода
Совзв<= СВвзв + nПДКвзв
Совзв – очищенная вода
СВвзв - концентрация взвешенных веществ в водоеме до сброса сточных вод
ПДКвзв – концентрация взвешенных веществ
n – кратность разбавления сточных вод в воде водоема, характеризует долю растворенной воды водоемом, участвующей в процессе перемешивания и разбавления сточных вод
Для растворенных веществ
Сорас i <= n(Сmi – CBi) + CBi
Сорас i – концентрация i-го растворенного вещества в очищенных сточных водах.
CBi - концентрация i-го растворенного вещества в воде водоема до сброса i-го растворенного вещества
Сmi – максимальная концентрация того же вещества с учетом максимальной концентрации и ПДК веществ, отнесенной к одной группе ЛПВ
Сmi i Ci/ПДКi <=1
Процесс разбавления сточных вод связан с перемешиванием сточных вод с водой водоема, куда сбрасывается сток.
n – зависит от типа водоема, С – концентрация после перемешивания
n=(Со - СВ) / (С - СВ) – для озера, водохранилища
n=(mQВ – QV) / QV – для водоема с проточной водой
QB – объемный расход воды
QV - объемный расход сточных вод
m – коэффициент смешения, какая часть волы участвует в перемешивании
В створе сброса m=1, на расстоянии m уменьшается до m установивш.
Процесс разбавления различных рек и озер.
Для рек, зона начального разбавления, значительно короче, чем для озер.
Примеры расчета ПДС.
ПДС – предельно допустимый сброс.
Исходные данные:
-
сброс в черте населенного пункта, вода используется для децентрализованного водоснабжения 1 категории
-
анализ сточных вод предприятия, аналогичного проектируемому, дает расход qст=0,2м3/с=720м3/час
содержание взвешенных веществ – 60 мг/литр
минеральные вещества (по сухому остатку) – 360 мг/литр: хлоридов – 220 мг/литр, сульфатов – 100мг/литр
БПК = биологическая потребность воды в кислороде – 80 мг/литр
-
с
винец 2мг/л вещества, относящиеся к одной группе ЛПВ
- бензол – 1,5 мг/л
- нитрохлорбензол – 0,3 мг/л
Расчет ПДС ведется для удовлетворения: общих требований к составу и свойствам сточной воды, ПДК вредны веществ в сточной воде.
В реке устанавливается содержание вредных веществ.
СВ = 42 мг/л
ССТ = СВ +0,25 = 42,25 мг/л
qст = 0,2 м3/сек = 720 м3/сек
ПДС = qстССТ = 720 42,25 = 30420 г/час
Лекция № 10
ПДС определяется по физическому содержанию
Хлориды ПДС = 720 220 = 158400 г/час
Сульфаты ПДС = 720 100 = 72000 г/час
По кислороду БПК = 3,0 мг/л, требуется углубленная очистка ПДС = 720 3 = 2160 г/час
Концентрация ЛПВ определяется:
C1/ПДК1+ C2/ПДК2+ C3/ПДК3=2/0,1+1,5/0,1+0,3/0,5=29 (*)
Если взять:
ССТ свинец=0,05 мг/л
ССТ бензол=0,1 мг/л
ССТ нитрохлорбензол=0,015 мг/л
Тогда сумма (*) <1
ПДС=720 0,05=36 г/час
ПДС=720 0,1=72 г/час
ПДС=720 0,015=10,8 г/час
Контроль состава сточных вод.
Отбор проб и контроль качества осуществляется периодически (1 раз в месяц) в водоемах разных типов.
Если это река, то проба берется в месте водозабора, и на 1 км выше по течению.
Если это озеро
Состав сточных вод переменчив и достаточно быстро меняется, контроль качества производится 1 раз в 10 дней.
Защита литосферы.
Литосфера – верхняя оболочка Земли, которая постепенно в глубине переходит в вещества с меньшей плотностью. Литосфера включает земную кору и верхнюю мантию Земли. Мощность литосферы 50 – 200 км. В литосфере выделяется литобиосфера – 2 –3 км.
