4. Навигационные радиосигналы (1151914), страница 2
Текст из файла (страница 2)
Величина
численно равна ширине прямоугольного эквивалента площади, ограниченной функцией
.
Аналогично, разрешающая способность по скорости характеризуется величиной эффективного интервала корреляции по частоте
т.е. шириной прямоугольного эквивалента нормированной автокорреляционной функцией сигнала по частоте.
Связь между величиной эффективного интервала корреляции по времени с формой спектра сигнала определяется формулой
Где
эффективная ширина спектра сигнала.
Аналогично
где
эффективная длительность сигнала.
Из выражения (4.8) следует, что при заданной ширине спектра наивысшей разрешающей способностью по задержке обладает сигнал с равномерным спектром, для которого
.
Аналогично, из выражения (4.9) следует, что наивысшую разрешающую способность по доплеровской частоте, равную
, обеспечивает сигнал в виде синусоидального колебания с постоянной амплитудой на интервале T, поскольку эффективная длительность такого сигнала
.
С учетом постоянства объема тела неопределенности (см. выше), полученные выше формулы иллюстрируют известное положение о том, что при использовании простых сигналов, для которых база
, невозможно одновременно обеспечить высокую точность и разрешающую способность по задержке и доплеровской частоте. Решить эту задачу можно только с помощью сигналов, база которых
. Сигналы, удовлетворяющие этому условию, называемые сложными или широкополосными, получают путем соответствующей модуляции несущей. Способы (законы) такой модуляции могут быть различными, в том числе – как детерминированными, так и случайными. В ГНСС используют широкополосные сигналы, в которых модулирующими функциями являются так называемые псевдослучайные последовательности дискретных (двоичных) чисел. Такие последовательности обладают периодичностью, причем величина периода повторения является детерминированной и на каждом периоде порядок следования нулей и единиц повторяется с единичной вероятностью. Однако, внутри одного периода последовательность нулей и единиц выглядит случайной (непредсказуемой). Модуляция несущей такой псевдослучайной последовательностью (ПСП) позволяет приблизить форму АКФ сигнала к АКФ белого шума, которая, как известно, представляет собой
- функцию на плоскости (
; f), что соответствует бесконечно высокой точности и разрешающей способности (см. рис. 4.1). Виды ПСП, используемые в ГНСС и их особенности описаны ниже.
4.4 Виды модуляции, используемые в ГНСС
4.4.1 Бинарная фазовая манипуляция
В ГНСС с момента создания и до недавнего времени использовались исключительно сигналы с бинарной (двухпозиционной) фазовой манипуляцией, в отечественной литературе обозначаемой ФМ-2, в иностранной – BPSK (англ. binary phase shift key). Такой сигнал представляет собой синусоидальную несущую, начальная фаза которой принимает значения “0” или “” в зависимости от того, какой символ цифровой информации – “0” или “1” – необходимо передать. Отметим, что символам “0” или “1”, используемым в теории информации и цифровой технике, в радиотехнике обычно сопоставляют значения “-1” и “+1” модулирующей функции. При такой трактовке ФМ-2 сигнал
представляет собой произведение немодулированной несущей и сигнальной функции
, принимающей значения [‑1;+1] (рис.4.2).
Рис. 4.2 Принцип формирования ФМ-2 сигнала
Полученные таким образом навигационные сигналы в зарубежной литературе получили название DSSS (Direct Sequence Spread Spectrum – прямое расширение спектра).
В общем случае сигнал ГНСС можно записать в следующем виде [7]:
где
– амплитуда сигнала;
– ПСП дальномерного кода,
– функция модуляции бинарным навигационным сообщением, принимающая значения [-1;+1];
– функция модуляции дальномерным кодом, также принимающая значения [‑1;+1];
– номинальная частота сигнала;
– случайная начальная фаза;
– начало отсчета.
В качестве ПСП дальномерных кодов в ГНСС используются
М-последовательности, а также полученные на их основе коды Голда и Касами [№№ ].
Спектр ФМ-2 сигналов (рис.4.3) описывается формулой:
где
амплитуда сигнала,
длительность символа модулирующей последовательности.
Рис. 4.3 Типичный спектр ФМ-2 сигнала
На практике форма и параметры спектра сигнала
, по которому измеряется его РНП, зависит не только от спектра входного сигнала
, но и от частотного коэффициента передачи
(частотной характеристики) приемного тракта и определяется их произведением:
. Очевидно, что при несовпадении спектра сигнала
и ЧХ приемника
, для измерения РНП используется только часть спектра входного сигнала, соответственно точность измерений оказывается хуже потенциальной. При инженерных расчетах реальную
приемника часто заменяют прямоугольной характеристикой, площадь которой равна площади, ограниченной кривой
. Ширина такой прямоугольной характеристики называется эквивалентной полосой пропускания приемника
.
