Пояснительная записка (1192626), страница 4
Текст из файла (страница 4)
В зоне III производится перевод нагрузки с секции I, II трансформатора на равновеликую по напряжению секцию III. После этого изменением угла открытия
плеч 3, 4 в диапазоне от
до
выпрямленное напряжение плавно увеличивается от
до
.
Для сохранения направления тока в обмотке трансформатора при переводе нагрузки на секцию III должна быть изменена полярность плеч, для чего на плечи 5, 6 управляющие импульсы с момента перехода подаются от других выходных усилителей (5’ , 6’) в полупериод противоположной полярности. При этом плечи 7, 8 открываются импульсами в
, а плечи 5, 6 в
.
В зоне IV регулирования в работу вводятся тиристоры плеч 1 и 2 изменением угла открытия
в диапазоне
до
. При этом выпрямленное напряжение увеличивается от
до
. (рисунок 2.2). Тиристоры плеч 7, 8 открываются импульсами
, а плеч 3, 4 – задержанным
.
Как видно из описания, аппаратура управления ВИП (БУВИП) предусматривает при работе II, III, IV автоматическую задержку управляющих импульсов
, подаваемых на тиристоры плеча в контуре с меньшим напряжением до окончания тока в контуре с большим напряжением.
Режим открытия плеч импульсами
во время коммутации тока, при которой напряжение на обмотке трансформатора на все время коммутации в обоих контурах (
) резко снижается, опасен тем, что напряжение может оказаться недостаточным для уверенного открытия тиристоров. Поэтому управляющий импульс, поданный в этот момент, может прекратится прежде, чем ток во всех тиристорах плеча достигнет тока удержания, и нагрузку возьмут не все тиристоры плеча, что может привести к недопустимой перегрузке отдельных тиристоров [20].
С целью исключения подобных режимов и исключения возможности подачи управляющего импульса
до окончания коммутации тока как в контуре с малым
, так в контуре с большим
напряжением предусмотрено автоматическое ограничение фазы импульсов
, т.е она должна быть всегда больше угла
.
2.2 Математическое описание электромагнитных процессов ВИП при исправном состоянии и обрывах плеч
Данный раздел описывает принцип моделирования кривой выпрямленного напряжения
.
Кривая представляет собой синусоидальную функцию времени с максимальным амплитудным значением 1260В.
.
Согласно алгоритму управления в моменты подачи управляющих импульсов кривая представляет собой несколько участков с соответствующей амплитудой. Рассмотрим четвертую зону регулирования, в которой амплитуда напряжения варьируется от 945В до 1260В [26].
Внешний вид кривой выпрямленного напряжения для IV зоны регулирования представлена на рисунке (рисунок 2.3).
Рисунок 2.3– Кривая выпрямленного напряжения в ВИП в исправном состоянии
Первый участок кривой соответствует временному промежутку от 0 до
и описывается следующим выражением:
. (2.1)
Второй участок кривой временному промежутку от
до
и описывается выражением:
. (2.2)
Третий участок определяет временной промежуток от
до
и описывает кривую выражением:
(2.3)
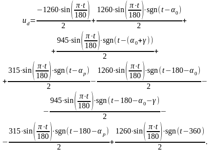
Полученные выражения суммируются. Итоговое выражение выглядит следующим образом:
(2.4)
Проанализировав электромагнитные процессы, протекающие в ВИП при обрыве 1-го плеча можно сделать вывод, что в кривой выпрямленного напряжения будет отсутствовать участок в первом полупериоде, который соответствует открытию этого плеча в момент времени
и протеканию через него тока. Тогда в выражении, которое описывает кривую выпрямленного напряжения для этого случая, необходимо исключить ряд слагаемых, отвечающих за эти участки. Полученное выражение выглядит следующим образом:
(2.5)
График кривой выпрямленного напряжения для IV зоны регулирования при обрыве 1-го плеча изображен на рисунке (рисунок 2.4):
Рисунок 2.4– Кривая выпрямленного напряжения при обрыве 1-го плеча
При обрыве 2-го плеча, в кривой выпрямленного напряжения отсутствует участок во втором полупериоде, который соответствует открытию этого плеча в момент времени
. Аналогично с первым случаем получено выражение, описывающее обрыв второго плеча:
(2.6)
График кривой выпрямленного напряжения для IV зоны регулирования при обрыве 2-го плеча выглядит следующим образом (рисунок 2.5).
Рисунок 2.5 – Кривая выпрямленного напряжения при обрыве 2-го плеча
При обрыве 3-го плеча, в кривой выпрямленного напряжения отсутствует участок в первом полупериоде, который соответствует открытию этого плеча в момент времени
, соответственно выражение описывающее обрыв 3-го плеча выглядит следующим образом:
(2.7)
График кривой выпрямленного напряжения для IV зоны регулирования при обрыве 3-го плеча выглядит следующим образом (рисунок 2.6).
