Семинар 5-6 Пожарная и взрывоопасная обстановка (1254560), страница 6
Текст из файла (страница 6)
η = 1, т.е в предположении, что энергия взрыва полусферического облака ПОЛНОСТЬЮ
отражена поверхностью, над которой это облако образовалось.
Значение MВ определяется соотношением
MВ = σ M ХР, где (2б)
MХР, - масса вещества, находившегося в хранилище до образования облака (до аварии); кг;
σ – коэффициент, зависящий от способа хранения вещества, показывающий
долю вещества, переходящую при аварии в газ;
σ =1 – для газов при атмосферном давлении; σ =0,5 – для сжиженных газов, хранящихся под давлением; σ =0,1 – для сжиженных газов, хранящихся изотермически;
(Сжиженные природные газы хранятся только в низкотемпературных (изотермических) резервуарах.
ИЗОТЕРМИЧЕСКИЙ РЕЗЕРВУАР – технологическая ёмкость, предназначенная для хранения и транспортирования сжиженных газов при давлении, близком к атмосферному, и при низкой постоянной отрицательной температуре.)
σ =0,02-0,07 – для растекшихся ЛВЖ.
2.2. Закон подобия при взрывах.
Расчеты параметров ударной волны основываются на использовании соотношения, связывающего параметры взрывов разной мощности. Таким соотношением является закон подобия кубического корня. Этот закон привел к введению в практику оценки последствий взрыва специального параметра – приведенного радиуса взрыва
.
Отсюда можно использовать практическую расчетную формулу
где
- приведенный радиус взрыва (в условных единицах, не в метрах)
/ широко используется в различных расчетных соотношениях для определения
параметров ударной волны взрыва,
R - расстояние от центра взрыва до некоторой точки, м.
. МТ - тротиловый эквивалент массы взрывающегося вещества МВ , кг.
3.Расчетные соотношения, используемые при решении задач.
3.1. Оценка параметров ударной волны при взрыве конденсированных ВВ.
Давление ∆P для свободно распространяющейся сферической воздушной ударной волны убывает по мере удаления от места взрыва. Поэтому расчет его значений обычно проводится на основании соотношений, в которых давление является функцией двух аргументов - массы ВВ и расстояния от места взрыва.
Базовым соотношением при расчетах избыточного давления во фронте волны∆PФ по известным данным приведенного радиуса взрыва
, (прямая задача) используемым при аварийных взрывах, принято (эмпирическое) соотношение, полученное на основании обработки большого статистического материала отечественным исследователем М.А.Садовским.
Основное эмпирическое «уравнение (формула) Садовского » широко используется при проведении практических расчетов как для наземных, так и для воздушных взрывов и имеет вид
, (5) где ∆PФ - избыточного давления во фронте волны, кПа,
- приведенный радиус (безразмерный), определяемый по ф-ле (4).
При необходимости решать обратную задачу, т.е. определять расстояние от места взрыва по заданному значению ∆PФ, можно либо решать уравнение третьей степени (5) относительно
, либо воспользоваться формулой инженерного приближения:
Формула (6) дает хорошее совпадение с результатами точного решения уравнения (5) и для значений
в интервале от 2 до 12 ошибка не превышает 10%. При этом расхождение тем больше, чем больше ∆PФ.
Удельный импульс I определяется по соотношению
где: ∆P(t) - функция, характеризующая изменение избыточного давления во фронте
ударной волны за период времени от 0 до τ + .
Пример 1. Прямая постановка задачи.
Определить избыточное давление, которое будет испытывать прибор, установленный на расстоянии 10 м. от места взрыва 1кг гексогена во взрывном устройстве, размещенном на грунте.
MВВгексоген = 1 кг, η грунт = 0,6 (табл.Б2), k гексоген= 1,3 (табл.Б1), R = 10 м ∆PФ = ?
-
Определение тротилового эквивалента (ф-ла 2):
3. Определение ∆PФ (ф-ла 5):
Пример 2. Обратная постановка задачи.
Определить максимальное расстояние, на котором допускается установить прибор, выдерживающий давление 14.5 кПа, от места взрыва 1 кг гексогена во взрывном устройстве, размещенном на грунте.
MВВгексоген = 1 кг, η грунт = 0,6 (табл.Б2), k гексоген= 1,3 (табл.Б1), ∆PФ = 14,5 кПа R = ?
-
Определение тротилового эквивалента (ф-ла 2):
3.Определение R (ф-ла 4):
Примечание.