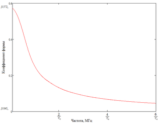
На рис. 4.4 приведена зависимость коэффициента формы
от эквивалентной полосы пропускания приемника
для сигнала с ФМ-2 модуляцией.
Рис 4.4. Зависимость коэффициента формы
от эквивалентной полосы пропускания приемника
для сигнала с ФМ-2 модуляцией.
Из рисунка видно, что при эквивалентной полое пропускания приемника
, коэффициент формы сигнала ФМ-2 имеет значение
, что практически совпадает с коэффициентом формы я сигнала с равномерным спектром (см. выше). Однако, для полосы приемника
, что соответствует ширине главного лепестка спектра (4.11), коэффициент формы данного сигнала равен 0,25, что в примерно в 2,3 раз меньше, чем для сигнала с равномерным спектром, и в четыре раза меньше, чем у «оптимального» сигнала.
Разновидностью ФМ-2 модуляции является так называемая относительная фазовая манипуляция – ОФМ (в иностранной литературе дифференциальная BPSK – DBPSK). Ее отличие от «обычной» ОФМ состоит в том, что для передачи используется не сам информационный символ, а факт смены его знака. Для правильной передачи сигнала с помощью ОФМ в начале сообщения передается «холостой» (стартовый) символ, значение которого для сигналов ГЛОНАСС равно единице [ИКД].
4.4.2 Меандровые шумоподобные (ВОС) сигналы
В настоящее время в спутниковой навигации все более широкое применение находит новый класс модулирующих функций, получивших название BOC – (англ. – Binary Offset Carrier) сигналов.
Принципиальное различие между BOC- и ФМ-2 сигналами, рассмотренными выше, состоит в том, что символ модулирующей ПСП BOC-сигнала представляет собой не прямоугольный видеоимпульс, а отрезок меандрового колебания, включающий в себя некоторое постоянное число периодов k. Поэтому сигналы с BOC – модуляцией часто называю меандровыми шумоподобными сигналами.
За счет меандровой модуляции спектр навигационного сигнала расширяется и, при четном числе периодов меандра в символе, становится бимодальным, отсюда еще одно название BOC-сигналов — сигналы с расщепленным спектром. За счет расширения спектра основной пик (пики) АКФ таких сигналов становятся ýже, т. е. достигается более высокая потенциальная точность измерения и разрешающая способность по задержке. Одновременно, благодаря «расщеплению» спектра, уменьшается уровень взаимных помех при одновременном функционировании навигационных систем, использующих традиционные и новые сигналы.
Навигационный радиосигнал сигнал с модуляцией BOC описывается следующим выражением:
где А амплитуда сигнала;
– последовательность символов навигационного сообщения;
ПСП дальномерного кода;
– меандровая последовательность;
–частота меандрового колебания;
– период меандрового колебания;
– длительность импульса меандрового колебания;
– несущая частота навигационного сигнала,
– функция Хевисайда (единичного скачка).
Последовательность символов ПСП дальномерного кода имеет вид:
где
длительность символа ПСП; L – количество символов в периоде ПСП; функция
представляет собой импульс единичной амплитуды длительностью
;
Кодовые коэффициенты
, образующие ПСП, принимают на каждом интервале
; значения +1 или -1 согласно закону чередования символов на ее периоде. Длительность периода ПСП
.
Свойства меандровых сигналов (BOC-сигналов) определяются двумя параметрами: - частотой
следования символов ПСП дальномерного кода
и - частотой
меандровой последовательности
. Соответственно, для конкретного типа меандрового сигнала используется обозначение
. Поскольку на практике частоты
и
обычно кратны опорной синхрочастоте (в частности, для систем GPS и Galileo
), тип меандровой модуляции сигналов иногда обозначают как
, где
;
.
Величина
, т.е. число импульсов меандра, укладывающихся на длительности символа ПСП
, носит название коэффициента кратности. Например, для сигнала
коэффициент
будет равен 2 ( рис. 4.5)
Рис. 4.5. Вид меандрового символа
при различных значениях (
)
Показано [37], что формула для одиночной меандровой ПСП дальномерного кода
различна, в зависимости от того, является коэффициент кратности
четным или нечетным числом:
















