ПЗ (1230990), страница 8

Файл №1230990 ПЗ (Разработка системы управления асинхронным тяговым приводом) 8 страницаПЗ (1230990) страница 82020-10-06СтудИзба
Просмтор этого файла доступен только зарегистрированным пользователям. Но у нас супер быстрая регистрация: достаточно только электронной почты!

Текст из файла (страница 8)

f1 – частота сети;

Iнноминальный ток статора;

р – количество пар полюсов.

Взаимная индуктивность определяется

, (3.6)

где – индуктивность рассеяния статора.

Зная взаимную индуктивность можно определить индуктивность ротора из выражения

, (3.7)

где – индуктивность рассеяния ротора.

На рисунке 3.3 представлены установленные параметры трехфазного инвертора. Напряжение питания инвертора принято 2800 В, которое обеспечивает элемент VDC. Задание скорости обеспечивает блок Constant speed, установка нагрузки осуществляется блоком Ms. Схема блока представлена на рисунке 3.4.

В блоке действует уравнение сопротивлению движения на двигателе

(3.8)

где W – сопротивление движению на ободе колеса;

i – передаточное отношение редуктора.

Рисунок 3.3 – Окно ввода параметров инвертора

Рисунок 3.4 – Модель блока Ms

Блоком Gain осуществляется перевод угловой скорости из радиан в секунду в обороты в минуту. А блок Gain1 делает тоже самое что и блок Gain только в обратном направлении

(3.9)

Блоком n to V осуществляется переход от угловой скорости к линейной скорости на колесной паре определяемой как километр в час

(3.10)

где D – диаметр колесной пары.

Схема блока представлена на рисунке 3.5.

Блок W считает сопротивление движению на ободе колеса по формуле 3.11 и представлен на рисунке 3.6.

(3.11)

где N – нагрузка на ось;

– удельное сопротивление,

. (3.12)

Рисунок 3.5 – Модель блока n to V

Рисунок 3.6 – Модель блока W

Блок Fk считает силу тяги на ободе колеса по формуле 3.13 и представлен на рисунке 3.7

Рисунок 3.7 – Модель блока Fk

(3.13)

где – коэффициент полезного действия зубчатой передачи.

Процесс моделирования в данной модели принят с фиксированным шагом с использованием дискретной решающей программы. Шаг моделирования Ts задается в специальном окне, доступ к которому возможен при обращении к главному меню. В связи с этим форма представления настроек блоков модели специфична и в окне Sample Time необходимо указывать символ Ts.

Для визуализации результатов моделирования используется осциллограф Scope.

Центральным звеном электропривода является схема векторного управления, модель которой представлен на рисунке 3.8.

Рисунок 3.8 – Модель схемы управления приводом Vektor Control

На блок Vektor Control от двигателя поступают два сигнала, доступные для измерения ­– трехфазный ток статора и частота вращения ротора. Остальные сигналы вычисляет схема векторного управления. Прежде всего, должна быть вычислена частота вращения координат ωk (частота инвертора) и текущий угол поворота координат γ. Эту функцию выполняет блок Teta Calculation, схема модели которого представлена на рисунке 3.9.

Блок реализует два уравнения 3.14 и 3.15

; (3.14)

. (3.15)

где – частота вращения подвижной системы координат d, q;

– частота вращения ротора;

– параметры двигателя;

– составляющая тока статора по оси y.

Рисунок 3.9 – Схема модели блока Teta Calculation

Далее, регуляторы тока в контурах потока и скорости вырабатывают задание на ток статора двигателя в двух фазах и во вращающейся системе координат. Схема модели регулятора скорости и потока аналогичны и представлены на рисунке 3.10. Параметры регулятора скорости представлены на рисунке 3.11, потока – рисунок 3.12. Необходимо перевести задание в неподвижную систему и представить сигнал трехфазным. Эту задачу выполняет блок dq to ABC conversion. В одном блоке совмещены два вышеупомянутых преобразователя. На выходе блока имеем трехфазное задание на требуемой текущей частоте работы инвертора. Блок dq to ABC conversion представлен на рисунке 3.13. Блок реализован на трех уравнениях [3]

; (3.16)

; (3.17)

. (3.18)

Рисунок 3.10 – Модель схемы регулятора скорости

Рисунок 3.11 – Окно ввода параметров регулятора скорости

Трехфазный сигнал задания, требуемой частоты и амплитуды тока статора, поступает в блок управления инвертором Disсrete PWM Generator. Окно установки параметров блока управления инвертором показано на рисунке 3.14.

Особенностью схемы управления инвертором является задание несущей частоты 1000 Гц, в два раза меньшего значения частоты коммутации.

