Контрольные вопросы - ответы (1111855)
Текст из файла
-
Первый закон Ньютона постулирует существование особого класса систем отсчета, называемых инерциальными. В этих системах отсчета сво-бодное тело сохраняет состояние покоя или прямолинейного равномерного движения. Особое значение инерциальных систем отсчета состоит в том, что в этих системах механические явления описываются наиболее просто.
Основой динамики является второй закон Ньютона, согласно которому в инерциальной системе отсчета произведение массы материальной точки на ее ускорение равно векторной сумме действующих на точку сил:
ma=F
Третий закон Ньютона: Силы взаимодействия двух тел равны по модулю и противоположны по направлению.
-
Масса – мера отклика тела на действие силы.
Сила-мера действия других тел на данное.
Измерение массы тела:Подействуем на тело силой в 1 ньютон и измерим ускорение.
m=Fэт*a
Измерение силы: Подействуем на тело массой в 1 кг и измерим ускорение.
F=mэт*a
-
принцип относительности Галилея. Согласно этому принципу, никакими механическими опытами, проведенными внутри данной системы отсчета, нельзя установить, находится ли эта система в состоянии покоя или равномерного прямолинейного движения. Ему можно придать ясную математическую форму: уравнения, выражающие законы механики, должны быть инвариантны относительно преобразований, описывающих переход от неподвижной системы отсчета к системе, движущейся прямолинейно и равномерно.
принцип относительности Эйнштейна.Никакими физическими опытами, проведенными внутри данной системы отсчета, нельзя установить, нахо-дится ли эта система в состоянии покоя или равномерно прямолинейно движется”. Принципу Эйнштейна можно придать математическую форму: уравнения, описывающие физические законы, должны быть инвариантны относительно преобразований Лоренца.
-
Преобразования Лоренца.
,
,y=y', z=z'
Релятивистское уравнение движения . Уравнение движения матери-альной точки также должно удовлетворять принципу относительности Эйнштейна.
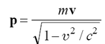
где F – сила, действующая на заряд в электромагнитном поле (сила Лорен-ца), p релятивистский импульс частицы, m – ее масса, v – скорость.
-
Гравитационные силы подчиняются закону всемирного тяготения, согласно которому две материальные точки массами m1 и m2 притягиваются друг к другу с силой, прямо пропорциональной произведению их масс, об-ратно пропорциональной квадрату расстояния r между ними и направлен-ной по прямой, соединяющей эти точки:
Принцип суперпозиций. Каждая пара частиц взаимодествует независимо
-
Элементарной работой силы называется скалярное произведение силы на бесконечно малое перемещение точки приложения силы:
Работой силы на траектории L называется интеграл
т.е. сумма элементарных работ, взятая по всем участкам траектории движе-ния точки.
Если работа силы, действующей на материальную точку, равна нулю при перемещении этой точки по любой замкнутой траектории, то сила называется потенциальной.
П Приращение потенциальной энергии
В соответствии с этим потенциальной энергией материальной точки в силовом поле называется интеграл
взятый по любому пути.
Потенциальной энергией системы тел называется сумма потенциальных энергий отдельных тел системы во внешнем поле и энергия взаимодействия тел друг с другом:
Примером потенциальной силы является сила тяжести перемещаемых по вертикали грузов Примером непотенциальной силы является сила трения .
-
По отношению к данной механической системе все силы делятся на внутренние и внешние. Внутренними силами называются силы взаимодействия между телами системы, внешними – силы, действующие на тела системы со стороны тел, не входящих в данную систему.
например, силы, с которыми на планеты действуют небесные тела, не входящие в Солнечную систему
-
Центром масс называется воображаемая точка, радиус-вектор которой определя-ется формулой
Теорема о движении центра масс: центр масс системы частиц движется так, как двигалась бы материальная точка, масса которой равна массе системы, если бы к этой точке были при-ложены все внешние силы.
-
Согласно закону сохранения импульса, если сумма внешних сил равна нулю, то импульс механической системы сохраняется:
закон сохранения полной механической энергии: если работа непотенциальных сил равна нулю, то полная механическая энергия системы сохраняется:
E=const где E=K+П
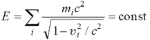
Законы сохранения импульса и энергии в теории относительности. Если сумма внешних сил равна нулю, то релятивистский импульс и реляти-вистская энергия системы частиц сохраняются:
-
Моментом импульса относительно оси называется проекция Nz вектора N на эту ось. Очевидно, что вклад в момент импульса относительно оси дает только N|| составляющая .
Nz=kN|| где k – единичный вектор вдоль оси OZ.
Нетрудно показать, что для мате-риальной точки , N||=[r⊥,mv⊥]
Если сумма моментов внешних сил относительно какой-либо не-подвижной оси равна нулю, то момент импульса системы относительно этой оси сохраняется.
-
Основной величиной, характеризующей меру инертности твердого тела при его вращении, является момент инерции. Для твердого тела, пред-ставляющего собой дискретную систему материальных точек, момент инерции относительно оси вращения рассчитывается по формуле
где mi - масса i-той точки, –ri⊥ расстояние от этой точки до оси вращения
Если твердое тело можно рассматривать как сплошное, то сумма заменяется интегралом по объему тела V
где dV – элемент объема, ρ – плотность материала, – расстояние от дан-ного элемента тела до оси вращения.
