1 (519819)
Текст из файла
Входные данные:
N=6
p(x2)=0.03*6=0.18
p(x1)=0.82
1) Кодировать будем по методике Хаффмана
| Х1 | 0.82 | 1 |
| Х2 | 0.18 | 0 |
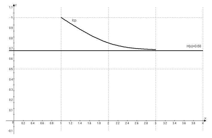
Среднее число символов на букву: lср.=1 бит/букву
Энтропия: H(x)=-0.82*log(0.82)-0.18*log(0.18)=0.68
2) Блоки – из двух букв
| A1 | x1x1 | 0.6724 |
| A2 | x1x2 | 0.1476 |
| A3 | x2x1 | 0.1476 |
| A4 | x2x2 | 0.0324 |
Таблица Хаффмана:
| A1 | 0.6724 | 0.6724 | 0.6724 | 1.0000 |
| A2 | 0.1476 | 0.1800 | 0.3276 | |
| A3 | 0.1476 | 0.1476 | ||
| A4 | 0.0324 |
Кодовое дерево:
| A1 | 0.6724 | 1 |
| A2 | 0.1476 | 00 |
| A3 | 0.1476 | 011 |
| A4 | 0.0324 | 010 |
Среднее число символов на блок:
lср.бл.=0.6724*1+0.1476*2+(0.1476+0.0324)*3=1.5076
Среднее число символов на букву:
lср.=1.5076/2=0.7538
Критерий эффективного кодирования:
lср≥H(x)
0.7538≥0.68
3) Блоки – из трех букв
| B1 | x1x1x1 | 0.551386 |
| B2 | x1x1x2 | 0.121032 |
| B3 | x1x2x1 | 0.121032 |
| B4 | x2x1x1 | 0.121032 |
| B5 | x1x2x2 | 0.026568 |
| B6 | x2x1x2 | 0.026568 |
| B7 | x2x2x1 | 0.026568 |
| B8 | x2x2x2 | 0.005832 |
Таблица Хаффмана:
| B1 | 0.551386 | 0.551386 | 0.551386 | 0.551386 | 0.551386 | 0.551386 | 0.551386 | 1 |
| B2 | 0.121032 | 0.121032 | 0.121032 | 0.121032 | 0.206568 | 0.242064 | 0.448632 | |
| B3 | 0.121032 | 0.121032 | 0.121032 | 0.121032 | 0.121032 | 0.206568 | ||
| B4 | 0.121032 | 0.121032 | 0.121032 | 0.121032 | 0.121032 | |||
| B5 | 0.026568 | 0.032400 | 0.053136 | 0.085536 | ||||
| B6 | 0.026568 | 0.026568 | 0.032400 | |||||
| B7 | 0.026568 | 0.026568 | ||||||
| B8 | 0.005832 |
Кодовое дерево:
| B1 | 0.551386 | 1 |
| B2 | 0.121032 | 011 |
| B3 | 0.121032 | 010 |
| B4 | 0.121032 | 001 |
| B5 | 0.026568 | 00011 |
| B6 | 0.026568 | 00010 |
| B7 | 0.026568 | 00001 |
| B8 | 0.005832 | 00000 |
Среднее число символов на блок:
lср.бл.= 0.551368+9*0.121032+5*(0.005832+3*0.026568)=2.068340
Среднее число символов на букву:
lср.=2.068340/3=0.689446
Критерий эффективного кодирования:
0.689446≥0.68
Схема кодирующего устройства:
Схема декодирующего устройства:
Лабораторная работа № 101
ПОСТРОЕНИЕ И РЕАЛИЗАЦИЯ ЭФФЕКТИВНЫХ КОДОВ
Студент: Дудкина А.А.
Группа: А-13-07
Преподаватель: Евсеев А.И.
Сентябрь 2009г.
Характеристики
Тип файла документ
Документы такого типа открываются такими программами, как Microsoft Office Word на компьютерах Windows, Apple Pages на компьютерах Mac, Open Office - бесплатная альтернатива на различных платформах, в том числе Linux. Наиболее простым и современным решением будут Google документы, так как открываются онлайн без скачивания прямо в браузере на любой платформе. Существуют российские качественные аналоги, например от Яндекса.
Будьте внимательны на мобильных устройствах, так как там используются упрощённый функционал даже в официальном приложении от Microsoft, поэтому для просмотра скачивайте PDF-версию. А если нужно редактировать файл, то используйте оригинальный файл.
Файлы такого типа обычно разбиты на страницы, а текст может быть форматированным (жирный, курсив, выбор шрифта, таблицы и т.п.), а также в него можно добавлять изображения. Формат идеально подходит для рефератов, докладов и РПЗ курсовых проектов, которые необходимо распечатать. Кстати перед печатью также сохраняйте файл в PDF, так как принтер может начудить со шрифтами.
