Выходные сигналы блока Disсrete PWM Generator обеспечивают управление шестью транзисторами инвертора и упакованы в микропроцессорную шину.

Рисунок 3.12 – Окно ввода параметров регулятора потока

Рисунок 3.13 – Модель блока dq to ABC conversion

Инвертор отрабатывает задание: на обмотках двигателя появляется напряжение и ток. Управление токовое, поэтому регуляторы тока управляют токами статора по осям d и q таким образом, чтобы быстрее отработать задание при ограничении тока на допустимом уровне.

Рисунок 3.14 – Окно установки параметров блока управления инвертором

Инвертор отрабатывает задание: на обмотках двигателя появляется напряжение и ток. Управление токовое, поэтому регуляторы тока управляют токами статора по осям d и q таким образом, чтобы быстрее отработать задание при ограничении тока на допустимом уровне.

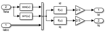
Сигнал обратной связи по действительному току статора поступает на блок ABC to dq conversion и преобразуется в двухфазный и переводится во вращающуюся систему координат. Схема модели блока показана на рисунке 3.15.

Блок ABC to dq conversion реализован на двух уравнениях [3]

; (3.19)

. (3.20)

Рисунок 3.15 – Модель блока ABC to dq conversion

Полученные после выработки сигналы обратных связей по току поступают в цепь сравнения с заданными значениями на регуляторы тока. Схема регуляторов тока представлена на рисунке 3.16 а их параметры на рисунке 3.17.

Рисунок 3.16 – Модель регулятора тока

Так как элементов обратной связи по магнитному потоку нет, то приходится цепь намагничивания двигателя моделировать по данным расчета схемы замещения. Схема модели цепи намагничивания двигателя представлена на рисунке 3.18. Сигнал, сформированный на выходе этого блока, используется как обратная связь по потоку в контуре потока сцепления.

В электровозе каждая колесная пара содержит отдельный тяговый электропривод, то достаточно смоделировать процесс разгона одного колесно-моторного блока при условии давления на его ось соответствующей реальному значению.

Рисунок 3.17 – Окно ввода параметров регулятора тока

Рисунок 3.18 – Модель цепи намагничивания двигателя

Моделирование было осуществлено для трех режимов и продолжалось 10 секунд. В процессе моделирование снимались показания с двух осциллографов Scope и Scope1.

На Scope на верхней осциллограмме изображается напряжение между фазами А и В. Ниже представлены трехфазные токи статора. Затем идет частота вращения двигателя, измеряемые в оборотах в минуту. И на самой нижней осциллограмме изображен момент на валу двигателя.

На Scope1 на верхней осциллограмме представляется момент сопротивления движению на ободе колеса. На средней осциллограмме представлена скорость развиваемая электровозом, измеряемая в километрах в час. И на нижней осциллограмме изображена сила тяги приложенная к ободу колесной пары.

3.2 Моделирование режима тяги

В ходе моделирования были получены осциллограммы, представленные на рисунках 3.19 и 3.20

Рисунок 3.19 – Осциллограммы с Scope

Разгон колесно-моторного блока начинался с 0 км/ч и за шесть секунд достиг значения в 40 км/ч. В момент пуска сопротивление движению на ободе колеса составляло 419 Н, в момент достижения 40 км/ч составило 625Н. Сила тяги приложенная к ободу колеса в момент пуска достигла 5 кН далее постепенно возрастала и в момент времени с 5 секунд до 6 секунд достигло значения в 12 кН. При движении со скоростью 40 км/ч обороты двигателя составляли 660 об/мин, а токи достигали значения в 400 А. В начале моделирования токи достигали значения в 1200 А, входе моделирования постепенно уменьшались, достигнув значения в 400 А.

Рисунок 3.20 – Осциллограммы с Scope 1

3.3 Моделирование режима торможения

Для создания режима торможения в первые 1,5 секунды добавлялся отрицательный момент сопротивления на вал. В ходе моделирования были получены осциллограммы, представленные на рисунках 3.21 и 3.22

Рисунок 3.21 – Осциллограммы с Scope

Колесно-моторный блок развил скорость 17 км/ч за 1,5 секунд моделирования и начался процесс торможения, который длился до конца моделирования в ходе которого скорость достигла начального значения в 0 км/ч. На диаграмме токов видно, как токи меняют фазу в момент перехода из тяги в торможение. Сила тяги в момент разгона до 17 км/ч достигает 3,8 кН и когда начинается процесс торможения резко падает и достигает значения в минус 4 кН, далее в процессе моделирования возрастает и стремиться к нулю. Сопротивление движению в момент пуска составляло 418 Н, при скорости 17 км/ч достигает значения в 476 Н и к концу моделирования достигает первоначального значения.

