1 (1131253), страница 7
Текст из файла (страница 7)
Основным недостатком этого кода является отсутствие синхронизации. На длинных последовательностях нулей или единиц, т.е. когда потенциал на линии не меняется, может произойти рассинхронизация между приемником и передатчиком, что приведет к ошибкам. Однако если исключить возможность появления длинных последовательностей 0 или 1, то этот метод может быть весьма эффективен. Обеспечить отсутствие таких последовательностей могут специальные устройства, называемые скремблеры.
Модификацией NRZ-кода и хорошим примером дифференциального кодирования является код NRZ-I. Идея дифференциальных кодов состоит в том, чтобы кодировать не абсолютное значение текущего бита, а разницу значений между предыдущим битом и текущим. В случае кода NRZ-I если текущий бит – 0, то он кодируется тем же потенциалом, что и предыдущий бит, если текущий бит – 1, то он кодируется другим потенциалом, чем предыдущий. Основным достоинством этого кода по отношению NRZ-коду является большая устойчивость к шуму.
Биполярный код AMI.
Другим примером потенциального кода является метод биполярного кодирования с альтернативной инверсией (Bipolar Alternate Mark Inversion – AMI). В этом методе используются не два уровня сигналов, как в NRZ-методах, а три: положительный, ноль и отрицательный. Значению 0 соответствует нулевой потенциал на линии; значению 1 - либо положительный, либо отрицательный потенциал. При этом потенциал каждой последующей единицы противоположен потенциалу предыдущей.
У этого метода есть несколько существенных преимуществ по сравнению с NRZ-кодами. Во-первых, в случае длительной последовательности единиц рассинхронизации не происходит. Каждая единица сопровождается изменением потенциала, устойчиво распознаваемым приемником. Поскольку каждая единица сопровождается изменением потенциала, то не возникнет постоянной составляющей. Однако длинная последовательность 0 остается проблемой, и требуются дополнительные усилия, которые позволили бы избежать ее появления. Во-вторых, спектр сигнала здесь уже, чем у NRZ-кодов. И, наконец, свойство чередования уровней позволяет обнаруживать единичные ошибки.
С применением надлежащей техники скремблирования биполярные импульсные коды обладают лучшими характеристиками, чем NRZ-коды. Однако это превосходство не бесплатно. Каждый единичный сигнал может иметь один из трех уровней, а поэтому он может нести
бит информации, из которых используется только один бит. Поэтому эффективность этого кода ниже. Кроме того, передатчик и приемник для биполярного метода сложнее, чем для NRZ-кодов.
Биполярные импульсные коды.
Существует другая группа методов кодирования, известная как биполярное импульсное кодирование. Здесь мы рассмотрим широко распространенные методы из этой группы: Манчестерский и дифференциальный Манчестерский коды.
В Манчестерском коде данные кодируются фронтами в середине битового интервала. Этим достигаются две цели: синхронизация приемника и передатчика, и передача данных: фронт перехода от низкого потенциала к высокому соответствует 1, а фронт перехода от высокого потенциала к низкому – 0.
В дифференциальном Манчестерском коде сигнал может менять свой уровень дважды в течение битового интервала. В середине интервала обязательно происходит изменение уровня. Этот перепад используется для синхронизации. При передаче 0 в начале битового интервала происходит перепад уровней, при 1 – такой перепад отсутствует.
Все биполярные импульсные методы требуют от одного до двух перепадов уровня сигнала за один битовый интервал. Поэтому их сигнальная скорость в два раза выше, чем у потенциальных кодов. Это означает, что они требуют более широкой полосы пропускания, чем потенциальные коды. Однако у них есть несколько существенных преимуществ:
-
самосинхронизация
-
отсутствие постоянной составляющей
-
обнаружение единичных ошибок
Потенциальный код 2B1Q.
В этом методе каждые два последовательных бита (2В) передаются за один битовый интервал сигнала, который может иметь четыре состояния (1Q). Паре 00 соответствует потенциал -2.5 В, 01 соответствует -0.833 В, 11 – +0.833 В, 10 – +2.5 В.
