Пояснительная записка (1192626), страница 9
Текст из файла (страница 9)
78 Электровоз ЭП1 Руководство по эксплуатации Книга 5 – Описание и работа. Электронное оборудование. ИДМБ. 661142.004.РЭ5 - .: ВЭлНИИ – ОПО. С. 125.
79 Электровоз ВЛ85: Руководство по эксплуатации [Текст] / Б.А. Тушканов, Н.Г. Пушкарев, Л.А. Позднякова [и др.] – М.: Транспорт, 1992. – 480 с.
80 Элементы математической модели электровоза с тиристорным преобразователем. [Текст] / Т.К. Асанов, Р.И. Караев, А.В. Фролов и др. // Вестник ВНИИЖТ – 1981. № 3. С. 34-38.
81 Жарков Ф. П., Каратаев В. В, Никифоров В. Ф., Панов В. С. Использование виртуальных инструментов LabVIEW / Под ред. К. С. Демирчяна и В. Г. Миронова.- М.: Радио и связь, 1999.
82 Тревис Дж. LabVIEW для всех / Джефри Тревис / Пер. с англ. Клушина Н. А. -М.: ДМК Пресс; Приборкомплект, 2004.
83 Пейч Л. И., Точилин Д. А., Поллак Б. П. LabVIEW для новичков и специалистов.- М.: Горячая линия - Телеком, 2004.
84 Цифровая обработка сигналов / А. Б. Сергиенко. - СПб.: Питер, 2003.
85 Суранов А. Я. LabVIEW 7: справочник по функциям. - М.: ДМК Пресс, 2005. - 512 с.
86 Федосов В. П., Нестеренко А. К. Цифровая обработка сигналов в LabVIEW: учеб. пособие / под ред. В. П. Федосова. – М.: ДМК Пресс, 2007. – 456 с.
87 Akos D.M., M. Stockmaster, J.B.Y. Tsui and J. Caschera. Direct Bandpass Sampling of Multiple Distinct RF Signals // IEEE Transactions on Communications, Vol. 47. July 1999.P. 983–988.
88 Prabhu G.S. and P.M. Shankar. Simulation of Flat Fading Using MATLAB for Classroom Instruction // IEEE Trans. on Education, Vol. 45. no. 2. February 2002. P. 19–25.
89 Е. В. Усенко. Математическое моделирование электромагнитных процессов для автоматизированной системы диагностики силовых преобразователей электровоза переменного тока [Текст] / Усенко Е.В.,Скорик В.Г., Буняева Е.В..// Мехатроника, автоматика и робототехника: Материалы международной научно-практической конференции. – Новокузнецк: НИЦ МС, 2017. – №1. – С. 135-139.
90 Е.В. Усенко. Применение пакета LabVIEW в цифровой обработке сигнала [Текст] / Усенко Е.В., Буняева Е.В. // Научно-техническому и социально экономическому развитию Дальнего Востока России – инновации молодых : тезисы докладов межвуз. студенческой научн. конф. В 2 т. Т.2 / под ред А.З. Ткаченко – Хабаровск: Из-во ДВГУПС, 2016. – С. 272.
91 Е.В. Усенко. Алгоритм обработки признаков неисправности для автоматизированной системы диагностирования силовых преобразователей электровозов переменного тока [Текс] / Усенко Е.В., Бузмакова Л.В., Буняева Е.В., // Научно-техническому и социально экономическому развитию Дальнего Востока России – инновации молодых : тезисы докладов межвуз. студенческой научн. конф. В 2 т. Т.2 / под ред А.З. Ткаченко – Хабаровск: Из-во ДВГУПС, 2017. – (Принято в печать).
92 Система послеремонтного диагностирования выпрямительно-инверторных преобразователей электровозов переменного тока в локомотивном депо: автореферат дис. … кандидата технических наук: - Хабаровск, 2012. – 17 с.
Приложене а
(обязательное)
Математическая модель обрывов плеч для второй и третьей зон регулирования
График кривой выпрямленного напряжения в исправном состоянии ВИП для второй зоны регулирования представлен на рисунке А.1.
Рисунок А.1 – График кривой выпрямленного напряжения для второй зоны регулирования в исправном состоянии
Уравнение, описывающее кривую выпрямленного напряжения для второй зоны регулирования в исправном состоянии ВИП выглядит следующим образом:
(А.1)
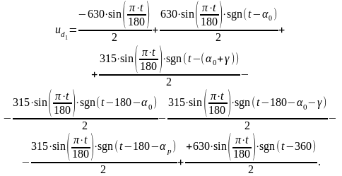
График кривой выпрямленного напряжения при обрыве первого плеча для второй зоны регулирования представлен на рисунке А.2.
