Расчётно пояснительная записка готового курсового проекта (1093756)
Текст из файла
Содержание
1 Введение стр. 3
2 Кинематический расчёт стр. 5
3 Расчёт параметров корпуса редуктора стр. 7
4 Проектировочный расчёт валов стр. 8
5 Уточнённый расчёт валов редуктора стр. 10
6 Расчёт подшипников стр. 18
7 Расчёт шпонок стр. 21
8 Смазка редуктора стр. 23
7 Выбор швеллера стр. 23
9 Выбор муфты стр. 23
10 Выбор и расчёт фундаментных болтов стр. 24
11 Список литературы стр. 25
1 Введение
Транспортёры (конвейеры) предназначены для перемещения сыпучих и кусковых грузовых материалов или штучных однородных грузов непрерывным потоком на небольшие расстояния. Их широко применяют для менанизирования разгрузочно - погрузочных работ, для транспортирования изделий в технологических поточных линиях.
В настоящее время известно большое количество разнообразных транспортирующих устройств, различающихся по принципу действия и по конструкции.
Все эти устройства можно разделить на две основные группы:
-
транспортирующие устройства с тяговым органом – ленточные и цепные транспортёры и элеваторы.
-
транспортирующие устройства без тягового органа – гравитационные.
Независимо от типа тягового органа транспортёры состоят из следующих основных частей:
-
приводная станция, от которой тяговый орган получает движение
-
тяговый орган с элементами размещения груза (ковши, скребки, люльки) или без них
-
рама или ферма транспортёра
-
поддерживающее устройство (катки, ролики)
-
натяжная станция, которая создаёт и поддерживает необходимое натяжение тягового органа
Приводная станция включает двигатель, передачу ( зубчатую, червячную и д. р.), соединительные муфты, ведущий барабан или звёздочки с валом и опорами. Конструкция приводной станции и ее расположение относительно конвеера могут быть различными.
Натяжная станция позволяет перемещать ведомый вал с помощью винтовых механизмов и поддерживать таким образом, необходимое натяжение тягового органа. Кроме винтовых применяются грузовые натяжные устройства.
В ленточных транспортёрах тяговым органом служит гибкая лента (ремень), чаще всего текстильная, прорезиненная.
2 Кинематический расчёт
Частота вращения барабана
Синхронная частота вращения двигателя
Выбор мощности и марки ЭД [2. стр. 4]
Выбираем ЭД [2. стр. 378]
ЭД АИР 112МА6/950
Nэд=950об/мин
Рэд=3 кВт
Разбивка передаточного числа привода по отдельным передачам.
Уточняем передаточное отношение привода. [2. стр. 131]
3 Расчёт параметров корпуса редуктора
Чтобы поверхности вращающихся колёс не задевали за валы, за внутренние поверхности стенок корпуса между ними оставляют зазор «а» который определяют по формуле
где L – наибольшее расстояние между внешними поверхностями деталей передачи, мм
L=374 мм
Принимаем а=11 мм
Расстояние между торцевыми поверхностями колёс редуктора определяем по соотношению
с=(0,3…0,5)а=11∙0,4=4,4мм
Определяем толщину стенки корпуса редуктора в зависимости от приведенного габарита N корпуса
N=(2L+B+H)/3
где L,B,H – длина, ширина, высота корпуса, м.
B=151 мм
H=279 мм
N=294 мм
δ=7 мм [2. стр. 257]
Определяем ширину фланца
k=2.7d
d=M12
k=2.7∙12=32.4 мм
Принимаем k=32 мм
4 Проектировочный расчёт валов
Быстроходный вал
Конструктивно принимаем
Принимаем
Конструктивно принимаем
Промежуточный вал
Тихоходный вал
5 Уточнённый расчёт валов редуктора
Быстроходный вал
Ft=1169 H
Fr=316 H
Fa=441 H
Плоскость вертикальный изгиб
Плоскость горизонтальный изгиб
Промежуточный вал
FtB=1169 H
FrB=316 H
Fa=441 H
FtC=4146 H
FrC=1509 H
Плоскость вертикальный изгиб
Плоскость горизонтальный изгиб
Т
ихоходный вал
FtB=4146 H
FrB=1509 H
Плоскость вертикальный изгиб
Плоскость горизонтальный изгиб
Из эпюр и конструкции видно, что требуется проверить диаметр 55 в сечении по шпонки.
Расчёт сечения по шпонки
Для расчёта по нормальным напряжениям принимается семеричный цикл нагружения, следовательно
Для касательных напряжений принимается от нулевой режим нагружения
Условие на выносливость обеспечено.
Расчёт тихоходного вала на жёсткость
Жесткость вала обеспечена.
