lect_4 (1119082)
Текст из файла
Лекция 4 1
Методы преобразования точек в кривые 2
4.1. Метод Хоха 2
4.2. Итеративный подбор концевых точек. 3
4.3. Цепное кодирование. 3
4.4 Алгоритм Брезенхема. 5
4.4. Метод выбора средней точки 6
Лекция 4
Зайцев В.И.
Устюгова Е.Н.
Методы преобразования точек в кривые
Метод Хоха.
Имеется множество состоящее из n точек { (xi ,yi ), i=1,…,n }, составляющих прямую L.
Для каждой точки (xi ,yi )L, соединяя ее с началом координат, находим значения и , удовлетворяющих равенству = xicos + yisin.
Рассматриваем несколько отрезков принадлежащих исходной прямой, а остальные точки отбрасываем.
Проводим квантование параметров и строим соответствующую матрицу (например, 50x50)
Для каждой из точек, изменяя значение параметра от 0 до 360, получаем значение параметра из формулы = xicos + yisin. Затем к элементу матрицы, стоящему на пересечении столбца, отвечающего , и строки со значением , прибавляем 1. В результате будет выделена линия.
Если попытаться применить этот метод для выделения окружности, то потребуется три параметра (x,y,r) и следовательно будет необходима 3D матрица.
Итеративный подбор концевых точек.
1. Находим самые удаленные по горизонтали точки (т.е. максимальное и минимальное значение x -- А, B)
2.Cоединяем точки А и В. Вычисляем расстояния от всех точек до прямой АВ, и если все полученные значения меньше заданного порога, то процесс завершается. Иначе ищем самую удаленную точку – С и строим отрезки AC и DC.
3. Затем ищем самые удаленные точки от прямых BC и АС, для прямой AC точка D находиться достаточно близко, а для прямой BC она является удаленной. Следовательно, строим отрезки CD и BD.
Теперь все точки лежат достаточно близко от всех прямых, следовательно, процесс завершен.
Цепное кодирование.
Рассматриваем сетку, из каждой точки такой сетки можно двинуться в восьми направлениях.
И
з этих восьми точек выбираем наиболее близкую к кривой и переходим к ней, затем производим перекодировку (т.е. для этой новой точки нумеруем соседей 0,1,2…7 – против часовой стрелки). Таким образом, записывая номера в сетке точек, к которым переходим, строим ход.
Целью является последовательность точек a=a,…,an , а полученная цепь имеет вид b=b1,…,bn .
Рассмотрим корреляционную функцию
Cab=1/ni=1aibi , cos(ai -bi )
Если цепочки идеально совпадают, то Cab = (1+…+1)/n =1. Вообще, Cab 1. Вокруг цепочки можно построить габаритный прямоугольник.
Изменение направления обхода означает перенумерацию, т.е. увеличивается либо уменьшается или только x, или у, или x и y вместе (например, полученный код будет иметь вид 001120).
При цепном кодировании возможны следующие операции:
-
Измерение длины цепи
-
Описание прямоугольника
-
Изменение направления обхода
-
Площадь замкнутого контура
-
Моменты инерции
-
Кратчайшая цепь
-
Расстояния между двумя точками
-
Зеркальная цепь
Представление контура цепным кодом состоит из абсолютного адреса начальной точки и последовательности ключевых слов («0» – «7»), указывающих направления отрезков прямой, соединяющей соседние пикселы.
Существует дифференциальный код, при котором соседи кодируются 0, 1, 2, 3, 4, причем в целях экономии эти коды записывают как последовательности 0 и1:
‘0’ – 0;
‘+1’ – 01;
‘-1’ – 011;
‘+2’ – 0111;
‘-2’ – 01111; и т.д.
Возможны и другие варианты кодирования. «Соседи» номеруются также, но коды в 0 и 1 выглядят иначе:
‘0’ – 0;
‘+1’ – 100;
‘-1’ – 101;
‘+2’ – 1100;
‘-2’ – 1101;
‘+3’ – 1110;
‘-3’ – 1111, и т.д.