У этого метода сигнальная скорость в два раза ниже, чем у кодов NRZ и AMI, а спектр сигнала в два раза уже. Поэтому с помощью 2B1Q-кода можно по одной и той же линии передавать данные в два раза быстрее. Однако реализация этого метода требует более мощного передатчика и более сложного приемника, который должен различать не два уровня, а четыре.
Сигнальная скорость.
Рассмотрим, как тот или иной метод кодирования влияет на скорость передачи данных (битовую скорость) и сигнальную скорость.
Битовая скорость равна 1/tb, где tb– длина бита. Сигнальная скорость показывает скорость изменения уровня сигнала. Возьмем для примера Манчестерский код. Минимальный размер единичного сигнала равен половине битового интервала. Для последовательности из 0 или 1 будет генерироваться последовательность таких единичных сигналов. Поэтому сигнальная скорость Манчестерского кода равна 2/tb.
В общем случае
D = R/b,
где D – сигнальная скорость
R – битовая скорость в бит/сек.
b – количество бит на единичный сигнал
Билет № 7.
Теоретические основы передачи данных (ограничения на пропускную способность передачи сигналов, взаимосвязь пропускной способности канала и ширины его полосы пропускания). Передача аналоговых данных цифровыми сигналами.
Преобразование аналоговых данных в цифровой сигнал можно представить как преобразование аналоговых данных в цифровую форму. Этот процесс называют оцифровкой данных. Выполнив его, мы можем передать цифровые данные цифровым или аналоговым сигналом.
Устройство АЦП (аналогово-цифровой преобразователь) превращает аналоговые данные в цифровую форму, а устройство ЦАП (цифро-аналоговый преобразователь) выполняет обратную процедуру. Устройство, объединяющее в себе функции и АЦП, и ЦАП, называют кодеком (кодер-декодер). Рассмотрим два основных метода преобразования аналогового сигнала в цифровую форму: импульсно-кодовую модуляцию и дельта-модуляцию.
Импульсно-кодовая модуляция.
Импульсно-кодовая модуляция (ИКМ) основана на следствии из теоремы Найквиста, которое утверждает, что если измерять параметры сигнала f(t) через регулярные интервалы времени с частотой не меньше, чем удвоенная частота самой высокочастотной составляющей сигнала, то полученная серия измерений будет содержать всю информацию об исходном сигнале и этот сигнал может быть восстановлен. Однако надо помнить, что это замеры амплитуды аналогового сигнала. Чтобы преобразовать результаты замера в цифровой код, поступают следующим образом. Весь диапазон всех возможных амплитуд сигналов сначала разбивают, например, на 16 уровней. Каждому уровню сопоставляют двоичный код, который соответствует двоичному представлению номера этого уровня.
Важно иметь в виду, что т.к. каждый из 16 уровней является лишь приближением реального значения амплитуды сигнала, то точное восстановление исходного сигнала будет невозможно. Можно увеличить число уровней до 156, что потребует 8 разрядов (для передачи голоса это будет сравнимо по качеству с аналоговой передачей). Однако заметим, что нам в этом случае придется передавать результаты более 8000 замеров по 8 разрядов каждый, т.е. битовая скорость должна быть не ниже 64 Кбит/сек.
На стороне приемника по полученному цифровому коду восстанавливают аналоговый сигнал. Однако, как мы уже отметили, вследствие «округления» точное восстановление сигнала невозможно. Этот эффект называют ошибкой квантования или шумом квантования. Существуют методы его понижения за счет нелинейных методов квантования.
Дельта-модуляция.
Другой альтернативой ИКМ является метод дельта-модуляции. На исходную непрерывную функцию, представляющую аналоговый сигнал, накладывают ступенчатую функцию. Значения этой ступенчатой функции меняются на каждом шаге квантования по времени Ts на величину δ. Замена исходной функции на эту дискретную, ступенчатую функцию интересна тем, что поведение последней носит двоичный характер. На каждом шаге значение ступенчатой функции либо увеличивается на δ, будем представлять этот случай 1, либо уменьшается на δ – случай 0.
Процесс передачи при использовании дельта-модуляции организован следующим образом. В момент очередного замера текущее значение исходной функции сравнивается со значением ступенчатой функции на предыдущем шаге. Если значение исходной функции больше, передается 1, в противном случае – 0. Таким образом, ступенчатая функция всегда меняет свое значение.