Вычисление корня кубического может производиться с помощью
ИНЖЕНЕРНОГО калькулятора, позволяющего
или напрямую вычислять корень 3-ей степени,
или вычисляющего величину, возводимую в степень 0,3333
(чем больше вводить число ТРОЕК, тем точнее результат).
3_____
√ МТ = МТ0,3333
3.2. Оценка параметров ударной волны при взрыве газовоздушных смесей (ГВС).
3.2.1. Параметры ударной волны на расстояниях R<ro
(ro - радиус сферы газового облака)
При взрывах газовоздушных смесей параметры внутри газового облака могут изменяться в очень широких пределах в зависимости от условий взрыва, концентрации горючей компоненты и характера взрывного горения, которые при прогнозировании взрывов, особенно на открытом воздухе, учесть практически невозможно. Поэтому обычно расчеты проводят для худшего случая, при котором разрушительные последствия взрыва наибольшие.
Таким наихудшим случаем является детонационное горение смеси стехиометрического состава.
(Стехиометрическим называется такой состав смеси, в которой горючее и окислитель находятся в пропорции, необходимой для их полного взаимодействия в процессе окисления.)
Скорость распространения процесса детонационного горения внутри облака очень велика и превышает скорость звука. Давление внутри облака за время взрыва вообще говоря не постоянно. Однако для проведения приближенной оценки параметров взрыва можно условно принять, что облако имеет форму полусферы с центром на поверхности земли, взрыв ГВС происходит мгновенно и давление в процессе взрыва одинаково и постоянно во всех точках, находящихся внутри облака.
Для большинства углеродоводородосодержащих газовых смесей стехиометрического состава можно принять, что давление внутри газового облака составляет 1700 кПа. Для проведения более точных расчетов в технической литературе приводятся расчетные соотношения, позволяющие рассчитать скорость детонационного горения, время полной детонации облака, давление в детонационной волне и др. Однако, главное,, что при этом следует помнить- при детонационном взрыве практических мер защиты внутри и вблизи облака НЕ СУЩЕСТВУЕТ.
3.2.2. Параметры ударной волны на расстояниях R> ro. (вне радиуса полусферы )
Формулы для определения значений параметров ударной волны на расстояниях, превышающих радиус полусферы газового облака в окружающем воздухе, получены путем апроксимации численного решения задачи о детонации пропановоздушной смеси, выполненной Б.Е.Гельфандом в 1985 году. Здесь эти зависимости не рапссматриваются.
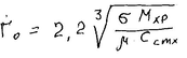
Для МНОГИХ веществ, способных образовывать ГВС, возможно также использование приближенного метода расчета, основанного на расчете размеров облака и статистических данных. При этом рассчитывается объем газового облака V0 и радиус полусферы газового облака r0, которые зависят от количества исходного вещества, находившегося в хранилище до аварии, и способа его хранения.
Окончательная формула для расчета r0 получает вид
MХР - масса вещества, находившегося в хранилище до образования облака (до аварии)(кг);
σ – коэффициент, зависящий от способа хранения вещества, показывающий долю вещества,
(указанный к формуле (2б) на стр.3,
μ- молярная масса хранящегося вещества (кг/кмоль); cстх- стехиометрическая объемная концентрация (в абсолютных долях). (см.п.3.2.1)
Значения параметров, характеризующих некоторые вещества, приведены в таблице Б3.
Таблица Б3
Значения параметров, характеризующие некоторые вещества и их смеси с воздухом.
| Вещество | μ кг/кмоль | cстх | Вещество | μ кг/кмоль | Cстх |
| Аммиак | 17 | 0.1972 | Пропилен | 42 | 0.0446 |
| Ацетилен | 26 | 0.0775 | Этан | 30 | 0.0566 |
| Бутан | 58 | 0.0313 | Этилен | 28 | 0.0654 |
| Метан | 16 | 0.0945 | Ацетон | 42 | 0.0499 |
| Пропан | 44 | 0.0403 | Бензол | 78 | 0.0284 |
Приближенная оценка параметров взрывной волны за пределами облака может быть проведена по таблице Б4, в которой представлены значения избыточного давления ∆Pф заранее рассчитанные для различных значений R/ro, где R расстояние от места взрыва (м). Значения параметров, указанных в таблице, получены исходя из давления внутри газового облака 1700 кПа.
Таблица Б4.
Значения максимального избыточного давления и эффективного времени действия ударной волны при взрыве ГВС
| R/r0 | 0 - 1 | 1.01 | 1.04 | 1.08 | 1.13 | 1.2 | 1.4 | 1.8 |
| ∆Pф кПа | 1700 | 1232 | 814 | 568 | 500 | 400 | 300 | 200 |
















