Задача (5) (1156970)
Текст из файла
Работа № 4. Молекулярно-кинетические свойства дисперсных систем.
Закон Стокса :
f = 6phr dh/dt
Зависимость между скоростью оседания частицы и ее радиусом:
Уравнения Свендберга-Свен-Одена (накопление осадка):
, где qi - вес частиц, уже осевших, pi - общий вес осадка к моменту ti .
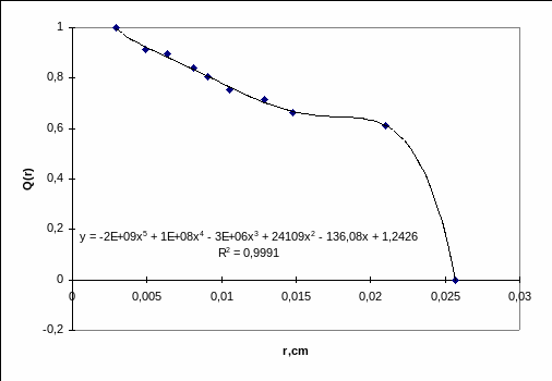
Рис 1. Седиментационная кривая
Построение интегральной кривой.
Константы:
h=24.5-12.5=12 см.
r-r0 = 1.7 г/см3
К=0,00525
Табл 1.
| T | r(T),см | Mo | Q |
| 0.5 (Tmin) | 0.0257 | 0 | 0 |
| 0.75 | 0.0210 | 108 | 0.612 |
| 1.5 | 0.0148 | 117 | 0.663 |
| 2 | 0.0129 | 126 | 0.714 |
| 3 | 0.0105 | 133 | 0.754 |
| 4 | 0.0091 | 142 | 0.805 |
| 5 | 0.0081 | 148 | 0.839 |
| 8 | 0.0064 | 158 | 0.895 |
| 14 | 0.0049 | 161 | 0.912 |
| 40 (Tmax) | 0.0029 | 176.5 | 1.000 |
Рис 2 . Интегральная кривая
Построение дифференциальной кривой распределения.
Табл 2.
| R | Dr | rср | DQ | F ( r ) |
| 0.0257 | 0.0000 | |||
| 0.0210 | 0.0047 | 0.0234 | 108 | 22978 |
| 0.0148 | 0.0062 | 0.0179 | 9 | 1451 |
| 0.0129 | 0.0019 | 0.0139 | 9 | 4726 |
| 0.0105 | 0.0024 | 0.0117 | 7 | 2916 |
| 0.0091 | 0.0014 | 0.0098 | 9 | 6428 |
| 0.0081 | 0.0010 | 0.0086 | 6 | 6000 |
| 0.0064 | 0.0017 | 0.0073 | 10 | 5882 |
| 0.0049 | 0.0015 | 0.0057 | 3 | 2000 |
| 0.0029 | 0.0020 | 0.0039 | 15.5 | 7750 |
Рис 3. Дифференциальная кривая.
Характеристики
Тип файла документ
Документы такого типа открываются такими программами, как Microsoft Office Word на компьютерах Windows, Apple Pages на компьютерах Mac, Open Office - бесплатная альтернатива на различных платформах, в том числе Linux. Наиболее простым и современным решением будут Google документы, так как открываются онлайн без скачивания прямо в браузере на любой платформе. Существуют российские качественные аналоги, например от Яндекса.
Будьте внимательны на мобильных устройствах, так как там используются упрощённый функционал даже в официальном приложении от Microsoft, поэтому для просмотра скачивайте PDF-версию. А если нужно редактировать файл, то используйте оригинальный файл.
Файлы такого типа обычно разбиты на страницы, а текст может быть форматированным (жирный, курсив, выбор шрифта, таблицы и т.п.), а также в него можно добавлять изображения. Формат идеально подходит для рефератов, докладов и РПЗ курсовых проектов, которые необходимо распечатать. Кстати перед печатью также сохраняйте файл в PDF, так как принтер может начудить со шрифтами.
