Рисунок 3.22 – Осциллограммы с Scope 1

3.4 Моделирование режима боксования

Характеристики

Тип файла
Документ
Размер
3,73 Mb
Высшее учебное заведение

Список файлов ВКР

Разработка системы управления асинхронным тяговым приводом
153 Азаров Алексей Андреевич
Антиплагиат
Антиплагиат_files
APClassic.css
AdapterUtils.js
Import.css
Menu.css
MenuAdapter.js
PosUtils.js
ScriptResource(1).axd
ScriptResource(2).axd
ScriptResource.axd
SimpleMenu.css
ToolTip.js
WebResource(1).axd
WebResource(2).axd
WebResource(3).axd
WebResource(4).axd
WebResource(5).axd
WebResource(6).axd
WebResource.axd
ga.js
jquery-1.4.4.min.js
report.css
Антиплагиат.html
Свежие статьи
Популярно сейчас
Как Вы думаете, сколько людей до Вас делали точно такое же задание? 99% студентов выполняют точно такие же задания, как и их предшественники год назад. Найдите нужный учебный материал на СтудИзбе!
Ответы на популярные вопросы
Да! Наши авторы собирают и выкладывают те работы, которые сдаются в Вашем учебном заведении ежегодно и уже проверены преподавателями.
Да! У нас любой человек может выложить любую учебную работу и зарабатывать на её продажах! Но каждый учебный материал публикуется только после тщательной проверки администрацией.
Вернём деньги! А если быть более точными, то автору даётся немного времени на исправление, а если не исправит или выйдет время, то вернём деньги в полном объёме!
Да! На равне с готовыми студенческими работами у нас продаются услуги. Цены на услуги видны сразу, то есть Вам нужно только указать параметры и сразу можно оплачивать.
Отзывы студентов
Ставлю 10/10
Все нравится, очень удобный сайт, помогает в учебе. Кроме этого, можно заработать самому, выставляя готовые учебные материалы на продажу здесь. Рейтинги и отзывы на преподавателей очень помогают сориентироваться в начале нового семестра. Спасибо за такую функцию. Ставлю максимальную оценку.
Лучшая платформа для успешной сдачи сессии
Познакомился со СтудИзбой благодаря своему другу, очень нравится интерфейс, количество доступных файлов, цена, в общем, все прекрасно. Даже сам продаю какие-то свои работы.
Студизба ван лав ❤
Очень офигенный сайт для студентов. Много полезных учебных материалов. Пользуюсь студизбой с октября 2021 года. Серьёзных нареканий нет. Хотелось бы, что бы ввели подписочную модель и сделали материалы дешевле 300 рублей в рамках подписки бесплатными.
Отличный сайт
Лично меня всё устраивает - и покупка, и продажа; и цены, и возможность предпросмотра куска файла, и обилие бесплатных файлов (в подборках по авторам, читай, ВУЗам и факультетам). Есть определённые баги, но всё решаемо, да и администраторы реагируют в течение суток.
Маленький отзыв о большом помощнике!
Студизба спасает в те моменты, когда сроки горят, а работ накопилось достаточно. Довольно удобный сайт с простой навигацией и огромным количеством материалов.
Студ. Изба как крупнейший сборник работ для студентов
Тут дофига бывает всего полезного. Печально, что бывают предметы по которым даже одного бесплатного решения нет, но это скорее вопрос к студентам. В остальном всё здорово.
Спасательный островок
Если уже не успеваешь разобраться или застрял на каком-то задание поможет тебе быстро и недорого решить твою проблему.
Всё и так отлично
Всё очень удобно. Особенно круто, что есть система бонусов и можно выводить остатки денег. Очень много качественных бесплатных файлов.
Отзыв о системе "Студизба"
Отличная платформа для распространения работ, востребованных студентами. Хорошо налаженная и качественная работа сайта, огромная база заданий и аудитория.
Отличный помощник
Отличный сайт с кучей полезных файлов, позволяющий найти много методичек / учебников / отзывов о вузах и преподователях.
Отлично помогает студентам в любой момент для решения трудных и незамедлительных задач
Хотелось бы больше конкретной информации о преподавателях. А так в принципе хороший сайт, всегда им пользуюсь и ни разу не было желания прекратить. Хороший сайт для помощи студентам, удобный и приятный интерфейс. Из недостатков можно выделить только отсутствия небольшого количества файлов.
Спасибо за шикарный сайт
Великолепный сайт на котором студент за не большие деньги может найти помощь с дз, проектами курсовыми, лабораторными, а также узнать отзывы на преподавателей и бесплатно скачать пособия.
Популярные преподаватели
Добавляйте материалы
и зарабатывайте!
Продажи идут автоматически
7021
Авторов
на СтудИзбе
260
Средний доход
с одного платного файла
Обучение Подробнее