У метода дельта-модуляции есть два параметра: величина шага d и частота замеров, или шаг квантования. Выбор шага d – это баланс между ошибкой квантования и ошибкой перегрузки по крутизне (см. рисунок). Когда исходный сигнал изменяется достаточно медленно, то возникает только ошибка квантования, чем больше d, тем больше эта ошибка. Если же сигнал изменяется резко, то скорость роста ступенчатой функции может отставать. Это вид ошибки растет с уменьшением d.
Положение можно улучшить, увеличив частоту замеров, но это увеличит битовую скорость на линии.
Билет № 8.
Теоретические основы передачи данных (ограничения на пропускную способность передачи сигналов, взаимосвязь пропускной способности канала и ширины его полосы пропускания). Передача цифровых данных аналоговыми сигналами
Рассмотрим передачу данных в цифровой форме с помощью аналоговых сигналов. Широко известным примером такой передачи является использование телефонных сетей для передачи цифровых данных. Телефонные сети были созданы для передачи и коммутации аналоговых сигналов в голосовом диапазоне частот от 300 до 3400 Гц. Этот диапазон не совсем подходит для передачи цифровых данных. Поэтому подключить источник таких данных напрямую в телефонную сеть нельзя. Для этого используют специальное устройство - модем (МОдулятор–ДЕМодулятор). Этот прибор преобразует как цифровой сигнал в аналоговый в надлежащем диапазоне частот, так и наоборот: из аналоговой формы в цифровую.
Аналоговая модуляция заключается в управляемом изменении одного или нескольких основных параметров несущего сигнала: амплитуды, частоты и фазы. Есть три основных метода модуляции для преобразования цифровых данных в аналоговую:
-
амплитудная модуляция
-
частотная модуляция
-
фазовая модуляция
Во всех этих случаях спектр гармоник получаемого сигнала сконцентрирован в области частоты несущего сигнала.
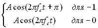
В случае амплитудной модуляции двоичные 0 и 1 представлены аналоговым сигналом на частоте несущей, но разной амплитуды. Обычно 0 соответствует сигнал с нулевой амплитудой. Таким образом, при амплитудной модуляции сигнал S(t) имеет вид:
S(t) =
где
- несущий сигнал с амплитудой A. Метод амплитудной модуляции не очень эффективен по сравнению с другими методами, т.к. он очень чувствителен к шумам. Чаще всего он используется в сочетании с другими видами модуляции. В чистом виде он применяется на телефонной линии на скоростях до 1200 бит/сек., а также для передачи сигналов по оптоволоконным каналам.
При частотной модуляции двоичные 0 и 1 представляют сигналами разной частоты, сдвинутой, как правило, по отношению к частоте несущей на одинаковую величину, но в противоположном направлении:
S(t) =
где fc= f1 - Δ= f2+Δ, где Δ - сдвиг по частоте.
Рассмотрим пример использования частотной модуляции для полнодуплексной связи по телефонной линии. Напомним, что полнодуплексной называется связь, когда данные можно передавать по каналу одновременно в оба направления. Телефонная линия имеет полосу от 300 Гц до 3400 Гц. Для обеспечения полного дуплекса эта полоса делится на две. По одной полосе с центром в 1170 Гц идет, например, передача, при которой 0 и 1 представлены частотами, сдвинутыми на 100 Гц, а по другой в этом случае идет прием, где 0 и 1 представлены частотами 2025 Гц и 2225 Гц. Обратите внимание, что эти две полосы немного перекрываются, поэтому возможна интерференция сигналов.
Частотная модуляция менее чувствительна к шумам, чем амплитудная. Чаще всего ее применяют в радиомодемах на частотах от 3 МГц до 30 МГц, а также в высокочастотных кабелях локальных сетей.
Фазовая модуляция состоит в представлении цифровых данных сдвигом фазы несущего сигнала. Рассмотрим пример дифференциальной фазовой модуляции. В этом примере 0 представлен единичным сигналом той же фазы, что и предыдущий; 1 представлена единичным сигналом, сдвинутым по фазе на 180°. Для дифференциальной фазовой модуляции получаем:
S(t) =