Примеры:
Согласно теореме Гюйгенса-Штейнера, момент инерции тела I относительно произвольной оси равен моменту инерции тела Ic относитель-но оси, проходящей через центр масс тела и параллельной данной, сложен-ному с произведением полной массы тела m на квадрат расстояния a между осями
12. Плоское движение твердого тела. При плоском движении ось вращения тела движется поступательно, не меняя своей ориентации в пространстве. Составляющая момента импульса тела, параллельная оси вращения, равна
Здесь m – масса тела, vc –скорость центра масс, Iс – момент инерции тела относительно оси, проходящей через центр масс, rc⊥– составляющая радиус-вектора центра масс тела, перпендику-лярная оси вращения .
кинетическая энергия тела
13 Сила инерции-добавочная сила, дейсвующая на материальную точку в неинерциальной системе отсчета и определяемая по формуле
m-масса
a- ускорение отн исо
a'-ускорение отн нисо
Пусть у нас есть ускоряющийся автомобиль. Все тела в нём будут нарушать закон инерции — они будут иметь тенденцию сдвигаться к задней стенке. Но если предположить, что просто-напросто на все тела действует некая сила, то можно будет объяснить эту тенденцию её действием. Тогда закон инерции восстановится — тела окажутся под действием этой силы и будут вести себя в полном соответствии со вторым законом Ньютона.пример-центробежная сила
14.Связями в механике называют не вытекающие из уравнений дви-жения ограничения на координаты, скорости и ускорения отдельных точек системы. Связи реализуются посредством поверхностей различных тел, стержнями, нитями и т.п. Математически связи выражаются уравнениями связей, т.е. соотношениями между координатами точек системы, их скоро-стями и ускорениями. Силы, с которыми тела, осуществляющие связи, дей-ствуют на тела системы, называются силами реакции или просто реакциями связей.
Примеры: Машина Атвуда;
|m1x1''=m1g-T
{|m2x2''=m2g-T
|l=x1+x2+pi*R (уравнение связи)
Мат. Маятник:
x^2+y^2+z^2=l^2 (уравнение связи)
Два шарика,лежащие или движущиеся на столе
15.Числом степеней свободы системы s называется число независимых координат, полностью определяющих положение системы в простран-стве, а сами независимые координаты называются q1,q2,,,,qs обобщенными координатами системы. Обобщенными скоростями системы называются производные обобщенных координат по времени. Для краткости всю совокупность обобщенных координат будем обозначать через q, а совокупность обобщенных скоростей – через q'1,q'2,,,,,q's
Примеры:
Для голономной системы, состоящей из отдельных материальных точек, число степеней свободы можно подсчитать по формуле
S=3N-k
Математический маятник, для которого N = 1, k = 1, имеет две степени свободы, а две материальные точки, связанные жестким невесомым стержнем (N = 2, k = 1), имеют пять степеней свободы.
-
И
деальными называются связи, виртуальная работа сил реакции которых равна нулю. Обозначив через Rl силу реакции, действующую на материальную точку системы с номером l, условие идеальности связей мож-но представить в виде
Идеальными являются связи, задаваемые идеально гладкими поверхностя-ми любой формы, невесомыми нерастяжимыми стержнями или нитями, а также связи, возникающие при качении без проскальзывания. Неидеальны-ми являются системы, в которых скольжение тел происходит вдоль шеро-ховатых поверхностей .
17. Функцией Лагранжа или лагранжианом на-зывают разность кинетической и потенциальной энергий системы, выра-женную через обобщенные координаты и обобщенные скорости:
С
помощью этой функции уравнения Лагранжа можно переписать в более удобном виде
1
8.Обобщенная сила, соответствующая обобщенной координате qj. Здесь Fl – сумма заданных сил, действующих на материальную точку с номером l, rl – радиус-вектор этой точки. j=1..s
Р
азмерность [Qj]=ДЖ/[q]
1)[q]=m --> [Q]=H
Характеристики
Тип файла документ
Документы такого типа открываются такими программами, как Microsoft Office Word на компьютерах Windows, Apple Pages на компьютерах Mac, Open Office - бесплатная альтернатива на различных платформах, в том числе Linux. Наиболее простым и современным решением будут Google документы, так как открываются онлайн без скачивания прямо в браузере на любой платформе. Существуют российские качественные аналоги, например от Яндекса.
Будьте внимательны на мобильных устройствах, так как там используются упрощённый функционал даже в официальном приложении от Microsoft, поэтому для просмотра скачивайте PDF-версию. А если нужно редактировать файл, то используйте оригинальный файл.
Файлы такого типа обычно разбиты на страницы, а текст может быть форматированным (жирный, курсив, выбор шрифта, таблицы и т.п.), а также в него можно добавлять изображения. Формат идеально подходит для рефератов, докладов и РПЗ курсовых проектов, которые необходимо распечатать. Кстати перед печатью также сохраняйте файл в PDF, так как принтер может начудить со шрифтами.
















