Задание для ЛБ2 (1177048)
Текст из файла
| Вариант № | СЛАУ | Функция |
| 1, 16 | ||
| 2, 17 | ||
| 3, 18 |
| |
| 4, 19 | ||
| 5, 20 | ||
| 6, 21 | ||
| 7, 22 | ||
| 8, 23 | ||
| 9, 24 | ||
| 10, 25 | ||
| 11, 26 |
|
|
| 12, 27 |
|
|
| 13, 28 |
|
|
| 14, 29 |
|
|
| 15, 30 |
|
|
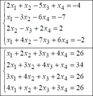
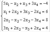
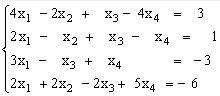
Символьно решить систему уравнений:
-
6.
-
7.
-
8.
-
9.
-
10.
11.
12.
13.
14.
15.
Характеристики
Тип файла документ
Документы такого типа открываются такими программами, как Microsoft Office Word на компьютерах Windows, Apple Pages на компьютерах Mac, Open Office - бесплатная альтернатива на различных платформах, в том числе Linux. Наиболее простым и современным решением будут Google документы, так как открываются онлайн без скачивания прямо в браузере на любой платформе. Существуют российские качественные аналоги, например от Яндекса.
Будьте внимательны на мобильных устройствах, так как там используются упрощённый функционал даже в официальном приложении от Microsoft, поэтому для просмотра скачивайте PDF-версию. А если нужно редактировать файл, то используйте оригинальный файл.
Файлы такого типа обычно разбиты на страницы, а текст может быть форматированным (жирный, курсив, выбор шрифта, таблицы и т.п.), а также в него можно добавлять изображения. Формат идеально подходит для рефератов, докладов и РПЗ курсовых проектов, которые необходимо распечатать. Кстати перед печатью также сохраняйте файл в PDF, так как принтер может начудить со шрифтами.
6.
7.
8.
9.
10.
















