Пояснительная записка (1219229), страница 9
Текст из файла (страница 9)
Рисунок 3.6 – График изменения момента вращения на валу двигателя и противо-ЭДС в зависимости от диаметра колеса при скорости движения тепловоза 25 км/ч
Произведем расчет изменения силы тяги в зависимости от диаметра колеса в режиме возбуждения ПП.
Радиус колеса по кругу катания
, м
(3.18)
Согласно мнению П.И. Гордиенко, сила тяги на колесе возникает в резуль-тате образования рычага второго рода от действия внешней силы, сил сцепления колеса с рельсом и сопротивления движению колеса.
Схема реализации силы тяги на колесе показана на рисунке 3.9.
Рисунок 3.9 – Схема реализации силы
Сила тяги на колесе по новому представлению
, кГм может быть найде-на по формуле предложенной П. И. Гордиенко
(3.19)
где
- радиус большого зубчатого колеса (принимаем 0,375 м);
- радиус делительной окружности малого зубчатого колеса (принимаем 0,085 м);
Результаты расчета изменения силы тяги в зависимости от диаметра колеса в режиме возбуждения ПП приведены в таблице 3.9.
Таблица 3.9 – Изменение силы тяги в зависимости от
диаметра колеса в режиме возбуждения ПП
| | | | | | | |
| 1,05 | 7102 | 5513 | 4668 | 4058 | 3502 | 3029 |
| 1,044 | 7086 | 5495 | 4660 | 4047 | 3491 | 3016 |
| 1,04 | 7065 | 5473 | 4649 | 4033 | 3478 | 2999 |
| 1,035 | 7047 | 5454 | 4639 | 4021 | 3466 | 2984 |
| 1,03 | 7029 | 5434 | 4629 | 4009 | 3453 | 2969 |
| 1,025 | 7010 | 5414 | 4619 | 3997 | 3441 | 2954 |
| 1,02 | 6992 | 5395 | 4610 | 3985 | 3429 | 2939 |
| 1,015 | 6974 | 5375 | 4600 | 3973 | 3416 | 2924 |
| 1,01 | 6956 | 5355 | 4590 | 3961 | 3404 | 2909 |
| 1,005 | 6937 | 5335 | 4580 | 3949 | 3392 | 2893 |
| 1 | 6919 | 5316 | 4571 | 3937 | 3379 | 2878 |
| 0,995 | 6901 | 5296 | 4561 | 3925 | 3367 | 2863 |
| 0,99 | 6883 | 5276 | 4551 | 3913 | 3355 | 2847 |
| 0,985 | 6864 | 5256 | 4542 | 3901 | 3342 | 2832 |
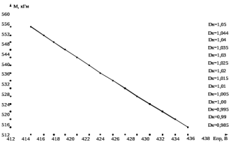
Кривая зависимости
при скорости движения тепловоза 25 км/ч показана на рисунке 3.7.
Рисунок 3.7 – График изменения силы тяги в зависимости от диаметра колеса при скорости движения тепловоза 25 км/ч
Тяговая характеристика тепловоза в режиме возбуждения ПП
показана на рисунке 3.8.
Рисунок 3.8 – Тяговая характеристика тепловоза в режиме возбуждения ПП
4. КОММУТАЦИЯ МАШИН ПОСТОЯННОГО ТОКА
4.1 Основные понятия о коммутации и её зависимости
Под коммутацией понимается процесс изменения направления тока в сек-ции во время замыкания её щеткой при переходе секции из одной параллельной ветви в другую.
Прямолинейная коммутация показана на рисунке 4.1, 1. В этом случае плот-ность тока под щеткой всюду одинакова.
Значение направления тока
зависят от величины и знака алгебраической суммы реактивной э.д.с
и коммутирующей э.д.с
. Согласно правилу Ленца
будет задерживать изменение тока
, как это показано на рисунке 4.1, 2. Вслед-ствие этого при
он пройдет через нулевое значение позже, чем при прямо-линейной коммутации. Такая коммутация называется замедленной. Плотность то-ка в этом случае неодинакова.
