Экология. Природа-Человек-Техника_Акимова, Кузьмин, Хаскин_Учебник_2001 -343с (508512), страница 49
Текст из файла (страница 49)
Биологическая очистка сточных вод играет главную роль в освобождении воды от органических и некоторых минеральных загрязнений. Она сходна с природным процессом самоочищения водоемов. Биоочистка осуществляется сообществом организмов, которое состоит из различных бактерий, водорослей, грибков, простейших, червей и др. Процесс очистки основан на способности этих организмов использовать растворенные примеси для питания, роста и размножения.
Под действием микроорганизмов могут протекать два процесса - окислительный (аэробный) и восстановительный (анаэробный). В аэробных процессах микроорганизмы, культивирующиеся в активном иле либо в биопленке, используют растворенный в воде кислород. Для их жизнедеятельности необходимы постоянный приток кислорода и температура 20-30° С. Анаэробная очистка протекает без доступа кислорода, основной процесс здесь - сбраживание ила. Эти методы применяют для очистки от органики сильно концентрированных сточных вод и для обезвреживания осадков.
Биологическая очистка сточных вод может проходить в естественных условиях (на полях орошения, полях фильтрации, биологических прудах) и в искусственных сооружениях - аэротенках и биофильтрах разной конструкции. Биологическую очистку производственных сточных вод проводят обычно в искусственных условиях, где процессы очистки протекают с большей скоростью.
Аэротенк представляет собой разделенный перегородками на отдельные коридоры железобетонный резервуар, который оборудован устройствами для принудительной аэрации. Процесс очистки в аэротенке идет по мере пропускания через него аэририруемой смеси сточной воды и активного ила, состоящего из живых организмов и твердого субстрата (отмершей части водорослей и различных твердых остатков). За несколько часов основная масса органики перерабатывается. Из аэротенка смесь обработанной сточной воды и активного ила поступает во вторичный отстойник. Осевший на дно активный ил отводится в резервуар насосной станции, а очищенная сточная вода поступает либо на дальнейшую доочистку, либо дезинфицируется. В процессе биологического окисления происходит прирост биомассы активного ила. Избыток его направляется в сооружения по обработке осадка, а основная часть в виде циркуляционного активного ила снова возвращается в аэротенк.
В биофильтрах сточная вода фильтруется через слой кусковой загрузки, в качестве которой используют щебень, гравий, шлак, керамзит, пластмассу, металлическую сетку и другие материалы, на поверхности которых образуется биологическая пленка, выполняющая те же функции, что и активный ил. Она адсорбирует и перерабатывает органические вещества, находящиеся в сточных водах. Окислительная мощность биофильтров увеличивается при подаче в них сжатого воздуха в направлении, противоположном фильтрованию.
В процессе биологической очистки сточных вод образуется большая масса осадков, которые необходимо утилизировать либо обезвредить и изолировать. С этой целью применяют уплотнение активного ила, обезвоживание, термическую обработку и другие операции. После обезвреживания осадки можно использовать в качестве органоминеральных удобрений или компонента некоторых материалов. При внесении обработанного ила на поля существуют количественные ограничения, обусловленные присутствием в иле токсичных ионов металлов и следовых количеств токсичных органических соединений. Разработаны технологии рекуперации активного ила, с помощью которых получают белково-витаминные продукты, кормовые дрожжи и технические витамины для комбикормовой промышленности.
Эффективная очистка промышленных и коммунально-бытовых сточных вод представляет одну из наиболее актуальных инженерно-экологических проблем. Она усложняется использованием общих систем канализации для бытовых и промышленных стоков, широким применением гидросмыва экскрементов человека и животных, смешиванием продуктов их жизнедеятельности с растворами стиральных порошков, шампуней и других СПАВ. Даже при очистке сточных вод биологическим методом из них извлекается не более 90% органических веществ и всего лишь 10-40% неорганических соединений.
Существующие процессы биологической очистки сточных вод позволяют разрушать только относительно простые органические соединения, степень очистки от неорганических и сложных органических веществ гораздо ниже. Это приводит к необходимости получения новых штаммов микроорганизмов, пригодных для очистки специальных промышленных стоков. Уже есть множество примеров использования селекционированных штаммов для улучшения очистки сточных вод, содержащих ионы тяжелых металлов, фенолы, цианиды и другие токсичные загрязнители.
Физико-химические методы используют для глубокой очистки сточных вод, удаления из них тонкодисперсных взвешенных частиц (твердых и жидких) и растворимых примесей. По сравнению с другими методами очистки они имеют ряд преимуществ и область их применения в последние годы постоянно расширяется. К этой группе методов относятся: коагуляция, флотация, сорбция, ионный обмен, экстракция, гилерфильтрация, электрохимическая очистка, эвапорация, десорбция, дезодорация, дегазация и другие.
