диплом рудюк (1195645), страница 2
Текст из файла (страница 2)
где qжi – удельное водопотребление, 300 л/сут, [2],
Nжi–расчетное число жителей, 15тыс.человек.
Тогда,
Qср.сут. =
м3/сут.
Максимальный суточный расход воды Qсут.мах, м3/сут, на хозяйственно-питьевые нужды определяем по форме:
Qсут. max= Kсут. max∙Qср. сут (3.2)
где Kсут.мах – максимальный коэффициент суточной неравномерностиводопотребления, 1,2 [11],
Qсут. max=1, 2 4500 5400м3 / сут.
Максимальный часовой расход воды Qч.мах, м3/ч, на хозяйственно-питьевыенужды определяем по формуле:
(3.3)
где Kч.мах– коэффициент часовой неравномерности, определяем по формуле:
(3.4)
где αмах – коэффициент, учитывающий степень благоустройства, 1,2 по [1]
βмах – коэффициент учитывающий количество жителей (15000), 1,25.
Тогда,
Kч.мах1, 251, 21, 5.
Отсюда,
м3/ч.
Помимо расхода на хозяйственно-питьевые нужды вода расходуется на производственные нужды в объеме:
- ПП-1 – 1200 м3/сут,
- ПП-2– 800 м3/сут.
- котельная – 800 м3/сут.
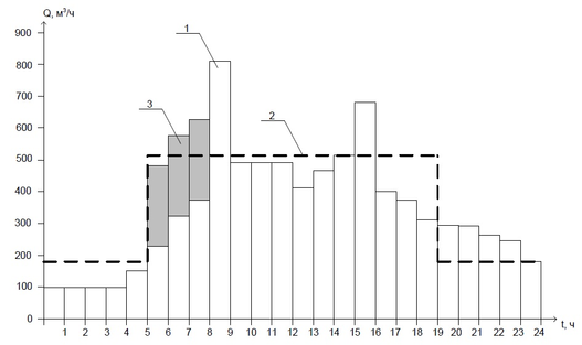
3.2 Составление графика подачи воды в сеть от НС-IIи расчет регулирующего объема бака водонапорной башни.
По [7, прил. 1]выбирается режим водопотребления, соответствующий Kч.max= 1,5, определяются часовые расходы во все часы суток.
Результаты расчета заносятся в таблицу 3.1.
По итогам расчета строится график водопотребления (рисунок 3).
Таблица 3.1 - Ведомость водопотребления.
| Расход воды | ||||||||||||||
| Часы | Население | ПП-1 | ПП-2 | Котельная | Итого без | Полив | Итого | |||||||
| суток | полива | |||||||||||||
| % | м3/ч | % | м3/ч | % | м3/ч | % | м3/ч | м3/ч | м3/ч | м3/ч | ||||
| 0-1 | 1,5 | 81 | - | - | - | - | 2 | 16 | 97 | - | 97 | |||
| 1-2 | 1,5 | 81 | - | - | - | - | 2 | 16 | 97 | - | 97 | |||
| 2-3 | 1,5 | 81 | - | - | - | - | 2 | 16 | 97 | - | 97 | |||
| 3-4 | 1,5 | 81 | - | - | - | - | 2 | 16 | 97 | - | 97 | |||
| 4-5 | 2,5 | 135 | - | - | - | - | 2 | 16 | 151 | - | 151 | |||
| 5-6 | 3,5 | 189 | - | - | - | - | 5 | 40 | 229 | 250 | 479 | |||
| 6-7 | 4,5 | 243 | - | - | - | - | 10 | 80 | 323 | 250 | 573 | |||
| 7-8 | 5,5 | 297 | - | - | - | - | 10 | 80 | 377 | 250 | 627 | |||
| 8-9 | 6,25 | 337,5 | 25 | 300 | 20 | 160 | 2 | 16 | 813,5 | - | 813,5 | |||
| 9-10 | 6,25 | 337,5 | 5 | 60 | 10 | 80 | 2 | 16 | 493,5 | - | 493,5 | |||
Продолжение таблицы 3.1
| Расход воды | ||||||||||||||||||||||
| Часы | Население | ПП-1 | ПП-2 | Котельная | Итого без | Полив | Итого | |||||||||||||||
| Суток | полива | |||||||||||||||||||||
| % | м3/ч | % | м3/ч | % | м3/ч | % | м3/ч | м3/ч | м3/ч | м3/ч | ||||||||||||
| 10-11 | 6,25 | 337,5 | 5 | 60 | 10 | 80 | 2 | 16 | 493,5 | - | 493,5 | |||||||||||
| 11-12 | 6,25 | 337,5 | 5 | 60 | 10 | 80 | 2 | 16 | 493,5 | - | 493,5 | |||||||||||
| 12-13 | 5 | 270 | 2 | 24 | 10 | 80 | 5 | 40 | 414 | - | 414 | |||||||||||
| 13-14 | 5 | 270 | 3 | 36 | 10 | 80 | 10 | 80 | 466 | - | 466 | |||||||||||
| 14-15 | 5,5 | 297 | 5 | 60 | 10 | 80 | 10 | 80 | 517 | - | 517 | |||||||||||
| 15-16 | 6 | 324 | 15 | 180 | 20 | 160 | 2 | 16 | 680 | - | 680 | |||||||||||
| 16-17 | 6 | 324 | 5 | 60 | 0 | 0 | 2 | 16 | 400 | - | 400 | |||||||||||
| 17-18 | 5,5 | 297 | 5 | 60 | 0 | 0 | 2 | 16 | 373 | - | 373 | |||||||||||
| 18-19 | 5 | 270 | 2 | 24 | - | - | 2 | 16 | 310 | - | 310 | |||||||||||
| 19-20 | 4,5 | 243 | 3 | 36 | - | - | 2 | 16 | 295 | - | 295 | |||||||||||
| 20-21 | 4 | 216 | 5 | 60 | - | - | 2 | 16 | 292 | - | 292 | |||||||||||
| 21-22 | 3 | 162 | 5 | 60 | - | - | 5 | 40 | 262 | - | 262 | |||||||||||
| 22-23 | 2 | 108 | 5 | 60 | - | - | 10 | 80 | 248 | - | 248 | |||||||||||
| 23-24 | 1,5 | 81 | 5 | 60 | - | - | 5 | 40 | 181 | - | 181 | |||||||||||
| Итого | 100 | 5400 | 100 | 1200 | 100 | 800 | 100 | 800 | 8200 | 750 | 8950 | |||||||||||
1 – график водопотребления; 2 - двухступенчатый график подачи воды НС-2; 3 – расход воды на полив
Рисунок 3.1 – График водопотребления и режима работы НС-II