Рисунок 2.6 – Кривая выпрямленного напряжения при обрыве 3-го плеча
Аналогично получено выражение, описывающее обрыв 4-го плеча:
(2.8)
График кривой выпрямленного напряжения для IV зоны регулирования при обрыве 4-го плеча выглядит следующим образом (рисунок 2.7).
Рисунок 2.7 – Кривая выпрямленного напряжения при обрыве 4-го плеча
При обрыве 7-го плеча в кривой выпрямленного напряжения будут отсутствовать участки во втором полупериоде, которые соответствуют открытию этого плеча в момент времени
,
, соответственно в выражении описывающем исправное состояние не будет части, которая отвечает за подачу управляющего сигнала на открытие этого плеча в моменты времени
,
. Выражение описывающее обрыв 7-го плеча выглядит следующем образом:
(2.9)
График кривой выпрямленного напряжения для IV зоны регулирования при обрыве 7-го плеча выглядит следующим образом (рисунок 2.8).
Рисунок 2.8 – Кривая выпрямленного напряжения при обрыве 7-го плеча
При обрыве 8-го плеча в кривой выпрямленного напряжения будут отсутствовать участки в первом полупериоде, которые соответствуют открытию этого плеча в момент времени
,
, соответственно в выражении описывающем исправное состояние не будет части, которая отвечает за подачу управляющего сигнала на открытие этого плеча в моменты времени
,
. Выражение описывающее обрыв 8-го плеча выглядит следующем образом.
(2.10)
График кривой выпрямленного напряжения для IV зоны регулирования при обрыве 8-го плеча выглядит следующим образом (рисунок 2.9).
Рисунок 2.9 – Кривая выпрямленного напряжения при обрыве 8-го плеча
2.3 Принцип диагностирования по площадям
Ранее описаны кривые выпрямленного напряжения ВИП электровоза переменного тока в исправном состоянии и при обрыве плеч для всех четырех зон регулирования [21,22].
На примере IV зоны регулирования опишем алгоритм диагностирования ВИП и сформируем правила для определения номера оборванного плеча. Для I-III зон скомпонуем данные правила в таблицу и представим их в приложении.
Анализ смоделированных осциллограмм показал, что для определения состояния ВИП электровоза достаточно рассмотреть два полупериода кривой выпрямленного напряжения.
Существует метод, основанный на анализе площадей под кривой выпрямленного напряжения [92]. Основным показателем исправности ВИП является симметричность полупериодов и соответственно равенство их площадей. Для оценки симметричности полупериодов следует разделить каждый из них на два сегмента с площадями S1 и S3 (первый полупериод), S2 и S4 (второй полупериод) (рисунок 2.10).
Рисунок 2.10 – Разложение сравниваемых сегментов площадей
Симметричность полупериодов производится путем попарного сравнивания площадей сегментов S1 и S2,, S3 и S4. Для нахождения площадей обозначенных сегментов необходимо выполнить интегрирование функции выпрямленного напряжения на участках от
до
для сегмента S1, от
до 180 для сегмента S3, от 180 до
для сегмента S2, от
до 360 для сегмента S4. В случае, когда S1= S2, S3= S4 (при погрешности 5%) ВИП исправен (рисунок 2.10).
Подача управляющих сигналов на открытие плеч производится в точках:
–
(для второго полупериода
– наименьший допустимый угол открытия тиристоров (9±1°);
–
(для второго полупериода
) – задержанный управляющий импульс (
, где
– время коммутации);
–
( для второго полупериода
) – регулируемый импульс, который изменяется машинистом во время движения электровоза,
может изменяться в диапазоне (
.
В случае когда, симметричность не обнаружена при первичной проверке площадей сегментов, необходимо обнаружить в каком плече произошел обрыв. Каждый обозначенный сегмент полупериода содержит в себе управляющие импульсы, отвечающие за открытие тех или иных плеч в зависимости от зоны регулирования, именно поэтому, зная диапазон изменения
, точно известно какой сегмент отвечает за определенные плечи в определенной зоне.
На примере IV зоны регулирования сегмент S1 содержит в себе импульсы, отвечающие за открытие 3-го плеча в фазе
, 8 плеча в
; сегмент S3 содержит в себе импульс отвечающий за открытие 1-го плеча в
; сегмент S2 содержит в себе импульсы отвечающие за открытие 4-го плеча в
, 7-го плеча в
; S4 2-го плеча в
. На основе этих данных, при выявлении несимметричности пар сегментов, разработаны алгоритмы проверки для точного определения номера неисправного плеча (на примере IV зоны регулирования).
Для выявления обрывов плеч необходимо провести попарное сравнивание площадей сегментов S1 и S2; S3 и S4. Если S1 = S2; S3 = S4, то ВИП исправен и проверка завершена (рисунок 2.11).















