Короновский Н.В., Якушова А.Ф. - Основы геологии (1094508), страница 2
Текст из файла (страница 2)
| |
| Рис. 3. Величины ионных радиусов (по Н.В. Белову и Г.Б. Бокию) и геохимическая классификация элементов |
| |
| Рис. 4. Электроотрицатель- ность и геохимическая классификация элементов |
Следующая страница| Назад
ЕСТЕСТВЕННЫЙ ОТБОР МИНЕРАЛЬНЫХ ВИДОВ
| В.С. Урусов (кафедра кристаллографии МГУ им. М.В. Ломоносова) | Оглавление |
Правила смещения кислотно-основных равновесий, геохимическое разделение элементов и запрещенные минералы
(разрешенные и запрещенные сочетания элементов)
В конечном счете разделение элементов на отдельные геохимические группы определяется направлением обменных равновесий типа
AX + BY => AY + BX (1)
С термодинамической точки зрения вопрос решается просто: если тепловой эффект такой реакции достаточно большой по величине и имеет отрицательный знак (dH(1) < 0, реакция (1) экзотермическая), то по принципу Бертло она смещена вправо, в сторону образования соединений AY и BX.
Если все кристаллы, участвующие в реакции (1), чисто ионные, то по приближенному уравнению A.Ф. Капустинского энергия решетки любого из четырех участвующих в реакции кристаллов может быть представлена в виде
где m - число атомов в молекуле AX (в данном случае m = 2), zA и zX - валентности (заряды ионов z +, z-), rA и rX - радиусы катиона A и аниона B. Здесь и далее энергетические величины выражены в ккал/моль и относятся либо к молю вещества, задаваемого формульной единицей, либо к соответствующему количеству веществ, участвующих в химической реакции. Аналогичные формулы для энергии решетки могут быть записаны для остальных трех кристаллов. Затем нетрудно отыскать величину dH(1):
В данном случае для выполнения неравенства dH(1) < 0 необходимо, чтобы в стабильной паре кристаллов (AY и BX) один из них, например AY, был сочетанием наименьших по размеру катиона и аниона (например, rA < rB и rY < rX ), а второй - сочетанием наиболее крупных по размеру катиона и аниона (BX). Именно это обеспечивает энергетический выигрыш, например, в реакции
LiCl + NaF = > LiF + NaCl,
которая сопровождается заметным экзотермическим тепловым эффектом (dH = -11 ккал/моль), стабильно образуются кристаллы из самых мелких (Li+, r = 0,70 A, F- , r = 1,33 A) и самых крупных (Na+ , r = 1,00 A, Cl - , r = 1,81 A) ионов. И действительно, в природе обычен галит NaCl, а виллиомит NaF очень редок.
Подобным же образом решаются и другие варианты этой задачи, если по-прежнему использовать приближение (2). Так, если в реакции участвуют ионы с разными зарядами, то в стабильной паре кристаллов оказывается соединение катиона и аниона с более высокими зарядами, например:
Na2SO4 + MgCl2 => 2NaCl + MgSO4; dH = -18 ккал.
Здесь ведущим оказывается процесс образования кристалла MgSO4 , в котором сочетаются двухвалентные катион и анион.
Однако при переходе к более широкому кругу веществ обнаружились серьезные расхождения предсказаний ионной теории с наблюдениями и экспериментом. Вот лишь один из примеров:
ZnF2 + CaS => ZnS + CaF2; dH = -46 ккал.
В этой обменной реакции, согласно ионным правилам, должно быть стабильным сочетание более мелкого катиона Zn2+ с более мелким анионом F- . Но опыт показывает (и это подтверждается очень большим экзотермическим тепловым эффектом реакции), что имеется практически полное смещение равновесия в другую сторону, в сторону образования сфалерита ZnS и флюорита CaF2 . И если эти минералы хорошо известны и широко встречаются, то ZnF2 отсутствует в природе совсем, а ольдгамит CaS найден только в метеоритах.
Из анализа подобных исключений следует, что в стабильной паре соединений оказывается наиболее ковалентное (ZnS, разность электроотрицательностей dx = 0,9) и наиболее ионное (CaF2, разность электроотрицательностей dx = 3,0) сочетания элементов, которые являются также сочетаниями слабой льюисовской (или обобщенной) кислоты (S) и слабого основания (Zn), а также сильной кислоты
(F) и сильного основания (Ca). Эта формулировка полностью соответствует старому правилу химиков: сильная кислота предпочитает взаимодействовать с сильным основанием, а слабая кислота - со слабым основанием.