В литосфере выделяют 3 группы горных пород:
-
магматические породы – 15 – 30 км в глубину
-
осадочные породы (разрушение горных пород под действием воды)
-
метаморфические породы – продукты изменения магматических и осадочных пород под действием физ-хим факторов
Литосфера не подвержена воздействию человека. Наибольшей трансформации подвержен верхний горизонт – почва (29%).
Почва – верхний поверхностный горизонт суши, способный производить урожай растений.
Свойство почвы – плодородие – способность обеспечить растения минеральными и органическими питательными веществами, определяется пэдофическими факторами.
Почва – трехфазная, биокисная среда.
В России:
-
тундровые почвы
-
подзолистые почвы
-
почвы таежно-лесной зоны
-
черноземные почвы
Профиль почвы:
АС – подстилка, чернина – слой растительного опада, состоит из еще не разложившихся растительных остатков.
А1 – гумусовый слой – 20 см, наиболее плодородный, имеет зернисто-комковую слоистую структуру. Гумус, – не выделяемый физическими методами комплекс органоминеральных соединений, образуется из органических остатков путем их разложения за счет действия микроорганизмов.
А2 – горизонт вымывания (подзолистый слой) – белесый малоплодородный слой толщиной 20 см. питательные вещества вымыты из него водой или кислотами (зона выщелачивания).
В – горизонт вмывания, накапливаются минеральные и органические соединения с верхних слоев (плотная комковая структура).
С – материнская порода
-
50% почвы – кремнезем
-
1 – 25% почвы – глинозем
-
1 – 10% почвы – оксиды железа
-
0,1 – 5% почвы – оксиды магния, калия, фосфора, кальция
Биотические факторы: углеводы, белковые вещества, жиры конечные продукты обмена.
Антропогенное загрязнение почв.
Плодородные свойства теряются, часть почвы разрушается
При интенсивной эксплуатации часть почв разрушается из-за:
-
эрозии почв
-
засорение почв промышленными или иными отходами
Виды разрушения:
-
эрозионное
-
ветровое (дефляция)
-
техническое (ирригация)
Эрозия – размыв почвы, смыв ее талыми, дождевыми водами. 24 109 тонн земли смывается речными водами.
Основные виды загрязнения почв: загрязнение ?, их соединениями, радиоактивными отходами, удобрениями и пестицидами. Загрязнение почвы, связанное с загрязнением воды и воздуха
Источники загрязнений:
-
жилые дома и бытовые предприятия
-
промышленные предприятия – твердые и жидкие отходы
-
теплоэнергетика – масса шламов, выброс в атмосферу сажи
-
с/х дает в почву удобрения и ядохимикаты
-
транспорт – оксиды азота, свинец
почва самоочищается
Нормирование загрязняющих веществ в почве.
-
нормирование содержания вредных веществ в пахотном корнеобитаемом слое с/х угодий
-
накопления токсичных веществ на территории предприятия
-
загрязнения почвы в жилых районах, преимущественно в местах временного хранения бытового мусора
Лекция № 11.
ПДКП определяется по 4 критериям:
-
Транслокационный параметр характеризует переход химических веществ из почвы через корневую систему в зеленую массу растений. ПДК продуктов питания – допустимая концентрация вещества в почве, при которой его содержание в растениях не превысит допустимой величины.
-
Миграционный – воздушный показатель. ПДКАТМ - допустимая концентрация вещества в почве, при которой поступление летучих веществ в воздух не превысит допустимой величины.
-
Миграционный водный – из почвы в грунтовые воды. ПДКводы – переход химических веществ из почвы в воду на допустимом уровне.
-
Общесанитарный показатель – влияние химических веществ на самоочищающую способность почвы. ПДКМИКРООРГАНИЗМОВ – концентрация вредных веществ в почве, не влияющая на микроорганизмы и процессы самоочищения.
Наиболее жестко – ПДКпочвы.
При оценке ПДКпочвы выделяется целая группа общесанитарных показателей:
-
санитарное число – отношение белка азота к органическому белку
-
наличие кишечной палочки в почве
-
наличие личинок мух
-
наличие гельминтов
Виды почв по загрязненности:
-
чистая почва
-
слабозагрязненная
-
загрязненная
-
сильнозагрязненная
При оценке кол-ва токсичных отходов на территории предприятия выделяют 2 показателя:
-
предельное кол-во токсичных отходов на территории предприятия
-
предельное кол-во токсичных соединений в промышленных отходах
Предельно допустимое кол-во отходов – такое их кол-во, которое можно размещать, при условии, что возможное выделение этих веществ в воздух рабочей зоны не превысит 30% от ПДК вредных веществ в воздухе рабочей зоны.