Рисунок А.2 – График кривой выпрямленного напряжения для второй зоны регулирования при обрыве первого плеча
Уравнение кривой выпрямленного напряжения при обрыве первого плеча выглядит следующим образом:
(А.2)
График кривой выпрямленного напряжения при обрыве второго плеча для второй зоны регулирования представлен на рисунке А.3.
Рисунок А.3 – График кривой выпрямленного напряжения для второй зоны регулирования при обрыве второго плеча
Уравнение кривой выпрямленного напряжения при обрыве второго плеча выглядит следующим образом:
(А.3)
График кривой выпрямленного напряжения при обрыве третьего плеча для второй зоны регулирования представлен на рисунке А.4.
Рисунок А.4 – График кривой выпрямленного напряжения для второй зоны регулирования при обрыве третьего плеча
Уравнение кривой выпрямленного напряжения при обрыве третьего плеча выглядит следующим образом:
(А.4)
График кривой выпрямленного напряжения при обрыве четвертого плеча для второй зоны регулирования представлен на рисунке А.5.
Рисунок А.5 – График кривой выпрямленного напряжения для второй зоны регулирования при обрыве четвертого плеча
Уравнение кривой выпрямленного напряжения при обрыве четвертого плеча выглядит следующим образом:
(А.5)
График кривой выпрямленного напряжения при обрыве пятого плеча для второй зоны регулирования представлен на рисунке А.6.
Рисунок А.6 – График кривой выпрямленного напряжения для второй зоны регулирования при обрыве пятого плеча
Уравнение кривой выпрямленного напряжения при обрыве пятого плеча выглядит следующим образом:
(А.6)
График кривой выпрямленного напряжения при обрыве шестого плеча для второй зоны регулирования представлен на рисунке А.7.
Рисунок А.7 – График кривой выпрямленного напряжения для второй зоны регулирования при обрыве шестого плеча
Уравнение кривой выпрямленного напряжения при обрыве шестого плеча выглядит следующим образом:
(А.7)
График кривой выпрямленного напряжения в исправном состоянии ВИП для третьей зоны регулирования представлен на рисунке А.8.
Рисунок А.8 – График кривой выпрямленного напряжения для третьей зоны регулирования в исправном состоянии
Уравнение описывающее кривую выпрямленного напряжения для третьей зоны регулирования в исправном состоянии ВИП выглядит следующим образом:
График кривой выпрямленного напряжения при обрыве третьего плеча для третьей зоны регулирования представлен на рисунке А.9.
Рисунок А.9 – График кривой выпрямленного напряжения для третьей зоны регулирования при обрыве третьего плеча
Уравнение кривой выпрямленного напряжения при обрыве третьего плеча выглядит следующим образом:
(А.9)
График кривой выпрямленного напряжения при обрыве четвертого плеча для третьей зоны регулирования представлен на рисунке А.10.
Рисунок А.10 – График кривой выпрямленного напряжения для третьей зоны регулирования при обрыве четвертого плеча
Уравнение кривой выпрямленного напряжения при обрыве четвертого плеча выглядит следующим образом:
(А.10)
График кривой выпрямленного напряжения при обрыве пятого плеча для третьей зоны регулирования представлен на рисунке А.11.
Рисунок А.11 – График кривой выпрямленного напряжения для третьей зоны регулирования при обрыве пятого плеча
Уравнение кривой выпрямленного напряжения при обрыве пятого плеча выглядит следующим образом:
(А.11)
График кривой выпрямленного напряжения при обрыве шестого плеча для третьей зоны регулирования представлен на рисунке А.12.
Рисунок А.12 – График кривой выпрямленного напряжения для третьей зоны регулирования при обрыве шестого плеча
Уравнение кривой выпрямленного напряжения при обрыве шестого плеча выглядит следующим образом:
(А.12)
График кривой выпрямленного напряжения при обрыве седьмого плеча для третьей зоны регулирования представлен на рисунке А.13.
Рисунок А.13 – График кривой выпрямленного напряжения для третьей зоны регулирования при обрыве седьмого плеча
Уравнение кривой выпрямленного напряжения при обрыве седьмого плеча выглядит следующим образом:
(А.13)
График кривой выпрямленного напряжения при обрыве восьмого плеча для третьей зоны регулирования представлен на рисунке А.14.
Рисунок А.14 – График кривой выпрямленного напряжения для третьей зоны регулирования при обрыве восьмого плеча
Уравнение кривой выпрямленного напряжения при обрыве восьмого плеча выглядит следующим образом:
(А.14)
97