К ним примыкают электрохимические методы очистки сточных вод, включающие процессы анодного окисления и катодного восстановления, электрокоагуляцию, электрофлотацию и электродиализ. Все эти процессы происходят при пропускании через сточную воду постоянного электрического тока. Электрохимическая очистка позволяет извлекать из сточных вод растворимые и взвешенные примеси без использования химических реагентов, обеспечивает возможность автоматизации технологического процесса очистки, упрощает эксплуатацию очистных сооружений. Основной недостаток электрохимических методов - большое потребление электроэнергии.
При проектировании очистных сооружений промышленных предприятий необходимо выбрать эффективные методы и схемы очистки сточных вод. Наиболее рациональным считается сочетание оборотных систем водоснабжения, методов локальной и общей очистки. Локальная очистка позволяет извлечь из стоков разных производств наиболее ценные компоненты, а также вещества, затрудняющие общую очистку. Воды, очищенные от характерных для данного производства примесей, проходят вторую ступень очистки в общезаводских очистных сооружениях. В общем стоке можно использовать нейтрализующие, коагулирующие и другие свойства компонентов локальных стоков.
Производственные сточные воды разделяют или объединяют в потоки по преобладающим загрязнителям с учетом мест образования и количества сто-' ков. При отсутствии резко выраженных видов загрязнений все производственные сточные воды объединяют в один поток, устанавливая на входе очистных сооружений специальные емкости - коллекторные усреднители.
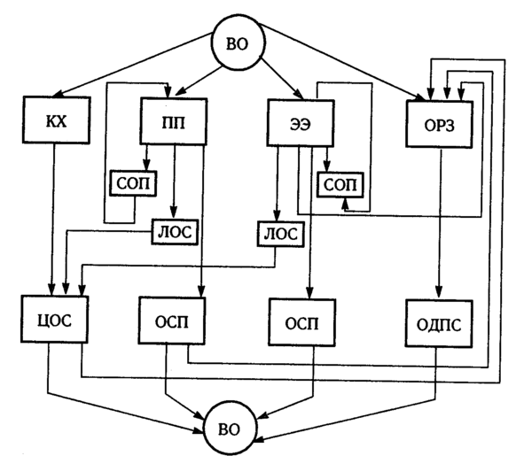
Перспективным направлением водообеспечения и защиты водных объектов от загрязнения является создание межотраслевых водохозяйственных систем, учитывающих взаимосвязанное развитие технологий производства, водопользования, обработки и утилизации отводимых вод (Кухарь и др., 1989). В представленной на рис. 10.10 схеме предусматриваются оборотное и повторное использование вод, локальная и общая очистка стоков на предприятиях промышленности и энергетики. Часть промышленных сточных вод, прошедших локальную очистку, и стоки коммунального хозяйства обрабатываются совместно на централизованных (региональных, городских) очистных сооружениях. Межотраслевые водохозяйственные системы позволяют использовать очищенные бытовые и промышленные сточные воды для орошаемого земледелия, а тепло сбросных вод электроэнергетики - для интенсификации сельскохозяйственного производства (например, обогрева теплиц) и рыбного хозяйства. При этом одновременно решаются и природоохранные проблемы, так как экономятся водные ресурсы, уменьшается сброс сточных вод в водоемы.
Рис. 10.10. Общая схема обработки, утилизации и сброса отводимых вод для основных отраслей хозяйства:
ВО - водный объект; КХ - коммунальное хозяйство; ПП - промышленное производство; ЭЭ - электроэнергетика; ОРЗ - орошаемое земледелие; СОП - система оборотного и повторного использования вод; ЛОС - локальные очистные сооружения; ЦОС - централизованные очистные сооружения; ОСП - очистные сооружения предприятий; ОДПС - система обработки дренажного и поверхностного стока
Средства защиты от вредных физических воздействия. Техногенное химическое, радиационное и тепловое загрязнение среды оказывает влияние на все элементы биосферы, имеет глобальный масштаб и несомненное общеэкодогическое значение. Техногенное волновое загрязнение имеет более локальный характер и в наибольшей мере относится к экологии или даже скорее к гигиене человека. Особую остроту оно приобретает в крупных промышленных городах, где сосредоточены мощные источники электромагнитного и акустического загрязнения.
Защита от шума. В соответствии с действующими гигиеническими нормативами уровни звукового давления постоянного шума и эквивалентные уровни непостоянного шума в жилых помещениях не должны превышать 30 дБА ночью и 40 дБА в дневное время, на территории жилой застройки - соответственно 45 дБА и 55 дБА. Возможность выполнения этих нормативов в значительной мере зависит от шумовых характеристик различных источников.