Обычно индукция внешнего поля в зоне коммутации устанавливается такой, что э.д.с
превышает
. Процесс изменения тока
ускоряется, как это показа-но на рисунке 4.1, 3. Поэтому такая коммутация называется ускоренной.
1-прямолинейная; 2-замедленная; 3-ускоренная.
Рисунок 4.1 – Характеристики прямолинейной, замедленной и ускоренной коммутации
4.2 Оценки и критерии коммутационного процесса
Коммутация с искрением приводит к износу щеток, потерям мощности, по-вышению температуры щеточно-коллекторного узла, порче рабочей поверхности коллектора и пр. Поэтому коммутация с интенсивным искрением не допускается. Согласно государственному стандарту искрение под сбегающим краем щетки оце-нивают согласно таблице 4.1.
Таблица 4.1 - Искрение под сбегающим краем щетки
| Степень искрения | Характеристика искрения | Состояние коллектора и щеток |
| 1 | Отсутствие искрения (темная коммута-ция) | Нет почернения коллектора и нагара на щетках |
| | Слабое точечное искрение под неболь-шой частью щетки | То же |
| | Слабое искрение под большей частью щетки | Следы почернения на коллекторе, легко устраняемые протиранием поверхности коллектора бензино-м, а также следы нагара на щетках |
| | Искрение под всем краем щетки. Допу-скается только при кратковременных толчках нагрузки и перегрузках | Следы почернения на коллекторе, не устраняемые протиранием по-верхности коллектора бензином, а также следы нагара на щетках |
| | Значительное искрение под всем краем щетки с наличием крупных и вылетаю-щих искр. Допускается только для моме-нта прямого (без реостатных ступеней) включения или реверсирования машин, если при этом коллектор и щетки остаю-тся в состоянии, пригодном для дальней-шей работы | Значительное почернение на кол-лекторе, не устраняемое протира-нием поверхности коллектора бе-нзином, а также подгар и разру-шение щеток |
А.Б. Иоффе предложил критерий коммутации, назвав его фактором искре-ния
. (4.1)
По вычисленным значениям
находят степень искрения, как это показа-но на рисунке 4.2.
Искрение и круговой огонь могут быть обусловлены и причинами, не свя-занными непосредственно с электромагнитными и коммутационными процесс-ами. Одной из таких причин является загрязнение коллектора. Частицы угольной и медной пыли между его пластина приводят к возникновению токов утечки, ко-торые разогревают и воспламеняют образовавшиеся мостики, в связи с чем появ-ляется ионизированное облако.
1 – Степень искрения
Рисунок 4.2 – Оценка коммутации по фактору искрения
4.3 Способы улучшения коммутации
Щетки для электрических машин приведены в таблице 4.2.
Таблица 4.2 – Щетки для электрических машин
| Обозначение марок щеток | Условное обозначение марок | Наименование групп марок | Преимущественная область применения |
| Г20 Г21 Г22 | 20 34 32 | Угольно-графитовые | Генераторы и двигатели с облегченными условиями коммутации и коллекторные машины переменного тока |
| Г3 611М 6110М | 43 88 56 | Графитовые | Генераторы и двигатели с облегченными условиями коммутации и контактные кольца |
| Продолжение таблицы 4.2 | |||
| Обозначение марок щеток | Условное обозначение марок | Наименование групп марок | Преимущественная область применения |
| ЭГ2А ЭГ24Ф ЭГ4 ЭГ8 ЭГ14 ЭГ51 ЭГ61 ЭГ71 ЭГ74 ЭГ4АФ ЭГ85 | 12 68 14 18 41 51 61 71 74 79 85 | Электрографити- рованные | Генераторы и двигатели со средними и затрудненными условиями коммутации и контактные кольца |
| М1 М3 М6 М20 МГ МГ2 МГ4 МГС5 МГС0 | 81 83 86 93 17 82 19 9 21 | Металлографитные | Низковольтные генераторы и контактные кольца |
Путь уменьшения добавочного тока
- увеличение контактного сопротив-ления
- связан с выбором щеток соответствующего типа.
при 20 км/ч