При векторном построении прямую изображают штрихами из-за того, что перо может двигаться в восьми направлениях. При плохом (низком) расширении эти штрихи видны невооруженным взглядом.
Вопрос выбора следующей точки можно решать с помощью алгоритма Брезенхема:
Алгоритм Брезенхема.
Предположим, что точка (i,j) – начальная. Тогда рассмотрим только точки первого октанта, т.е точки с координатами (x,y) такими, что xy0. В этом октанте возможны только два направления дальнейшего движения: по горизонтали на право или же на право под углом 45. Шаг по горизонтали направо делается в случае, если r < q, т.е. r-q<0:
r = y/x(i+1) – j;
q = j+1– y/x(i+1);
(y/x(i+1)–j)–(j+1–y/x(i+1))=2y/x(i+1) –2j–1<0
Считаем, что x>0, иначе если x = 0, то останется та же точка, т.к. тогда y = 0.
2(y(i+1) – xj) – x = Di = 2(yi – xj)+2y – x <0 .
А
лгоритм:
Если Di <0, то осуществляем шаг по оси ( i=i+1, j=j, Di+1= Di+2y)
Если Di >0, то шаг по диагонали ( i=i+1, j=j+1, Di+1 = Di +2(y-x)), где D0 =2y –x при i=j=0.
Если мы рассматриваем прямые, лежащие во втором октанте, то осевой шаг – шаг по j (j=j+1, i=i), а диагональный шаг не изменяется. Для третьего октанта осевой шаг – шаг по j, шаг по диагонали i=i-1, j=j+1 и т.д..
Количество совершенных осевых шагов равно (x-y), и каждый шаг по y становиться диагональным, следовательно, всего необходимо совершить x шагов.
Е
сли кривая равноудалена от двух соседних точек, то можно взять любую из них и построить две равноценные ломанные, которые после прохождения этих точек совпадают.
Однако при таком приближении кривой диагональные и горизонтальные составляющие будут иметь различную яркость (горизонтальная линия будет в 2 раз ярче).
Алгоритм выбора средней точки (Midpoint algorythm).
Для алгоритма выбора среднней точки линия представляется в виде F(x,y) = 0. Выбор между N и NE осуществляется слеующим образом.
П
роцесс повторяется при прохождении по х. На каждом шаге делается выбор между E/NE.
Инициализация.
Для того, чтобы получить алгоритм, в котором используется арифметика только над целыми числами.
Приведенная ниже программа предполагает, что х1 меньше х2.
drawline(x1, y1, x2, y2, colour)
int x1, y1, x2, y2, colour;
{
int dx, dy, d, incE, incNE, x, y;
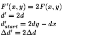
dx = x2 - x1;
dy = y2 - y1;
d = 2*dy - dx;
incE = 2*dy;
incNE = 2*(dy - dx);
y = y1;
for (x=x1; x<=x2; x++)
{
setpixel(x, y, colour);
if (d>0) { d = d + incNE; y = y + 1; }
else d = d + incE;
}
}
7
Характеристики
Тип файла документ
Документы такого типа открываются такими программами, как Microsoft Office Word на компьютерах Windows, Apple Pages на компьютерах Mac, Open Office - бесплатная альтернатива на различных платформах, в том числе Linux. Наиболее простым и современным решением будут Google документы, так как открываются онлайн без скачивания прямо в браузере на любой платформе. Существуют российские качественные аналоги, например от Яндекса.
Будьте внимательны на мобильных устройствах, так как там используются упрощённый функционал даже в официальном приложении от Microsoft, поэтому для просмотра скачивайте PDF-версию. А если нужно редактировать файл, то используйте оригинальный файл.
Файлы такого типа обычно разбиты на страницы, а текст может быть форматированным (жирный, курсив, выбор шрифта, таблицы и т.п.), а также в него можно добавлять изображения. Формат идеально подходит для рефератов, докладов и РПЗ курсовых проектов, которые необходимо распечатать. Кстати перед печатью также сохраняйте файл в PDF, так как принтер может начудить со шрифтами.
