Для проектируемых объектов выбор средств защиты от шума производится на основании акустического расчета, включающего выявление расчетных точек пространства вокруг источника шума, определение ожидаемого уровня звукового давления в этих точках, сравнение его с допустимым и определение требуемого уровня снижения шума. Ожидаемый уровень звукового давления L, дБ, в расчетной точке определяется по формуле
L = Lp + 10lg + 10lg + 20lgr - Lp (10.8)
где L2 - уровень звуковой мощности источника излучения;
- фактор направленности излучения шума;
- пространственный угол излучения;
г - расстояние от источника шума;
Lp - потери уровня звуковой мощности на пути распространения шума. При отсутствии препятствий на пути распространения и небольших (до 50 м) расстояниях Lp 0.
Из выражения (10.8) следует, что для снижения шума нужно:
а) уменьшить уровень звуковой мощности источника шума;
б) уменьшить направленность излучения шума;
в) увеличить угол излучения и расстояние от источника;
г) ослабить шум на пути его распространения к расчетной точке.
Первое достигается заменой источников на акустически менее мощные; следующие требования (б, в) - правильным планировочным расположением объектов шумового воздействия по отношению к источникам; последнее (г) - различными средствами звукоизоляции и виброизоляции, применением звукопоглощающих материалов и конструкций, установкой глушителей шума.
К средствам звукоизоляции относятся звукоизолирующие ограждения (стены, перегородки), звукоизолирующие кожухи и акустические экраны. Роль последних могут выполнять размещенные вдоль магистралей ленточных конструкций из двухэтажных зданий нежилого назначения, перепады рельефа, насаждения деревьев и кустарников и т.п. Глушители шума устанавливают в воздуховодах вентиляторов, компрессоров, в системах выпуска отработавших газов двигателей внутреннего сгорания и других источников шума аэродинамического происхождения. Акустическая обработка шумных производственных помещений звукопоглощающими материалами не только снижает шум внутри помещений, но и уменьшает интенсивность его излучения шума в окружающую среду.
Защита от инфразвуковых колебаний должна быть перенесена главным образом на их источники. К основным мерам относятся: уменьшение уровня колебаний в источнике; поглощение звуковой энергии при помощи глушителей; использование механических преобразователей частоты. Снижение интенсивности инфразвука может быть достигнуто за счет изменения режима работы технологического оборудования (например, увеличения числа рабочих циклов, что обеспечивает перевод частоты силовых импульсов за пределы инфразвукового диапазона), повышения жесткости крупногабаритных конструкций, устранения низкочастотных вибраций. Для уменьшения уровня инфразвуковых составляющих шума всасывания и выхлопа дизельных и компрессорных установок, турбин, ДВС целесообразно использование глушителей шума и специальных глушителей инфразвука камерного или резонансного типа. Механические преобразователи частоты, установленные в закрытых каналах на пути распространения инфразвука (например, в выхлопных трубах ДВС), позволяют преобразовывать инфразвуковые колебания в менее опасные ультразвуковые.
Защита от вредного воздействия вибраций осуществляется как воздействием на источник возбуждения вибрации, так и на пути ее распространения. Основными методами борьбы с вибрациями являются: снижение вибраций в источнике их возникновения, виброгашение, виброизоляция, вибродемпфирование. При создании нового оборудования и технологических процессов необходимо стремиться к исключению механизмов, кинематических и технологических схем, вызывающих ударную нагрузку, резкие ускорения и другие динамические процессы (устранение дисбаланса вращающихся частей; применение вместо кривошипных механизмов равномерно вращающихся; замена ковки и штамповки прессованием, пневматической клепки - сваркой и т.п.). Для снижения уровня производственных вибраций важно также предотвратить резонансные режимы работы оборудования, что обеспечивает изменение частот собственных и вынужденных колебаний машин и механизмов. Виброгашение обычно достигается путем установки тяжелых агрегатов (молотов, прессов) на массивные бетонные фундаменты, а более мелкого инженерного оборудования зданий - вентиляторов, насосов - на виброгасящие плиты и основания. Для уменьшения вибраций, создаваемых рельсовым транспортом, рельсы крепят на массивные железобетонные шпалы, погруженные в слой балласта.
Виброизоляция осуществляется путем введения в колебательную систему дополнительной упругой связи, уменьшающей передачу вибрации от источника колебаний к основанию или смежным элементам конструкций. Для этого применяют резиновые или пластмассовые прокладки, цилиндрические пружины и рессоры, воздушные подушки, гибкие вставки и их сочетания. А для уменьшения распространения вибрации от фундаментов машин по периметру фундаментов создают акустические щели или швы с засыпкой из рыхлого материала. В основе вибродемпфирования лежит увеличение активных потерь энергии путем превращения энергии механических колебаний в теплоту. Широкие возможности для защиты от вибраций имеет нанесение на вибрирующие поверхности деталей машин и инженерных коммуникаций упруговязких материалов и листовых вибродемпфирующих покрытий.
