С/0,3ПДКраб.зон>1
С – средневзвешенная концентрация отходов
Если условие выполняется, то отходы необходимо удалить. Токсичные отходы удаляются 1 раз в сутки, твердые и сыпучие отходы – в течение 2 суток.
Контроль загрязнения почв. Осуществляется органами санэпидемнадзора.
-
предупредительный надзор – осуществляется на стадии проектирования
-
текущий надзор (контроль) – пробы берут с S=25м2 в 3-5 точках, примерно 1 кг почвы
Дополнительные показатели:
-
требования к почвенным фильтратам и анализ по физ-хим составу
-
проводятся санитарно-эпидемиологические оценки: выявление мух, а также насекомых в местах жилых застроек.
-
Санитарно-гельминтологические оценки
-
Санитарно-бактериологические оценки
Промышленные отходы.
Твердые Жидкие
В отходах металла 43% - лом.
Защита почв от загрязнения.
-
организационные
-
санитарные
-
технические
Методы утилизации оговариваются для каждого конкретного предприятия с учетом технологии.
Надо предпринимать следующие предприятия:
-
применение пылезащитных, древесных и кустарных насаждений
-
водозадержание и усиление водопоглащения на полях
-
планировочные предприятия
Отчуждение земель.
В России основы земельного законодательства.
Земля: базис для размещения агропромышленного производства, средство производства.
Запрещается изымать из агропромышленного производства особо продуктивные земли, охраняемые природные заповедники.
В России 40 тыс. км ЛЭП.
Лекция № 12.
Погода – ход процессов в атмосфере в данное время.
Характеризуется:
-
солнечная радиация
-
t воздуха и поверхности почвы
-
влажность воздуха
-
атмосферное давление
-
подвижность воздуха
Сопряженные параметры: облачность, осадки.
На поверхности земного шара, симметрично относительно экватора различают различные климатические зоны.
-
тропическая зона – жаркий климат, tмин ср. год. = 16оС, температура не опускается ниже 0о, колебания температуры незначительны, круглогодичный вегетационный период, t=20-30
-
субтропическая зона (средиземноморский климат, влажные и сухие субтропики) tсред. самого холодного месяца 4 оС, tсред. самого жаркого месяца 20 оС, вегетационный период 9-11 месяцев
-
умеренная зона (морской, западноевропейский материковый, аридно-степной)
-
умеренная теплая зона
-
умеренная холодная зона
Хорошо выражается летний вегетационный и зимний период покоя.
Весной и осенью типичны заморозки.
-
холодная зона, t ср. год. < 0оС, вегетационный период 2-3 месяца, влияние высоких колебаний температуры.
Поверхность Земли
Более 1/3 отражается, более 20% поглощается, 47% доходит до поверхности Земли.
Энергия, которая доходит до поверхности Земли, распределяется зонально.
Барические поля и циркуляция в атмосфере.
Ратм= 760 мм.рт.ст.=101,3 кПа
Барические поля – распределение в пространстве давления атмосферы на поверхности земли.
циклоны - подвижные барические min.
антициклоны - подвижные барические поля max.
Разность давлений на поверхности земли определяется горизонтальным перемещением воздушных масс.
Размер атмосферного давления – вертикальное перемещение.
Климатические ресурсы не возобновляемы.
-
Массовый выброс в атмосферу твердых и жидких частиц резко изменяют рассеивание солнечного излучения в атмосфере, приход теплоты в атмосферу.
-
Уничтожение лесов, растительности.
-
Увеличивается отраженная энергия.
3 эффекта:
-
парниковый эффект
-
ядерная зима
-
разрушение озонового слоя
Тепловое излучение поглощается телами атмосферы.
винец 2мг/л вещества, относящиеся к одной группе ЛПВ















