Nets2010 (1131259), страница 9
Текст из файла (страница 9)
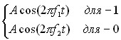
Процесс передачи при использовании дельта-модуляции организован следующим образом. В момент очередного замера текущее значение исходной функции сравнивается со значением ступенчатой функции на предыдущем шаге. Если значение исходной функции больше, передается 1, в противном случае – 0. Таким образом, ступенчатая функция всегда меняет свое значение.
У метода дельта-модуляции есть два параметра: величина шага d и частота замеров, или шаг квантования. Выбор шага d – это баланс между ошибкой квантования и ошибкой перегрузки по крутизне (см. рисунок). Когда исходный сигнал изменяется достаточно медленно, то возникает только ошибка квантования, чем больше d, тем больше эта ошибка. Если же сигнал изменяется резко, то скорость роста ступенчатой функции может отставать. Это вид ошибки растет с уменьшением d.
Положение можно улучшить, увеличив частоту замеров, но это увеличит битовую скорость на линии.
15. Теоретические основы передачи данных (ограничения на пропускную способность передачи сигналов, взаимосвязь пропускной способности канала и ширины его полосы пропускания). Передача цифровых данных аналоговыми сигналами.
Рассмотрим передачу данных в цифровой форме с помощью аналоговых сигналов. Широко известным примером такой передачи является использование телефонных сетей для передачи цифровых данных. Телефонные сети были созданы для передачи и коммутации аналоговых сигналов в голосовом диапазоне частот от 300 до 3400 Гц. Этот диапазон не совсем подходит для передачи цифровых данных. Поэтому подключить источник таких данных напрямую в телефонную сеть нельзя. Для этого используют специальное устройство - модем (МОдулятор–ДЕМодулятор). Этот прибор преобразует как цифровой сигнал в аналоговый в надлежащем диапазоне частот, так и наоборот: из аналоговой формы в цифровую.
Аналоговая модуляция заключается в управляемом изменении одного или нескольких основных параметров несущего сигнала: амплитуды, частоты и фазы. Есть три основных метода модуляции для преобразования цифровых данных в аналоговую:
-
амплитудная модуляция
-
частотная модуляция
-
фазовая модуляция
Во всех этих случаях спектр гармоник получаемого сигнала сконцентрирован в области частоты несущего сигнала.
В случае амплитудной модуляции двоичные 0 и 1 представлены аналоговым сигналом на частоте несущей, но разной амплитуды. Обычно 0 соответствует сигнал с нулевой амплитудой. Таким образом, при амплитудной модуляции сигнал S(t) имеет вид:
где
- несущий сигнал с амплитудой A. Метод амплитудной модуляции не очень эффективен по сравнению с другими методами, т.к. он очень чувствителен к шумам. Чаще всего он используется в сочетании с другими видами модуляции. В чистом виде он применяется на телефонной линии на скоростях до 1200 бит/сек., а также для передачи сигналов по оптоволоконным каналам.
При частотной модуляции двоичные 0 и 1 представляют сигналами разной частоты, сдвинутой, как правило, по отношению к частоте несущей на одинаковую величину, но в противоположном направлении:
S
(t) =
где fc= f1 - Δ= f2+Δ, где Δ - сдвиг по частоте.
Рассмотрим пример использования частотной модуляции для полнодуплексной связи по телефонной линии. Напомним, что полнодуплексной называется связь, когда данные можно передавать по каналу одновременно в оба направления. Телефонная линия имеет полосу от 300 Гц до 3400 Гц. Для обеспечения полного дуплекса эта полоса делится на две. По одной полосе с центром в 1170 Гц идет, например, передача, при которой 0 и 1 представлены частотами, сдвинутыми на 100 Гц, а по другой в этом случае идет прием, где 0 и 1 представлены частотами 2025 Гц и 2225 Гц. Обратите внимание, что эти две полосы немного перекрываются, поэтому возможна интерференция сигналов.
Частотная модуляция менее чувствительна к шумам, чем амплитудная. Чаще всего ее применяют в радиомодемах на частотах от 3 МГц до 30 МГц, а также в высокочастотных кабелях локальных сетей.
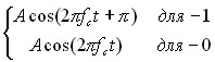
Фазовая модуляция состоит в представлении цифровых данных сдвигом фазы несущего сигнала. Рассмотрим пример дифференциальной фазовой модуляции. В этом примере 0 представлен единичным сигналом той же фазы, что и предыдущий; 1 представлена единичным сигналом, сдвинутым по фазе на 180°. Для дифференциальной фазовой модуляции получаем:
S(t) =
Эффективность использования полосы пропускания можно существенно повысить, если единичный сигнал будет кодировать несколько бит.
Различие битовой скорости R бит/сек. и скорости модуляции D бит:
где D – скорость модуляции (сигнальная скорость)
R – битовая скорость (скорость передачи данных)
L – число разных уровней единичных сигналов
b – число бит на единичный сигнал
16. Теоретические основы передачи данных (ограничения на пропускную способность передачи сигналов, взаимосвязь пропускной способности канала и ширины его полосы пропускания). Передача аналоговых данных аналоговыми сигналами.
Аналоговая модуляция цифровых данных возникает там, где нет цифровых каналов. Цифровое кодирование аналоговых данных возникает тогда, когда есть цифровые каналы. Где возникает потребность передавать аналоговые данные с помощью аналоговых сигналов?
Прежде всего, такая потребность возникает при использовании радиоканалов. Если передавать аудиоинформацию в голосовом диапазоне (300 – 3000 Гц), то потребуется антенна диаметром в несколько километров. Модуляция, т.е. объединение исходного сигнала m(t) и несущей частоты ƒc, позволяет нужным образом изменять параметры исходного сигнала и тем самым упростить решение ряда технических проблем. Кроме этого, модуляция позволяет использовать методы мультиплексирования или уплотнения.