Принципиальное значение имеет решение вопроса о сродстве элементов к кислороду и сере, поставленного еще на заре геохимии и кристаллохимии В.М. Гольдшмидтом (который был одним из создателей этих наук), ибо ответ на него явился бы объяснением геохимического разделения элементов на такие большие группы, как литофилы и халькофилы. Уже давно было отмечено, что литофилы, то есть элементы, склонные давать кислородные соединения, образуют в них существенно ионные связи, а халькофилы (элементы, склонные к устойчивым соединениям с серой и ее аналогами) образуют с ними существенно ковалентные соединения. Однако само по себе это правильное замечание еще не объясняет сущности сродства. Выявить его можно лишь теоретически анализируя причины смещения равновесия в обменных реакциях типа
SiS2 + MoO2 => SiO2 + MoS2; dH = -101 ккал,
Кварц молибденит
CaS + PbCO3 => PbS + CaCO3 ; dH = -32 ккал.
Ольдгамит Церуссит Галенит Кальцит
В устойчивых парах здесь оказываются минералы весьма распространенных ассоциаций (кварц и молибденит, галенит и кальцит), тогда как противоположные им пары либо не встречаются в природе совсем (SiS2 и MoO2 ), либо никогда не встречаются вместе (ольдгамит - минерал некоторых метеоритов, церуссит - минерал гидротермальных жил), ибо их реакция между собой привела бы к появлению более устойчивой пары.
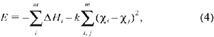
Простой анализ этих равновесий возможен, если прибегнуть к постулату Л. Полинга, согласно которому энергия связи соединения может быть подсчитана по уравнению
где dH i - энтальпия образования i-атома из соответствующего простого вещества в стандартном (Т = 298 К, Р = 1 атм) состоянии, m - число атомов в формуле соединения, хi , хj - электроотрицательности связанных между собой атомов, k - некоторая положительная константа.
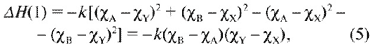
Тогда уравнение для теплоты реакции (1) будет следующим:
так как все тепловые эффекты образования атомов из простых веществ взаимно сократятся.
Отрицательное значение правая сторона уравнения (5) принимает тогда, когда в стабильной паре соединений оказывается сочетание более электроположительного катиона A (хA < хB) и более электроотрицательного аниона Y (хY > хX), а следовательно, и более электроотрицательного катиона В и менее электроотрицательного аниона Х. Это означает, что устойчивым является действительно сочетание наиболее ионного AY и наиболее ковалентного BX из четырех возможных соединений.
Особенно большой выигрыш энергии в таких обменных реакциях обеспечивается в том случае, когда правило максимальной полярности связи действует одновременно с правилом сочетания меньшего по размеру катиона и меньшего по размеру аниона (как при образовании кварца SiO2 и молибденита MoS2 в одном из приведенных выше примеров).
Именно такого рода равновесия и приводят к резкому разделению элементов по признаку их сродства к кислороду и сере - на литофилы и халь-
кофилы соответственно. Появление стабильных сочетаний внутри отдельных классов минералов (силикатов, сульфидов) строго подчиняется тем же правилам смещения обменных равновесий. Таким путем удалось объяснить, например, постоянную связь золота с теллуром, а меди с серой. Стало понятным характерное сочетание небольших и высоко заряженных катионов (Mg2+ , Fe2+ , Al3+ , Si4+ ) c ортосиликатным анионом [SiO4]4- в островных структурах (оливин, гранат, кианит), а более крупных и с низкими зарядами (Na+ , K+ , Ca2+ ) - c большими по размеру алюмосиликатными анионами типа [AlSi3O8] - в каркасных структурах (полевые шпаты, фельдшпатоиды).
Итак, именно смещение обменных равновесий, подчиняющееся кристаллохимическим и термодинамическим законам, является основным способом естественного отбора среди минеральных видов и способствует широкому распространению одних из них за счет полного отсутствия других.
Изоморфное рассеяние и маскировка редких химических элементов
Другим важнейшим фактором, ограничивающим число минеральных видов, является изоморфизм, то есть способность атомов разных химических элементов замещать друг друга в одних и тех же позициях кристаллической структуры, что приводит к образованию твердых растворов [5, 6]. Главными условиями изоморфизма являются близость размеров атомов или ионов, замещающих друг друга, и близость таких химических свойств, как, например, электроотрицательностей. Известно, что даже при близости размеров (А) ионы Na+ (r = 0,95) и Cu+ (r = 0,96), K+ (r = 1,33) и Ag+ (r = 1,26), Ca2+ (r = 0,99) и Hg2+ (r = 1,10) не образуют изоморфных смесей из-за большого различия электроотрицательностей (хNa = 0,9, хCu = 1,9, хK = 0,8, хAg = 1,9, хCa = 1,0, хHg = 1,9), то есть, иными словами, из-за разного характера химической связи с какими-либо одинаковыми по размеру атомами. В общем принято считать, что условиями, благоприятными для
изоморфного замещения, являются относительное различие размеров, не превышающее 15% (dr/r меньше или равно 0,15), и разности электроотрицательностей dx не более 0,4. Однако не следует забывать, что пределы взаимной смесимости резко расширяются с ростом
температуры и другие факторы могут способствовать изоморфизму [6].















