Теоретический минимум (1113716), страница 2
Файл №1113716 Теоретический минимум (Теоретический минимум) 2 страницаТеоретический минимум (1113716) страница 22019-05-052019-05-05СтудИзба
Просмтор этого файла доступен только зарегистрированным пользователям. Но у нас супер быстрая регистрация: достаточно только электронной почты!
Текст из файла (страница 2)
Аппроксимация:
если
, то погрешность аппроксимации:
84.Сингулярно возмущенные уравнения.
Простейший пример :
85.Четырехточечная схема.
аппроксимируется:
86.Негладкие решения. Использование неравномерной сетки.
имеет решение вида
имеет неограниченную 1ую производную ->плохо для сходимости.
Строим неравномерную сетку:
Пусть
Для метода баланса аппроксимация:
87.Нестационарное уравнение теплопроводности и разностные схемы для него.
Г. У.
Н.У.
, т.к.
Сетка:
Вид:
.
Обозначения:
Вид:
Решение:
Сигма= 0 – метод Эйлера, сигма=1 – неявный метод Эйлера, сигма = ½ - метод трапеций.
Аппроксимация:
Обозначим:
88.Устойчивость по начальным данным.
89.Устойчивость по правой части.
90. Устойчивость в смысле максимума модуля.
91.Сеточное преобразование Фурье. Теорема об устойчивости разностной схемы для уравнения теплопроводности. Равенство Парсеваля.
Равенство Парсеваля:
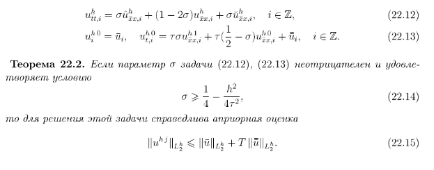
92.Разностные схемы для уравнения колебания струны. Аппроксимация. Погрешность аппроксимации. Устойчивость.
Аппроксимация по х:
Аппроксимация по t:
Замена:
Имеем:
28
Характеристики
Тип файла
Документ
Размер
1,76 Mb
Материал
Тип материала
Предмет
Высшее учебное заведение
















