Матлогика - задачи с примечаниями (1162128), страница 6
Текст из файла (страница 6)
5. Ни одно из приведенных выше утверждений в общем случае неверно.
1 и 2 точно не верно. 2 - понятно, из-за возможности найти ответ в той части программы, где было отсечение, а 1 - из-за взаимодействия отсечения и not. Про это сам Захаров говорил на апелляции, там может в какой-то ветви not из-за отрицания найтись правильный ответ и все перевернется!
3 и 4 надо проверить. Но мне кажется, что ответ 5.
// на апелляции сказал ответ 5.
мне кажется, ответ 1 и 2, т.к. оператор отсечения действует лишь при откате. Декларативная семантика не должна страдать
Задача 13(3 балла)
Существует ли такой алгоритм, который получив на входе произвольную формулу логики предикатов, предваренная нормальная форма которой имеет вид
∀x1 ∀x2 ... ∀x3 Ф(x1,..xn),
где Ф(x1,... xn) - бескванторная матрица,
выдает на входе 0, если эта формула общезначима, и 1, если эта форма не общезначима?
1.Такого алгоритма не существует, потому что...
2.Такой алгоритм существует, и вот его описание...
2 - Алгоритм - Табличный вывод.
___________________________________________________________
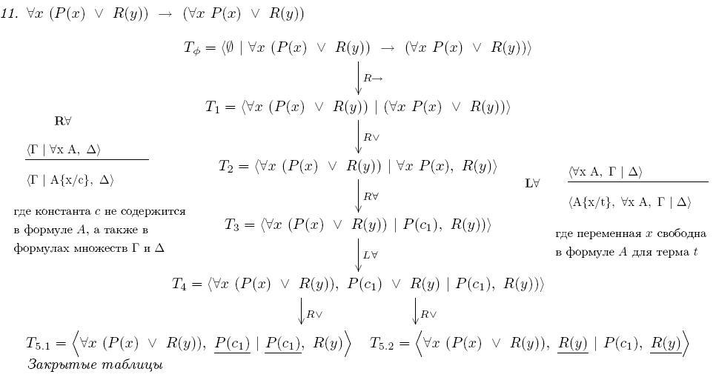
вопрос: если бы я сначала L(любое) применил а потом R(любое) так щас на бумажке соображу
значит: применяем L(любое) к T2=> T3= <(), P( t ) v R( y ) | Vx P(x),R(y)>
к T3 применяем R(любое) => T4= <(), P( t ) v R( y ) | P(c),R(y)>
т.е у нас разные термы, а на картинке из-за другого порядка выполнения правил
T4= <(), P( с1 ) v R( y ) | P(c1),R(y)>
ну мля если бы все было детерминировано то на этом бы закончился курс епта.
??? не понялb
//типа надо думать, чтоб не запороться +1
ну там думать мало где надо, в основном алгоритмы в задачах, главное - внимательно делать, а вот с этим у меня например вечно проблемы - к счастью, обошлось в этот раз ._.
ЗаЧеМ оПеРаТоРы оТсЕчЕнИя И оТрИцАнИя В зАпРоСе К пРоГрАмМе???!?!?!
ётак, в слайдах всё про это идеально сказано! пизже и ровнее некуда
1