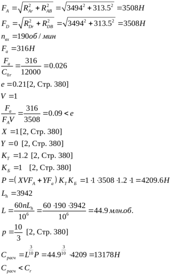
6 Расчёт подшипников
Быстроходный вал
Подшипник №206 [2, стр. 417]
d=30 мм
D=62 мм
Cr=19.5 kH
Cor=10 kH
Расчёт подшипника на заданный ресурс.
Долговечность подшипника обеспечена
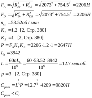
Промежуточный вал
Подшипник №2206 [2, стр. 418]
d=30 мм
D=62 мм
Cr=22,4 kH
Cor=12 kH
Расчёт подшипника на заданный ресурс.
Долговечность подшипника обеспечена
Тихоходный вал
Подшипник №210 [2, стр. 417]
d= мм
D=62 мм
Cr=35,1kH
Cor=19,8kH
Расчёт подшипника на заданный ресурс.
Долговечность подшипника обеспечена
7 Расчёт шпонок
Быстроходный вал
d
=25 mm
b=8 mm [2, стр. 433]
h=7 mm [2, стр. 433]
T=28.5 H∙м
Промежуточный вал
d=36m
b=10m [2, стр. 433]
h=8mm [2, стр. 433]
T=133,9 H∙м
Тихоходный вал
d=55мм
b=16мм [2, стр. 433]
h=10мм [2, стр. 433]
T=493,3Н∙м
d=48мм
b=14мм [2, стр. 433]
h=9мм [2, стр. 433]
T=493,3Н∙м
8 Смазка редуктора
Для уменьшения потерь мощности на трение и снижения интенсивности износа трущихся поверхностей, а так же для предохранения их от заедания задиров, коррозии и лишнего отвода теплоты трущихся поверхностей деталей должны иметь надёжную смазку.
В настоящее время в машиностроении для смазывания передач широко применяют картерную смазку. В корпус редуктора или коробки передач заливают масло так, чтобы венцы колёс были в него погружены.
Картерную смазку применяют при окружной скорости зубчатых колёс и червяков от 0,3 до 12,5 м/с. В настоящее время также широко применяют смазочные материалы ЦИАТИН – 201 и ЛИТОЛ – 24, которые допускают температуру нагрева до 130 оС.
Устанавливаем вязкость масла.
При v=0.8 м2/с [2, стр. 148]. По табл. 11.2 [2, стр. 148] выбираем индустриальное масло И – 30 А.
Подшипники смазываем консистентной смазкой, закладываемые в их камеры при сборке редуктора.
7 Выбор швеллера
9 Выбор муфты
Муфту подбираем по диаметру вала.
Для соединения вала ЭД с валом редуктора выбираем муфту упругую втулочно – пальцевую (МУВП) МУВП 124 – 32 – 25 ГОСТ 21424 – 75 [4, стр. 141]
10 Выбор и расчёт фундаментных болтов
Для крепления рамы к полу цеха применяют фундаментные болты: их расположение определяется при проектировании рамы.
Принимаем диаметр болта М16, минимальное число болтов 6
d=M16
l1=8∙d=8∙16=128 mm
l2=4∙d=4∙16=64 mm
b=(6…8) ∙d=6∙16=96 mm
11 Список литературы.
-
М. И. Иванов «Детали машин»
-
П. Ф. Дунаев, О. П. Леликов «Конструирование узлов и деталей машин»
-
Д. Н. Решетов «Детали машин. Атлас конструкций» Часть 1.
-
Д. Н. Решетов «Детали машин. Атлас конструкций» Часть 2.
-
В. И. Анурьев «Справочник конструктора машиностроителя» Том 1.
-
В. И. Анурьев «Справочник конструктора машиностроителя» Том 2.
26
Характеристики
Тип файла документ
Документы такого типа открываются такими программами, как Microsoft Office Word на компьютерах Windows, Apple Pages на компьютерах Mac, Open Office - бесплатная альтернатива на различных платформах, в том числе Linux. Наиболее простым и современным решением будут Google документы, так как открываются онлайн без скачивания прямо в браузере на любой платформе. Существуют российские качественные аналоги, например от Яндекса.
Будьте внимательны на мобильных устройствах, так как там используются упрощённый функционал даже в официальном приложении от Microsoft, поэтому для просмотра скачивайте PDF-версию. А если нужно редактировать файл, то используйте оригинальный файл.
Файлы такого типа обычно разбиты на страницы, а текст может быть форматированным (жирный, курсив, выбор шрифта, таблицы и т.п.), а также в него можно добавлять изображения. Формат идеально подходит для рефератов, докладов и РПЗ курсовых проектов, которые необходимо распечатать. Кстати перед печатью также сохраняйте файл в PDF, так как принтер может начудить со шрифтами.
