Три способа модуляции для передачи аналоговых данных в аналоговой форме: амплитудная модуляция, частотная и фазовая.
При амплитудной модуляции форма результирующего сигнала определяется формулой:
,
где ƒc - частота несущей, na– индекс модуляции, который определяют как отношение амплитуды исходного сигнала к амплитуде несущего сигнала.
Форма результирующего сигнала при частотной модуляции определяется следующим выражением:
,
где nf - индекс частотной модуляции, m(t)=1+na x(t).
Сигнал, получаемый фазовой модуляцией, определяет соотношение:
,
где np – индекс фазовой модуляции.
Все эти три вида модуляции порождают сигнал S(t), спектр которого симметричен относительно ƒc.
Широко распространенным случаем аналоговой модуляции является метод квадратичной амплитудной модуляции - QAM (Quadrature Amplitude Modulation). Именно этот метод используется в асимметричных цифровых линиях – ADSL. Метод QAM – это комбинация амплитудной и фазовой модуляций. Идея этого метода состоит в том, что можно по одной и той же линии послать одновременно два разных сигнала с одинаковой несущей частотой, но сдвинутых по фазе друг относительно друга на 90°. Каждый сигнал генерируется методом амплитудной модуляции.
17. Физические среды передачи данных.
Назначение физического уровня - передавать данные в виде потока бит от одной машины к другой. Для передачи можно использовать разные физические среды. Каждую из них характеризуют следующими параметрами:
-
полоса пропускания
-
пропускная способность
-
задержка
-
стоимость
-
простота прокладки
-
сложность в обслуживании
Кроме вышеперечисленных, есть и другие, например:
-
достоверность передачи
-
затухание
-
помехоустойчивость
-
и т.д.
Магнитные носители
Магнитная лента или магнитный диск в сочетании с обычным транспортным средством (автомашина, железная дорога и т.п.) могут быть прекрасной физической средой передачи данных. Это так особенно там, где высокая пропускная способность и низкая стоимость передачи в расчете на один бит – ключевые факторы.
Витая пара
Хотя вагон с магнитной лентой - это очень дешевый способ передачи, но задержка при передаче очень большая: в лучшем случае часы, обычно сутки. Для многих приложений нужен оперативный обмен информацией. Самой старой и все еще используемой средой передачи со времен появления телефона является витая пара. Витая пара состоит из двух медных изолированных проводов, один из которых обвит вокруг другого. Этот второй, вьющийся провод предназначен для устранения взаимного влияния между соседними витыми парами.
Витая пара широко используется в телефонии. Между абонентами и АТС линии из витой пары могут иметь протяженность до нескольких километров без промежуточного усиления. Например, в России в городских условиях средняя длина абонентской линии равна 1,5 км. Витые пары объединяются в многопарные кабели.
Витая пара может быть использована для передачи как цифровых, так и аналоговых сигналов. Ее пропускная способность зависит от толщины используемых проводов и расстояния. Скорость в несколько мегабит в секунду вполне достижима с помощью соответствующих методов передачи. На коротких расстояниях (до сотни метров) может быть достигнута скорость до 1 Гбит/сек., на больших расстояниях (несколько километров) - не превышает 4 Мбит/сек. Учитывая это, а также низкую стоимость витой пары, она широко используется при создании ЛВС и, скорее всего, будет продолжать использоваться.
Наиболее часто используемыми являются кабели категории 3 и категории 5. Кабель категории 3 содержит по четыре витые пары с невысокой плотностью навивки и имеет полосу пропускания до 16 МГц. Кабель категории 5 имеет тоже четыре пары, но с более плотной навивкой, что позволяет достичь более высоких скоростей, и имеет полосу пропускания 100 МГц. В таблице 2-15 в первых 4-х столбцах приведены характеристики затухания сигнала для витой пары категорий 3 и 5, а также для экранированной витой пары 150 ом.
Таблица 2-15. Характеристики затухания для разных видов витой пары
| Затухание (дБ на каждые 100 м) | Помехи вследствие интерференции проводов (дБ) | |||||
| Частота (МГц) | Категория 3 | Категория 5 | Экранированная, 150 ом | Категория 3 | Категория 5 | Экранированная, 150 ом |
| 1 | 2,6 | 2,0 | 1,1 | 41 | 62 | 58 |
| 4 | 5,6 | 4,1 | 2,2 | 32 | 53 | 58 |
| 16 | 13,1 | 8,2 | 4,4 | 23 | 44 | 50,4 |
| 25 | - | 10,4 | 6,2 | - | 41 | 47,5 |
| 100 | - | 22,0 | 12,3 | - | 32 | 38,5 |
| 300 | - | - | 21,4 | - | - | 31,3 |
Коаксиальные кабели
Как и у витой пары, у коаксиального кабеля есть два проводника. Однако устроены они иначе, что позволяет существенно увеличить полосу пропускания. На рисунке 2-16 показано устройство коаксиала. Центральный проводник представляет собой толстый медный провод, окруженный изолятором. Эта конструкция помещается внутри второго цилиндрического проводника, который обычно представляет собой плетеную плотную металлическую сетку. Все это закрывается плотным защитным слоем пластика. Обычно толщина коаксиала от 1 до 2,5 см, поэтому монтировать и прокладывать его сложнее, чем витую пару. Однако у коаксиала полоса пропускания шире и характеристики по затуханию сигнала (см. рисунок 2-17) лучше, чем у витой пары. Из этого рисунка видно, что коаксиальные кабели работают на частотах от 1 МГц до 500 МГц. Поэтому эти кабели применяют на больших расстояниях и по ним могут передаваться одновременно несколько потоков данных от разных компьютеров.
















